1024 KiB
Glossary and Acronyms - Tables
| label | name | description |
|---|---|---|
| ms | \ensuremath{m_s} | Mass of the sample |
| mn | \ensuremath{m_n} | Mass of the nano-hexapod |
| mh | \ensuremath{m_h} | Mass of the micro-hexapod |
| mt | \ensuremath{m_t} | Mass of the micro-station stages |
| mg | \ensuremath{m_g} | Mass of the granite |
| xf | \ensuremath{x_f} | Floor motion |
| ft | \ensuremath{f_t} | Disturbance force of the micro-station |
| fs | \ensuremath{f_s} | Direct forces applied on the sample |
| d | \ensuremath{d} | Measured motion between the nano-hexapod and the granite |
| fn | \ensuremath{f_n} | Force sensor on the nano-hexapod |
| psdx | \ensuremath{Φx} | Power spectral density of signal $x$ |
| asdx | \ensuremath{Γx} | Amplitude spectral density of signal $x$ |
| cpsx | \ensuremath{Φx} | Cumulative Power Spectrum of signal $x$ |
| casx | \ensuremath{Γx} | Cumulative Amplitude Spectrum of signal $x$ |
| key | abbreviation | full form |
|---|---|---|
| haclac | HAC-LAC | High Authority Control - Low Authority Control |
| hac | HAC | High Authority Control |
| lac | LAC | Low Authority Control |
| nass | NASS | Nano Active Stabilization System |
| asd | ASD | Amplitude Spectral Density |
| psd | PSD | Power Spectral Density |
| cps | CPS | Cumulative Power Spectrum |
| cas | CAS | Cumulative Amplitude Spectrum |
| frf | FRF | Frequency Response Function |
| iff | IFF | Integral Force Feedback |
| rdc | RDC | Relative Damping Control |
| rga | RGA | Relative Gain Array |
| hpf | HPF | high-pass filter |
| lpf | LPF | low-pass filter |
| dof | DoF | Degree of freedom |
| svd | SVD | Singular Value Decomposition |
| mif | MIF | Mode Indicator Functions |
| dac | DAC | Digital to Analog Converter |
| fem | FEM | Finite Element Model |
| apa | APA | Amplified Piezoelectric Actuator |
Title Page
Members of the Examination Committee
Prof. Loïc Salles (President of the Committee)≠wline University of Liège (Liège, Belgium)
Prof. Christophe Collette (Supervisor)≠wline University of Liège (Liège, Belgium)
Prof. Olivier Bruls≠wline University of Liège (Liège, Belgium)
Dr. Jonathan Kelly≠wline Diamond Light Source (Oxfordshire, United Kingdom)
Prof. Gérard Scorletti≠wline École Centrale de Lyon, Laboratoire Ampère (Écully, France)
Dr. Olivier Mathon≠wline European Synchrotron Radiation Facility (Grenoble, France)
Abstract
The $4^{\text{th}}$ generation synchrotron light sources has yielded X-ray beams with a 100-fold increase in brightness and sub-micron focusing capabilities, offering unprecedented scientific opportunities while requiring end-stations with enhanced sample positioning accuracy. At the European Synchrotron (ESRF), the ID31 beamline features an end-station for positioning samples along complex trajectories. However, its micrometer-range accuracy, limited by thermal drifts and mechanical vibrations, prevents maintaining the point of interest on the focused beam during experiments.
To address this limitation, this thesis aims to develop a system for actively stabilizing the sample's position down to the nanometer range while the end-station moves the sample through the beam. The developed system integrates an external metrology for sample position measurement, an active stabilization stage mounted between the end-station and the sample, and a dedicated control architecture. The design of this system presented key challenges, first of which involved the design process. To effectively predict how this complex mechatronic system would perform, a series of dynamical models with increasing accuracy were employed. These models allowed simulation of the system's behavior at different design stages, identifying potential weaknesses early on before physical construction, ultimately leading to a design that fully satisfies the requirements. The second challenge stems from control requirements, specifically the need to stabilize samples with masses from $1$ to $50\,\text{kg}$, which required the development of specialized robust control architectures. Finally, the developed Nano Active Stabilization System underwent thorough experimental validation on the ID31 beamline, validating both its performance and the underlying concept.
\vspace{-1em} \begingroup ≤t\clearpage\relax \chapter*{Résumé} \endgroup
L'avènement des sources de lumière synchrotron de $4^{\text{ème}}$ génération a produit des faisceaux de rayons X avec une luminosité multipliée par 100 et des capacités de focalisation sub-microniques, offrant des opportunités scientifiques sans précédent tout en nécessitant des stations expérimentales avec une précision de positionnement d'échantillons améliorée. À l'Installation Européenne de Rayonnement Synchrotron (ESRF), la ligne de lumière ID31 dispose d'une station expérimentale conçue pour positionner des échantillons le long de trajectoires complexes. Cependant, sa précision de l'ordre du micromètre, limitée par des effets tels que les dérives thermiques et les vibrations mécaniques, empêche de maintenir le point d'intérêt sur le faisceau focalisé durant les expériences.
Pour remédier à cette limitation, cette thèse vise à développer un système permettant de stabiliser activement la position de l'échantillon pendant que la station expérimentale déplace l'échantillon à travers le faisceau. Le système développé intègre une métrologie externe pour la mesure de la position de l'échantillon, une platine de stabilisation active montée entre la station expérimentale et l'échantillon, et une architecture de contrôle dédiée. La conception de ce système présente des défis majeurs, dont le premier concerne le processus de conception lui-même. Pour prédire efficacement les performances, une série de modèles dynamiques ont été utilisés. Ces modèles ont permis de simuler le comportement du système aux différentes étapes de conception, identifiant ainsi les limitations potentielles, pour aboutir à une conception répondant aux spécifications. Le deuxième défi provient des exigences de contrôle, notamment la nécessité de stabiliser des échantillons dont la masse peut varier de $1$ à $50\,\text{kg}$, ce qui a nécessité le développement d'architectures de contrôle robustes. Enfin, le Système de Stabilisation Active développé a fait l'objet d'une validation expérimentale sur la ligne de lumière ID31, validant à la fois ses performances et le concept sous-jacent.
Acknowledgments
First and foremost, I would like to express my deepest gratitude to my advisor, Professor Christophe Collette, for his constant support throughout this journey. His ability to challenge my thinking and dedication to mentoring my growth as a researcher has been invaluable. His door was always open, and he generously shared his time and expertise, providing feedback and guidance at every stage of the research process. Our discussions during the regular journeys between Liege and Brussels laboratories transformed routine travel into moments of scientific inspiration. His passion and dedication for research were truly inspiring, and I could not have wished for a better advisor.
I am honored that Professor Loïc Salles accepted the role of president of the jury for this thesis. My sincere appreciation goes to my thesis committee members, Professor Olivier Bruls and Professor Jean-Claude Golinval, for following my work and providing insightful advice through the years.
I extend my gratitude to the jury members: Dr. Jonathan Kelly, Professor Gérard Scorletti, Dr. Olivier Mathon and Professor Olivier Bruls for their willingness to participate in the examination committee of this doctoral thesis. Their time, expertise, and careful consideration of my work are greatly appreciated.
My time at the Precision Mechatronics Laboratory during the first two years of this project was enriched by interesting discussions and collaborations with Ahmad, Mohit, Jennifer, Vicente, Guoying, and Haidar. I am particularly grateful for the opportunity to have worked alongside such talented and dedicated individuals. Thank you, my friends, for making my stay in Belgium such a wonderful souvenir.
The subsequent five years at the ESRF were made possible by several key individuals: Veijo Honkimaki (ID31's Scientist), Michael Krisch (Head of the Instrumentation Division), Philippe Marion (Head of the Mechanical Engineering Group), Yves Dabin (Head of the Analysis and Modelling group), and Muriel Magnin-Mattenet (Mechanical Engineer in charge of ID31). I especially want to acknowledge their efforts in providing me with the resources, facilities, and technical expertise necessary to conduct my research at the ESRF.
The technical aspects of this work benefited greatly from various collaborations. I am grateful for the fruitful collaboration on mechanical design with Julien Bonnefoy and Damien Coulon. Special thanks to Philipp Brumund for his invaluable Finite Element Analysis expertise and constant encouragement to complete my PhD thesis. I am especially thankful to Marc Lesourd for introducing me to the world of vibration measurements and modal analysis, and Noel Levet for our interesting discussions about dimensional metrology and his tremendous support with the alignment of the developed instrument. The remarkable technical support from Pierrick Got and Kader Amraoui in electronics allowed smooth implementation of the developed system on the ID31 beamline. I also thank Hans Peter and Ludovic for granting me access to the outstanding mechatronics laboratory at the ESRF.
I am grateful to the master thesis students I had the chance to supervise: Adrien Jublan for his work on multi-body modelling, Youness Benyaklhef for his contribution to the metrology system and Caio Belle for his research on multi-variable control.
Finally, my profound thanks go to my family and close friends. To my father, who inspired me to pursue research, and my mother, whose unwavering support has been precious beyond words. And to Juliette, for being incredibly supportive through the inevitable tough times that are part of the PhD journey.
Reproducible Research
The foundation of this PhD thesis is built upon the principles of reproducible research. Reproducible research is the practice of ensuring that the results of a study can be independently verified by others using the original data, code, and documentation.
This approach was adopted to increase transparency and trust in the presented research findings. Furthermore, it is anticipated that the methods and data shared will facilitate knowledge transfer and reuse within the scientific community, thereby reducing research redundancy and increasing overall efficiency. It is hoped that some aspects of this work may be reused by the synchrotron community.
The fundamental objective has been to ensure that anyone should be capable of reproducing precisely the same results and figures as presented in this manuscript. To achieve this goal of reproducibility, comprehensive sharing of all elements has been implemented. This includes the mathematical models developed, raw experimental data collected, and scripts used to generate the figures.
For those wishing to engage with the reproducible aspects of this work, all data and code are freely accessible cite:&dehaeze25_nano_activ_stabil_zenodo. The organization of the code mirrors that of the manuscript, with corresponding chapters and sections. All materials have been made available under the MIT License, permitting free reuse.
This approach represents a modest contribution towards a more open, reliable, and collaborative scientific ecosystem.
Grants
Table of Contents
Introduction
<<chap:introduction>>
Context of this thesis
Synchrotron Radiation Facilities
Synchrotron radiation facilities, are particle accelerators where electrons are accelerated to near the speed of light. As these electrons traverse magnetic fields, typically generated by insertion devices or bending magnets, they produce exceptionally bright light known as synchrotron light. This intense electromagnetic radiation, particularly in the X-ray spectrum, is subsequently used for the detailed study of matter. Approximately 70 synchrotron light sources are operational worldwide, some of which are indicated in Figure ref:fig:introduction_synchrotrons. This global distribution of such facilities underscores the significant utility of synchrotron light for the scientific community.
These facilities fundamentally comprise two main parts: the accelerator and storage ring, where electron acceleration and light generation occur, and the beamlines, where the intense X-ray beams are conditioned and directed for experimental use.
The European Synchrotron Radiation Facility (ESRF), shown in Figure ref:fig:introduction_esrf_picture, is a joint research institution supported by 19 member countries. The ESRF started user operations in 1994 as the world's first third-generation synchrotron. Its accelerator complex, schematically depicted in Figure ref:fig:introduction_esrf_schematic, includes a linear accelerator where electrons are initially generated and accelerated, a booster synchrotron to further accelerate the electrons, and an 844-meter circumference storage ring where electrons are maintained in a stable orbit.
Synchrotron light are emitted in more than 40 beamlines surrounding the storage ring, each having specialized experimental stations. These beamlines host diverse instrumentation that enables a wide spectrum of scientific investigations, including structural biology, materials science, and study of matter under extreme conditions.
In August 2020, following an extensive 20-month upgrade period, the ESRF inaugurated its Extremely Brilliant Source (EBS), establishing it as the world's premier fourth-generation synchrotron cite:&raimondi21_commis_hybrid_multib_achrom_lattic. This upgrade implemented a novel storage ring concept that substantially increases the brilliance and coherence of the X-ray beams.
Brilliance, a measure of the photon flux, is a key figure of merit for synchrotron facilities. It experienced an approximate 100-fold increase with the implementation of EBS, as shown in the historical evolution depicted in Figure ref:fig:introduction_moore_law_brillance. While this enhanced beam quality presents unprecedented scientific opportunities, it concurrently introduces considerable engineering challenges, particularly regarding experimental instrumentation and sample positioning systems.
The ID31 ESRF Beamline
Each beamline begins with a "white" beam generated by the insertion device. This beam carries substantial power, typically exceeding kilowatts, and is generally unsuitable for direct application to samples.
Instead, the beam passes through a series of optical elements—including absorbers, mirrors, slits, and monochromators—that filter and shape the X-rays to the desired specifications. These components are housed in multiple Optical Hutches, as depicted in Figure ref:fig:introduction_id31_oh.
Following the optical hutches, the conditioned beam enters the Experimental Hutch (Figure ref:fig:introduction_id31_cad), where, for experiments pertinent to this work, focusing optics are used. The sample is mounted on a positioning stage, referred to as the "end-station", that enables precise alignment relative to the X-ray beam. Detectors are used to capture the X-rays transmitted through or scattered by the sample. Throughout this thesis, the standard ESRF coordinate system is adopted, wherein the X-axis aligns with the beam direction, Y is transverse horizontal, and Z is vertical upwards against gravity.
The specific end-station employed on the ID31 beamline is designated the "micro-station". As depicted in Figure ref:fig:introduction_micro_station_dof, it comprises a stack of positioning stages: a translation stage (in blue), a tilt stage (in red), a spindle for continuous rotation (in yellow), and a micro-hexapod (in purple). The sample itself (cyan), potentially housed within complex sample environments (e.g., for high pressure or extreme temperatures), is mounted on top of this assembly. Each stage serves distinct positioning functions; for example, the micro-hexapod enables fine static adjustments, while the $T_y$ translation and $R_z$ rotation stages are used for specific scanning applications.
The "stacked-stages" configuration of the micro-station provides high mobility, enabling diverse scientific experiments and imaging techniques. Two illustrative examples are provided.
Tomography experiments, schematically represented in Figure ref:fig:introduction_tomography_schematic, involve placing a sample in the X-ray beam path while controlling its vertical rotation angle using a dedicated stage. Detector images are captured at numerous rotation angles, allowing the reconstruction of three-dimensional sample structure (Figure ref:fig:introduction_tomography_results) cite:&schoeppler17_shapin_highl_regul_glass_archit. This reconstruction depends critically on maintaining the sample's point of interest within the beam throughout the rotation process.
Mapping or scanning experiments, depicted in Figure ref:fig:introduction_scanning_schematic, typically use focusing optics to have a small beam size at the sample's location. The sample is then translated perpendicular to the beam (along Y and Z axes), while data is collected at each position. An example cite:&sanchez-cano17_synch_x_ray_fluor_nanop of a resulting two-dimensional map, acquired with 20nm step increments, is shown in Figure ref:fig:introduction_scanning_results. The fidelity and resolution of such images are intrinsically linked to the focused beam size and the positioning precision of the sample relative to the focused beam. Positional instabilities, such as vibrations and thermal drifts, inevitably lead to blurring and distortion in the obtained image. Other advanced imaging modalities practiced on ID31 include reflectivity, diffraction tomography, and small/wide-angle X-ray scattering (SAXS/WAXS).
Need of Accurate Positioning End-Stations with High Dynamics
Continuous progress in both synchrotron source technology and X-ray optics have led to the availability of smaller, more intense, and more stable X-ray beams. The ESRF-EBS upgrade, for instance, resulted in a significantly reduced source size, particularly in the horizontal dimension, coupled with increased brilliance, as illustrated in Figure ref:fig:introduction_beam_3rd_4th_gen.
Concurrently, substantial progress has been made in micro- and nano-focusing optics since the early days of ESRF, where typical spot sizes were on the order of $10\,\mu m$ cite:&riekel89_microf_works_at_esrf. Various technologies, including zone plates, Kirkpatrick-Baez mirrors, and compound refractive lenses, have been developed and refined, each presenting unique advantages and limitations cite:&barrett16_reflec_optic_hard_x_ray. The historical reduction in achievable spot sizes is represented in Figure ref:fig:introduction_moore_law_focus. Presently, focused beam dimensions in the range of 10 to 20 nm (Full Width at Half Maximum, FWHM) are routinely achieved on specialized nano-focusing beamlines.
The increased brilliance introduces challenges related to radiation damage, particularly at high-energy beamlines like ID31. Consequently, prolonged exposure of a single sample area to the focused beam must be avoided. Traditionally, experiments were conducted in a "step-scan" mode, illustrated in Figure ref:fig:introduction_scan_step. In this mode, the sample is moved to the desired position, the detector acquisition is initiated, and a beam shutter is opened for a brief, controlled duration to limit radiation damage before closing; this cycle is repeated for each measurement point. While effective for mitigating radiation damage, this sequential process can be time-consuming, especially for high-resolution maps requiring numerous points.
An alternative, more efficient approach is the "fly-scan" or "continuous-scan" methodology cite:&xu23_high_nsls_ii, depicted in Figure ref:fig:introduction_scan_fly. Here, the sample is moved continuously while the detector is triggered to acquire data "on the fly" at predefined positions or time intervals. This technique significantly accelerates data acquisition, enabling better use of valuable beamtime while potentially enabling finer spatial resolution cite:&huang15_fly_scan_ptych.
Recent developments in detector technology have yielded sensors with improved spatial resolution, lower noise characteristics, and substantially higher frame rates cite:&hatsui15_x_ray_imagin_detec_synch_xfel_sourc. Historically, detector integration times for scanning and tomography experiments were in the range of 0.1 to 1 second. This extended integration effectively filtered high-frequency vibrations in beam or sample position, resulting in apparently stable but larger beam.
With higher X-ray flux and reduced detector noise, integration times can now be shortened to approximately 1 millisecond, with frame rates exceeding 100 Hz. This reduction in integration time has two major implications for positioning requirements. Firstly, for a given spatial sampling ("pixel size"), faster integration necessitates proportionally higher scanning velocities. Secondly, the shorter integration times make the measurements more susceptible to high-frequency vibrations. Therefore, not only the sample position must be stable against long-term drifts, but it must also be actively controlled to minimize vibrations, especially during dynamic fly-scan acquisitions.
Existing Nano Positioning End-Stations
To contextualize the system developed within this thesis, a brief overview of existing strategies and technologies for high-accuracy, high-dynamics end-stations is provided. The aim is to identify the specific characteristics that distinguish the proposed system from current state-of-the-art implementations.
Positioning systems can be broadly categorized based on their kinematic architecture, typically serial or parallel, as exemplified by the 3-Degree-of-Freedom (DoF) platforms in Figure ref:fig:introduction_kinematics. Serial kinematics (Figure ref:fig:introduction_serial_kinematics) is composed of stacked stages where each degree of freedom is controlled by a dedicated actuator. This configuration offers great mobility, but positioning errors (e.g., guiding inaccuracies, thermal expansion) accumulate through the stack, compromising overall accuracy. Similarly, the overall dynamic performance (stiffness, resonant frequencies) is limited by the softest component in the stack, often resulting in poor dynamic behavior when many stages are combined.
Conversely, parallel kinematic architectures (Figure ref:fig:introduction_parallel_kinematics) involve the coordinated motion of multiple actuators to achieve the desired end-effector motion. While theoretically offering the same controlled degrees of freedom as stacked stages, parallel systems generally provide limited stroke but significantly enhanced stiffness and superior dynamic performance.
Most end stations, particularly those requiring extensive mobility, employ stacked stages. Their positioning performance consequently depends entirely on the accuracy of individual components. Strategies include employing a limited number of high-performance stages, such as air-bearing spindles cite:&riekel10_progr_micro_nano_diffr_at, and maintaining extremely stable thermal environments within the experimental hutch, often requiring extended stabilization times cite:&leake19_nanod_beaml_id01. Examples of such end-stations, including those at beamlines ID16B cite:&martinez-criado16_id16b and ID11 cite:&wright20_new_oppor_at_mater_scien, are shown in Figure ref:fig:introduction_passive_stations. However, when a large number of DoFs are required, the cumulative errors and limited dynamic stiffness of stacked configurations can make experiments with nano-focused beams extremely challenging or infeasible.
The concept of using an external metrology to measure and potentially correct for positioning errors is increasing used for nano-positioning end-stations. Ideally, the relative position between the sample's point of interest and the X-ray beam focus would be measured directly. In practice, direct measurement is often impossible; instead, the sample position is typically measured relative to a reference frame associated with the focusing optics, providing an indirect measurement.
This measured position can be used in several ways: for post-processing correction of acquired data; for calibration routines to compensate for repeatable errors; or, most relevantly here, for real-time feedback control. Various sensor technologies have been employed, with capacitive sensors cite:&schroer17_ptynam;&villar18_nanop_esrf_id16a_nano_imagin_beaml;&schropp20_ptynam and, increasingly, fiber-based interferometers cite:&nazaretski15_pushin_limit;&stankevic17_inter_charac_rotat_stages_x_ray_nanot;&holler17_omny_pin_versat_sampl_holder;&holler18_omny_tomog_nano_cryo_stage;&engblom18_nanop_resul;&schropp20_ptynam;&nazaretski22_new_kirkp_baez_based_scann;&kelly22_delta_robot_long_travel_nano;&xu23_high_nsls_ii;&geraldes23_sapot_carnaub_sirius_lnls being prominent choices.
Two examples illustrating the integration of online metrology are presented in Figure ref:fig:introduction_metrology_stations. The system at NSLS X8C (Figure ref:fig:introduction_stages_wang) used capacitive sensors for rotation stage calibration and image alignment during tomography post-processing cite:&wang12_autom_marker_full_field_hard. The PtiNAMi microscope at DESY P06 (Figure ref:fig:introduction_stages_schroer) employs interferometers directed at a spherical target below the sample for position monitoring during tomography, with plans for future feedback loop implementation cite:&schropp20_ptynam.
For applications requiring active compensation of measured errors, particularly with nano-beams, feedback control loops are implemented. Actuation is typically achieved using piezoelectric actuators cite:&nazaretski15_pushin_limit;&holler17_omny_pin_versat_sampl_holder;&holler18_omny_tomog_nano_cryo_stage;&villar18_nanop_esrf_id16a_nano_imagin_beaml;&nazaretski22_new_kirkp_baez_based_scann, 3-phase linear motors cite:&stankevic17_inter_charac_rotat_stages_x_ray_nanot;&engblom18_nanop_resul, or voice coil actuators cite:&kelly22_delta_robot_long_travel_nano;&geraldes23_sapot_carnaub_sirius_lnls. While often omitted, feedback bandwidth for such stages are relatively low (around 1 Hz), primarily targeting the compensation of slow thermal drifts. More recently, higher bandwidths (up to 100 Hz) have been demonstrated, particularly with the use of voice coil actuators cite:&kelly22_delta_robot_long_travel_nano;&geraldes23_sapot_carnaub_sirius_lnls.
Figure ref:fig:introduction_active_stations showcases two end-stations incorporating online metrology and active feedback control. The ID16A system at ESRF (Figure ref:fig:introduction_stages_villar) uses capacitive sensors and a piezoelectric hexapod to compensate for rotation stage errors and to perform accurate scans cite:&villar18_nanop_esrf_id16a_nano_imagin_beaml. Another example, shown in Figure ref:fig:introduction_stages_nazaretski, employs interferometers and piezoelectric stages to compensate for thermal drifts cite:&nazaretski15_pushin_limit;&nazaretski17_desig_perfor_x_ray_scann. A more comprehensive review of actively controlled end-stations is provided in Section ref:sec:nhexa_platform_review.
For tomography experiments, correcting spindle guiding errors is critical. Correction stages are typically placed either below the spindle cite:&stankevic17_inter_charac_rotat_stages_x_ray_nanot;&holler17_omny_pin_versat_sampl_holder;&holler18_omny_tomog_nano_cryo_stage;&villar18_nanop_esrf_id16a_nano_imagin_beaml;&engblom18_nanop_resul;&nazaretski22_new_kirkp_baez_based_scann;&xu23_high_nsls_ii or above it cite:&wang12_autom_marker_full_field_hard;&schroer17_ptynam;&schropp20_ptynam;&geraldes23_sapot_carnaub_sirius_lnls. In most reported cases, only translation errors are actively corrected. Payload capacities for these high-precision systems are usually limited, typically handling calibrated samples on the micron scale, although capacities up to 500g have been reported cite:&nazaretski22_new_kirkp_baez_based_scann;&kelly22_delta_robot_long_travel_nano. The system developed in this thesis aims for payload capabilities approximately 100 times heavier (up to 50 kg) than previous stations with similar positioning requirements.
End-stations integrating online metrology for active nano-positioning often exhibit limited operational ranges, typically constrained to a few degrees of freedom with strokes around $100\,\mu m$. Recently, voice coil actuators were used to increase the stroke up to $3\,\text{mm}$ cite:&kelly22_delta_robot_long_travel_nano;&geraldes23_sapot_carnaub_sirius_lnls An alternative strategy involves a "long stroke-short stroke" architecture, illustrated conceptually in Figure ref:fig:introduction_two_stage_schematic. In this configuration, a high-accuracy, high-bandwidth short-stroke stage is mounted on top of a less precise long-stroke stage. The short-stroke stage actively compensates for errors based on metrology feedback, while the long-stroke stage performs the larger movements. This approach allows combining extended travel with high precision and good dynamical response, but is often implemented for only one or a few DoFs, as seen in Figures ref:fig:introduction_two_stage_schematic and ref:fig:introduction_two_stage_control_h_bridge.
Challenge definition
Introduction
The advent of fourth-generation light sources, coupled with advancements in focusing optics and detector technology, imposes stringent new requirements on sample positioning systems.
With ID31's anticipated minimum beam dimensions of approximately $200\,\text{nm}\times 100\,\text{nm}$, the primary experimental objective is maintaining the sample's point of interest within this beam. This necessitates peak-to-peak positioning errors below $200\,\text{nm}$ in $D_y$ and $200\,\text{nm}$ in $D_z$, corresponding to RMS errors of $30\,\text{nm}$ and $15\,\text{nm}$, respectively. Additionally, the $R_y$ tilt angle error must remain below $0.1\,\text{mdeg}$ ($250\,\text{nrad RMS}$). Given the high frame rates of modern detectors, these specified positioning errors must be maintained even when considering high-frequency vibrations.
These demanding stability requirements must be achieved within the specific context of the ID31 beamline, which necessitates the integration with the existing micro-station, accommodating a wide range of experimental configurations requiring high mobility, and handling substantial payloads up to 50 kg.
The existing micro-station, despite being composed of high-performance stages, exhibits positioning accuracy limited to approximately $10\,\mu m$ and $10\,\mu\text{rad}$ due to inherent factors such as backlash, thermal expansion, imperfect guiding, and vibrations.
The primary objective of this project is therefore defined as enhancing the positioning accuracy and stability of the ID31 micro-station by roughly two orders of magnitude, to fully leverage the capabilities offered by the ESRF-EBS source and modern detectors, without compromising its existing mobility and payload capacity.
The Nano Active Stabilization System Concept
To address these challenges, the concept of a Nano Active Stabilization System (NASS) is proposed. As schematically illustrated in Figure ref:fig:introduction_nass_concept_schematic, the NASS comprises four principal components integrated with the existing micro-station (yellow): a 5-DoF online metrology system (red), an active stabilization platform (blue), and the associated control system and instrumentation (purple). This system essentially functions as a high-performance, multi-axis vibration isolation and error correction platform situated between the micro-station and the sample. It actively compensates for positioning errors measured by the external metrology system.
Online Metrology system
The performance of the NASS is fundamentally reliant on the accuracy and bandwidth of its online metrology system, as the active control is based directly on these measurements. This metrology system must fulfill several criteria: measure the sample position in 5 DoF (excluding rotation about the vertical Z-axis); possess a measurement range compatible with the micro-station's extensive mobility and continuous spindle rotation; achieve an accuracy compatible with the sub-100 nm positioning target; and offer high bandwidth for real-time control.

A proposed concept (illustrated in Figure ref:fig:introduction_nass_metrology) features a spherical reflector with a flat bottom attached below the sample, with its center aligned to the X-ray focus. Fiber interferometers target both surfaces. A tracking system maintains perpendicularity between the interferometer beams and the mirror, such that Abbe errors are eliminated. Interferometers pointing at the spherical surface provides translation measurement, while the ones pointing at the flat bottom surface yield tilt angles. The development of this complex metrology system constitutes a significant mechatronic project in itself and is currently ongoing; it is not further detailed within this thesis. For the work presented herein, the metrology system is assumed to provide accurate, high-bandwidth 5-DoF position measurements.
Active Stabilization Platform Design
The active stabilization platform, positioned between the micro-station top plate and the sample, must satisfy several demanding requirements. It needs to provide active motion compensation in 5 degrees of freedom ($D_x$, $D_y$, $D_z$, $R_x$ and $R_y$). It must possess excellent dynamic properties to enable high-bandwidth control capable of suppressing vibrations and tracking desired trajectories with nanometer-level precision. Consequently, it must be free from backlash and play, and its active components (e.g., actuators) should introduce minimal vibrations. Critically, it must accommodate payloads up to 50 kg.
A suitable candidate architecture for this platform is the Stewart platform (also known as "hexapod"), a parallel kinematic mechanism capable of 6-DoF motion. Stewart platforms are widely employed in positioning and vibration isolation applications due to their inherent stiffness and potential for high precision. Various designs exist, differing in geometry, actuation technology, sensing methods, and control strategies, as exemplified in Figure ref:fig:introduction_stewart_platform_piezo. A central challenge addressed in this thesis is the optimal mechatronic design of such an active platform tailored to the specific requirements of the NASS. A more detailed review of Stewart platform and its main components will be given in Section ref:sec:detail_kinematics_stewart_review.
Robust Control
The control system must compute the position measurements from the online metrology system and computes the reference positions derived from each micro-station desired movement. It then commands the active platform in real time to stabilize the sample and compensate for all error sources, including stage imperfections, thermal drifts, and vibrations. Ensuring the stability and robustness of these feedback loops is crucial, especially within the demanding operational context of a synchrotron beamline, which requires reliable 24/7 operation with minimal intervention.
Several factors complicate the design of robust feedback control for the NASS. First, the system must operate under across diverse experimental conditions, including different scan types (tomography, linear scans) and payloads' inertia. The continuous rotation of the spindle introduces gyroscopic effects that can affect the system dynamics. As actuators of the active platforms rotate relative to stationary sensors, the control kinematics to map the errors in the frame of the active platform is complex. But perhaps the most significant challenge is the wide variation in payload mass (1 kg up to 50 kg) that the system must accommodate. Designing for robustness against large payload variations typically necessitates larger stability margins, which can compromise achievable performance. Consequently, high-performance positioning stages often work with well-characterized payload, as seen in systems like wafer-scanners or atomic force microscopes.
Furthermore, unlike many systems where the active stage and sample are significantly lighter than the underlying coarse stages, the NASS payload mass can be substantially greater than the mass of the micro-station's top stage. This leads to strong dynamic coupling between the active platform and the micro-station structure, resulting in a more complex multi-inputs multi-outputs (MIMO) system with significant cross-talk between axes.
These variations in operating conditions and payload translate into significant uncertainty or changes in the plant dynamics that the controller must handle. Therefore, the feedback controller must be designed to be robust against this plant uncertainty while still delivering the required nanometer-level performance.
Predictive Design
The overall performance achieved by the NASS is determined by numerous factors, such as external disturbances, the noise characteristics of the instrumentation, the dynamics resulting from the chosen mechanical architecture, and the achievable bandwidth dictated by the control architecture. Ensuring the final system meets its stringent specifications requires the implementation of a predictive design methodology, also known as a mechatronic design approach. The goal is to rigorously evaluate different concepts, predict performance limitations, and guide the design process. Key challenges within this approach include developing appropriate design methodologies, creating accurate models capable of comparing different concepts quantitatively, and converging on a final design that achieves the target performance levels.
Original Contributions
Introduction
This thesis presents several original contributions aimed at addressing the challenges inherent in the design, control, and implementation of the Nano Active Stabilization System, primarily within the fields of Control Theory, Mechatronic Design, and Experimental Validation.
6DoF vibration control of a rotating platform
Traditional long-stroke/short-stroke architectures typically operate in one or two degrees of freedom. This work extends the concept to six degrees of freedom, with the active platform designed not only to correct rotational errors but to simultaneously compensate for errors originating from all underlying micro-station stages. The application of a continuously rotating Stewart platform for active vibration control and error compensation in this manner is believed to be novel in the reviewed literature.
Mechatronic design approach
A rigorous mechatronic design methodology was applied consistently throughout the NASS development life-cycle cite:&dehaeze18_sampl_stabil_for_tomog_exper;&dehaeze21_mechat_approac_devel_nano_activ_stabil_system. Although the mechatronic approach itself is not new, its comprehensive application here, from initial concept evaluation using simplified models to detailed design optimization and experimental validation informed by increasingly sophisticated models, potentially offers useful insights to the existing literature. This thesis documents this process chronologically, illustrating how models of varying complexity can be effectively used at different project phases and how design decisions were systematically based on quantitative model predictions and analyses. While the resulting system is highly specific, the documented effectiveness of this design approach may contribute to the broader adoption of mechatronic methodologies in the design of future synchrotron instrumentation.
Experimental validation of multi-body simulations with reduced order flexible bodies obtained by FEA
A key tool employed extensively in this work was a combined multi-body simulation and Finite Element Analysis technique, specifically using Component Mode Synthesis to represent flexible bodies within the multi-body framework cite:&brumund21_multib_simul_reduc_order_flexib_bodies_fea. This hybrid approach, while established, was experimentally validated in this work for components critical to the NASS, namely amplified piezoelectric actuators and flexible joints. It proved invaluable for designing and optimizing components intended for integration into a larger, complex dynamic system. This methodology, detailed in Section ref:sec:detail_fem, is presented as a potentially useful tool for future mechatronic instrument development.
Control Robustness by design
The requirement for robust operation across diverse conditions—including payloads up to 50kg, complex underlying dynamics from the micro-station, and varied operational modes like different rotation speeds—presented a critical design challenge. This challenge was met by embedding robustness directly into the active platform's design, rather than depending solely on complex post-design control synthesis techniques such as $\mathcal{H}_\infty\text{-synthesis}$ and $\mu\text{-synthesis}$. Key elements of this strategy included the model-based evaluation of active stage designs to identify architectures inherently easier to control, the incorporation of collocated actuator/sensor pairs to leverage passivity-based guaranteed stability, and the comparison of architecture to combine several sensors such as sensor fusion and High Authority Control / Low Authority Control (HAC-LAC). Furthermore, decoupling strategies for parallel manipulators were compared (Section ref:sec:detail_control_decoupling), addressing a topic identified as having limited treatment in the literature. Consequently, the specified performance targets were met using controllers which, facilitated by this design approach, proved to be robust, readily tunable, and easily maintained.
Active Damping of rotating mechanical systems using Integral Force Feedback
During conceptual design, it was found that the guaranteed stability property of the established active damping technique known as Integral Force Feedback (IFF) is compromised when applied to rotating platforms like the NASS. To address this instability issue, two modifications to the classical IFF control scheme were proposed and analyzed. The first involves a minor adjustment to the control law itself, while the second incorporates physical springs in parallel with the force sensors. Stability conditions and optimal parameter tuning guidelines were derived for both modified schemes. This is further discussed in Section ref:sec:rotating and was the subject of publications cite:&dehaeze20_activ_dampin_rotat_platf_integ_force_feedb;&dehaeze21_activ_dampin_rotat_platf_using.
Design of complementary filters using $\mathcal{H}_\infty$ Synthesis
For implementing sensor fusion, where signals from multiple sensors are combined, complementary filters are often employed. A novel method for designing these filters using $\mathcal{H}_\infty$ synthesis techniques was developed cite:&dehaeze19_compl_filter_shapin_using_synth. This method allows explicit shaping of the filter norms, providing guarantees on the performance of the sensor fusion process. This synthesis technique, discussed further in Section ref:sec:detail_control_sensor, has subsequently found application in optimizing sensor fusion for gravitational wave detectors cite:&tsang22_optim_sensor_fusion_method_activ. The integration of such filters into feedback control architectures can also lead to advantageous control structures, as proposed in cite:&verma20_virtual_sensor_fusion_high_precis_contr and further studied in Section ref:sec:detail_control_cf.
Experimental validation of the Nano Active Stabilization System
The conclusion of this work involved the experimental implementation and validation of the complete NASS on the ID31 beamline. Experimental results, presented in Section ref:sec:test_id31, demonstrate that the system successfully improves the effective positioning accuracy of the micro-station from its native $\approx 10\,\mu m$ level down to the target $\approx 100\,nm$ range during representative scientific experiments. Crucially, robustness to variations in sample mass and diverse experimental conditions was verified. The NASS thus provides a versatile end-station solution, uniquely combining high payload capacity with nanometer-level accuracy, enabling optimal use of the advanced capabilities of the ESRF-EBS beam and associated detectors. To the author's knowledge, this represents the first demonstration of such a 5-DoF active stabilization platform being used to enhance the accuracy of a complex positioning system to this level.
Outline
Introduction
This is divided into three chapters, each corresponding to a distinct phase of this methodology: Conceptual Design, Detailed Design, and Experimental Validation. While the chapters follow this logical progression, care has been taken to structure each chapter such that its constitutive sections may also be consulted independently based on the reader's specific interests.
Conceptual design development
The conceptual design phase, detailed in Chapter ref:chap:concept, followed a methodical progression from simplified uniaxial models to more complex multi-body representations. Initial uniaxial analysis (Section ref:sec:uniaxial) provided fundamental insights, particularly regarding the influence of active platform stiffness on performance. The introduction of rotation in a 3-DoF model (Section ref:sec:rotating) allowed investigation of gyroscopic effects, revealing challenges for softer platform designs. Experimental modal analysis of the existing micro-station (Section ref:sec:modal) confirmed its complex dynamics but supported a rigid-body assumption for the different stages, justifying the development of a detailed multi-body model. This model, tuned against experimental data and incorporating measured disturbances, was validated through simulation (Section ref:sec:ustation). The Stewart platform architecture was selected for the active stage, and its kinematics, dynamics, and control were analyzed (Section ref:sec:nhexa). The chapter culminates in Section ref:sec:nass with closed-loop simulations of the integrated NASS concept under realistic conditions, validating its feasibility and providing confidence for proceeding to the detailed design phase. Dynamic error budgeting cite:&monkhorst04_dynam_error_budget;&okyay16_mechat_desig_dynam_contr_metrol was employed throughout this phase to identify performance limitations and guide concept selection.
Detailed design
Chapter ref:chap:detail focuses on translating the validated NASS concept into an optimized, implementable design. Building upon the conceptual model which used idealized components, this phase addresses the detailed specification and optimization of each subsystem. It starts with the determination of the optimal nano-hexapod geometry (Section ref:sec:detail_kinematics), analyzing the influence of geometric parameters on mobility, stiffness, and dynamics, leading to specific requirements for actuator stroke and joint mobility. A hybrid multi-body/FEA modeling methodology is introduced and experimentally validated (Section ref:sec:detail_fem), then applied to optimize the actuators (Section ref:sec:detail_fem_actuator) and flexible joints (Section ref:sec:detail_fem_joint) while maintaining system-level simulation capability. Control strategy refinement (Section ref:sec:detail_control) involves optimal integration of multiple sensors in the control architecture, evaluating decoupling strategies, and discussing controller optimization for decoupled systems. Instrumentation selection (Section ref:sec:detail_instrumentation) is guided by dynamic error budgeting to establish noise specifications, followed by experimental characterization. The chapter concludes (Section ref:sec:detail_design) by presenting the final, optimized nano-hexapod design, ready for procurement and assembly.
Experimental validation
Chapter ref:chap:test details the experimental validation process, proceeding systematically from component-level characterization to full system evaluation on the beamline. Actuators of the active platform were characterized, models validated, and active damping (IFF) tested (Section ref:sec:test_apa). Flexible joints were tested on a dedicated bench to verify stiffness and stroke specifications (Section ref:sec:test_joints). Assembled struts (actuators + joints) were then characterized to ensure consistency and validate multi-body models (Section ref:sec:test_struts). The complete nano-hexapod assembly was tested on an isolated table, allowing accurate dynamic identification and model validation under various payload conditions (Section ref:sec:test_nhexa). Finally, the integrated NASS was validated on the ID31 beamline using a purpose-built short-stroke metrology system (Section ref:sec:test_id31). The implemented control architecture was tested under realistic experimental scenarios, including tomography with heavy payloads, confirming the system's performance and robustness.
Conceptual Design Development
<<chap:concept>> minitoc
Abstract
The conceptual design of the Nano Active Stabilization System (NASS) follows a methodical progression from simple to more accurate modeling approaches, as illustrated in Figure ref:fig:chapter1_overview.
The design process begins with a uniaxial model, presented in Section ref:sec:uniaxial, which provides initial insights into fundamental challenges associated with this complex system. This simplified representation focuses exclusively on the vertical direction—having the most stringent requirements—though similar conclusions were drawn from analyses of other axes. Despite its simplicity, this uniaxial model proves valuable for testing initial control strategies and, more importantly, for evaluating how the active platform stiffness affects overall system performance.
Building upon these findings, Section ref:sec:rotating introduces the rotational aspect through a three-degree-of-freedom model. This new model allows to study the gyroscopic effects induced by the spindle's continuous rotation—a distinctive characteristic of the NASS. The investigation reveals that these gyroscopic effects have more impact on softer active platforms, creating significant challenges for stability and control.
As the investigation progressed, the need for a more accurate representation of the micro-station dynamics became increasingly evident. To construct such a model, a comprehensive modal analysis was conducted, as detailed in Section ref:sec:modal. This experimental modal analysis confirmed the complex nature of the micro-station dynamics while validating that each stage behaves predominantly as a rigid body within the frequency range of interest—thus supporting the subsequent development of a multi-body model.
Section ref:sec:ustation presents the development of this multi-body model for the micro-station. Parameters were meticulously tuned to match measured compliance characteristics, and disturbance sources were carefully modeled based on experimental data. This refined model was then validated through simulations of scientific experiments, demonstrating its accuracy in representing the micro-station behavior under typical operating conditions.
For the active stabilization stage, the Stewart platform architecture was selected after careful evaluation of various options. Section ref:sec:nhexa examines the kinematic and dynamic properties of this parallel manipulator, exploring its control challenges and developing appropriate control strategies for implementation within the NASS. The multi-body modeling approach facilitated the seamless integration of the nano-hexapod with the micro-station model.
Finally, Section ref:sec:nass validates the NASS concept through closed-loop simulations of tomography experiments. These simulations incorporate realistic disturbance sources, confirming the viability of the proposed design approach and control strategies.
This progressive approach, beginning with easily comprehensible simplified models, proved instrumental in developing a thorough understanding of the physical phenomena at play. By methodically increasing model complexity only as needed, the design process converged efficiently toward a concept capable of delivering the required performance levels. The confidence gained through this systematic investigation provides a solid foundation for transitioning to the detailed design phase, which will be addressed in the following chapter.
Uni-axial Model
<<sec:uniaxial>>
Introduction
In this report, a uniaxial model of the acrfull:nass is developed and used to obtain a first idea of the challenges involved in this complex system. Note that in this study, only the vertical direction is considered (which is the most stiff), but other directions were considered as well, yielding to similar conclusions.
To have a relevant model, the micro-station dynamics is first identified and its model is tuned to match the measurements (Section ref:sec:uniaxial_micro_station_model). Then, a model of the nano-hexapod is added on top of the micro-station. With the added sample and sensors, this gives a uniaxial dynamical model of the acrshort:nass that will be used for further analysis (Section ref:sec:uniaxial_nano_station_model).
The disturbances affecting position stability are identified experimentally (Section ref:sec:uniaxial_disturbances) and included in the model for dynamical noise budgeting (Section ref:sec:uniaxial_noise_budgeting). In all the following analysis, three nano-hexapod stiffnesses are considered to better understand the trade-offs and to find the most adequate nano-hexapod design. Three sample masses are also considered to verify the robustness of the applied control strategies with respect to a change of sample.
To improve the position stability of the sample, an acrfull:haclac strategy is applied. It consists of first actively damping the plant (the acrshort:lac part), and then applying a position control on the damped plant (the acrshort:hac part).
Three active damping techniques are studied (Section ref:sec:uniaxial_active_damping) which are used to both reduce the effect of disturbances and make the system easier to control afterwards. Once the system is well damped, a feedback position controller is applied and the obtained performance is analyzed (Section ref:sec:uniaxial_position_control).
Two key effects that may limit that positioning performances are then considered: the limited micro-station compliance (Section ref:sec:uniaxial_support_compliance) and the presence of dynamics between the nano-hexapod and the sample's point of interest (Section ref:sec:uniaxial_payload_dynamics).
Micro Station Model
<<sec:uniaxial_micro_station_model>>
Introduction
In this section, a uniaxial model of the micro-station is tuned to match measurements made on the micro-station.
Measured dynamics
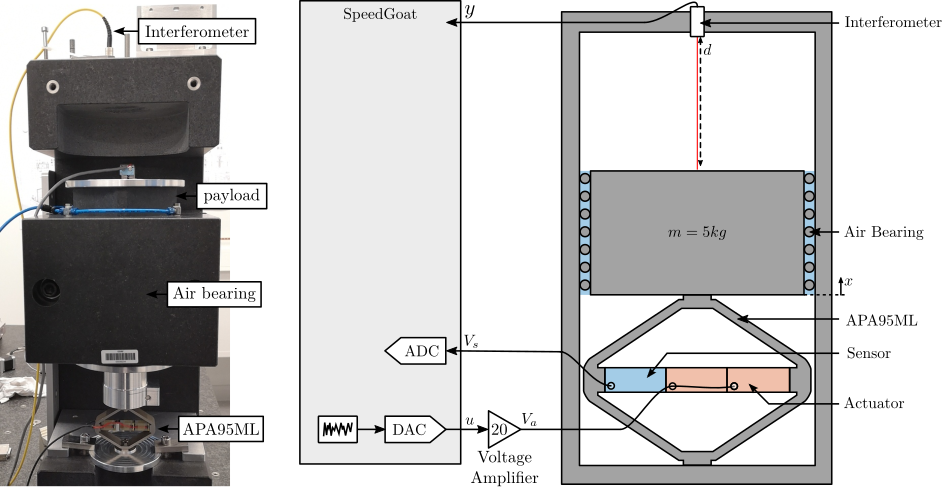
The measurement setup is schematically shown in Figure ref:fig:uniaxial_ustation_meas_dynamics_schematic where two vertical hammer hits are performed, one on the Granite (force $F_{g}$) and the other on the micro-hexapod's top platform (force $F_{h}$). The vertical inertial motion of the granite $x_{g}$ and the top platform of the micro-hexapod $x_{h}$ are measured using geophones1. Three frequency response functions were computed: one from $F_{h}$ to $x_{h}$ (i.e., the compliance of the micro-station), one from $F_{g}$ to $x_{h}$ (or from $F_{h}$ to $x_{g}$) and one from $F_{g}$ to $x_{g}$.
Due to the poor coherence at low frequencies, these frequency response functions will only be shown between 20 and 200Hz (solid lines in Figure ref:fig:uniaxial_comp_frf_meas_model).
Uniaxial Model
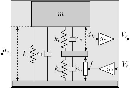
The uniaxial model of the micro-station is shown in Figure ref:fig:uniaxial_model_micro_station. It consists of a mass spring damper system with three degrees of freedom. A mass-spring-damper system represents the granite (with mass $m_g$, stiffness $k_g$ and damping $c_g$). Another mass-spring-damper system represents the different micro-station stages (the $T_y$ stage, the $R_y$ stage and the $R_z$ stage) with mass $m_t$, damping $c_t$ and stiffness $k_t$. Finally, a third mass-spring-damper system represents the micro-hexapod with mass $m_h$, damping $c_h$ and stiffness $k_h$.
The masses of the different stages are estimated from the 3D model, while the stiffnesses are from the data-sheet of the manufacturers. The damping coefficients were tuned to match the damping identified from the measurements. The parameters obtained are summarized in Table ref:tab:uniaxial_ustation_parameters.
| Stage | Mass | Stiffness | Damping |
|---|---|---|---|
| Micro-Hexapod | $m_h = 15\,\text{kg}$ | $k_h = 61\,N/\mu m$ | $c_h = 3\,\frac{kN}{m/s}$ |
| $T_y$, $R_y$, $R_z$ | $m_t = 1200\,\text{kg}$ | $k_t = 520\,N/\mu m$ | $c_t = 80\,\frac{kN}{m/s}$ |
| Granite | $m_g = 2500\,\text{kg}$ | $k_g = 950\,N/\mu m$ | $c_g = 250\,\frac{kN}{m/s}$ |
Two disturbances are considered which are shown in red: the floor motion $x_f$ and the stage vibrations represented by $f_t$. The hammer impacts $F_{h}, F_{g}$ are shown in blue, whereas the measured inertial motions $x_{h}, x_{g}$ are shown in black.
Comparison of model and measurements
The transfer functions from the forces injected by the hammers to the measured inertial motion of the micro-hexapod and granite are extracted from the uniaxial model and compared to the measurements in Figure ref:fig:uniaxial_comp_frf_meas_model.
Because the uniaxial model has three degrees of freedom, only three modes with frequencies at $70\,\text{Hz}$, $140\,\text{Hz}$ and $320\,\text{Hz}$ are modeled. Many more modes can be observed in the measurements (see Figure ref:fig:uniaxial_comp_frf_meas_model). However, the goal is not to have a perfect match with the measurement (this would require a much more complex model), but to have a first approximation. More accurate models will be used later on.
Nano-Hexapod Model
<<sec:uniaxial_nano_station_model>>
Introduction
A model of the nano-hexapod and sample is now added on top of the uniaxial model of the micro-station (Figure ref:fig:uniaxial_model_micro_station_nass). Disturbances (shown in red) are gls:fs the direct forces applied to the sample (for example cable forces), gls:ft representing the vibrations induced when scanning the different stages and gls:xf the floor motion. The control signal is the force applied by the nano-hexapod $f$ and the measurement is the relative motion between the sample and the granite $d$. The sample is here considered as a rigid body and rigidly fixed to the nano-hexapod. The effect of resonances between the sample's point of interest and the nano-hexapod actuator will be considered in Section ref:sec:uniaxial_payload_dynamics.
Nano-Hexapod Parameters
The nano-hexapod is represented by a mass spring damper system (shown in blue in Figure ref:fig:uniaxial_model_micro_station_nass). Its mass gls:mn is set to $15\,\text{kg}$ while its stiffness $k_n$ can vary depending on the chosen architecture/technology. The sample is represented by a mass gls:ms that can vary from $1\,\text{kg}$ up to $50\,\text{kg}$.
As a first example, the nano-hexapod stiffness of is set at $k_n = 10\,N/\mu m$ and the sample mass is chosen at $m_s = 10\,\text{kg}$.
Obtained Dynamic Response
The sensitivity to disturbances (i.e., the transfer functions from $x_f,f_t,f_s$ to $d$) can be extracted from the uniaxial model of Figure ref:fig:uniaxial_model_micro_station_nass and are shown in Figure ref:fig:uniaxial_sensitivity_dist_first_params. The plant (i.e., the transfer function from actuator force $f$ to measured displacement $d$) is shown in Figure ref:fig:uniaxial_plant_first_params.
For further analysis, 9 "configurations" of the uniaxial NASS model of Figure ref:fig:uniaxial_model_micro_station_nass will be considered: three nano-hexapod stiffnesses ($k_n = 0.01\,N/\mu m$, $k_n = 1\,N/\mu m$ and $k_n = 100\,N/\mu m$) combined with three sample's masses ($m_s = 1\,kg$, $m_s = 25\,kg$ and $m_s = 50\,kg$).
Disturbance Identification
<<sec:uniaxial_disturbances>>
Introduction
To quantify disturbances (red signals in Figure ref:fig:uniaxial_model_micro_station_nass), three geophones2 are used. One is located on the floor, another one on the granite, and the last one on the micro-hexapod's top platform (see Figure ref:fig:uniaxial_ustation_meas_disturbances). The geophone located on the floor was used to measure the floor motion $x_f$ while the other two geophones were used to measure vibrations introduced by scanning of the $T_y$ stage and $R_z$ stage (see Figure ref:fig:uniaxial_ustation_dynamical_id_setup).
Ground Motion
To acquire the geophone signals, the measurement setup shown in Figure ref:fig:uniaxial_geophone_meas_chain is used. The voltage generated by the geophone is amplified using a low noise voltage amplifier3 with a gain of 60dB before going to the ADC. This is done to improve the signal-to-noise ratio.
To reconstruct the displacement $x_f$ from the measured voltage $\hat{V}_{x_f}$, the transfer function of the measurement chain from $x_f$ to $\hat{V}_{x_f}$ needs to be estimated. First, the transfer function $G_{geo}$ from the floor motion $x_{f}$ to the generated geophone voltage $V_{x_f}$ is shown in eqref:eq:uniaxial_geophone_tf, with $T_g = 88\,\frac{V}{m/s}$ the sensitivity of the geophone, $f_0 = \frac{\omega_0}{2\pi} = 2\,\text{Hz}$ its resonance frequency and $\xi = 0.7$ its damping ratio. This model of the geophone was taken from cite:&collette12_review. The gain of the voltage amplifier is $V^{\prime}_{x_f}/V_{x_f} = g_0 = 1000$.
\begin{equation}\label{eq:uniaxial_geophone_tf} Ggeo(s) = \frac{Vx_f}{x_f}(s) = Tg ⋅ s ⋅ \frac{s^2}{s^2 + 2 ξ ω_0 s + ω_0^2} \quad ≤ft[ V/m \right]
\end{equation}

The amplitude spectral density of the floor motion $\Gamma_{x_f}$ can be computed from the amplitude spectral density of measured voltage $\Gamma_{\hat{V}_{x_f}}$ using eqref:eq:uniaxial_asd_floor_motion. The estimated amplitude spectral density $\Gamma_{x_f}$ of the floor motion $x_f$ is shown in Figure ref:fig:uniaxial_asd_floor_motion_id31.
\begin{equation}\label{eq:uniaxial_asd_floor_motion} Γx_f(ω) = \frac{Γ_{\hat{V}x_f}(ω)}{|Ggeo(jω)| ⋅ g_0} \quad ≤ft[ m/\sqrt{\text{Hz}} \right]
\end{equation}
Stage Vibration
To estimate the vibrations induced by scanning the micro-station stages, two geophones are used, as shown in Figure ref:fig:uniaxial_ustation_dynamical_id_setup. The vertical relative velocity between the top platform of the micro hexapod and the granite is estimated in two cases: without moving the micro-station stages, and then during a Spindle rotation at 6rpm. The vibrations induced by the $T_y$ stage are not considered here because they have less amplitude than the vibrations induced by the $R_z$ stage and because the $T_y$ stage can be scanned at lower velocities if the induced vibrations are found to be an issue.
The amplitude spectral density of the relative motion with and without the Spindle rotation are compared in Figure ref:fig:uniaxial_asd_vibration_spindle_rotation. It is shown that the spindle rotation increases the vibrations above $20\,\text{Hz}$. The sharp peak observed at $24\,\text{Hz}$ is believed to be induced by electromagnetic interference between the currents in the spindle motor phases and the geophone cable because this peak is not observed when rotating the spindle "by hand".
To compute the equivalent disturbance force $f_t$ (Figure ref:fig:uniaxial_model_micro_station) that induces such motion, the transfer function $G_{f_t}(s)$ from $f_t$ to the relative motion between the micro-hexapod's top platform and the granite $(x_{h} - x_{g})$ is extracted from the model. The amplitude spectral density $\Gamma_{f_{t}}$ of the disturbance force is them computed from eqref:eq:uniaxial_ft_asd and is shown in Figure ref:fig:uniaxial_asd_disturbance_force.
\begin{equation}\label{eq:uniaxial_ft_asd} Γ_{ft}(ω) = \frac{Γ_{Rz}(ω)}{|Gf_t(jω)|}
\end{equation}
Open-Loop Dynamic Noise Budgeting
<<sec:uniaxial_noise_budgeting>>
Introduction
Now that a model of the acrshort:nass has been obtained (see section ref:sec:uniaxial_nano_station_model) and that the disturbances have been estimated (see section ref:sec:uniaxial_disturbances), it is possible to perform an open-loop dynamic noise budgeting.
To perform such noise budgeting, the disturbances need to be modeled by their spectral densities (done in section ref:sec:uniaxial_disturbances). Then, the transfer functions from disturbances to the performance metric (here the distance $d$) are computed (Section ref:ssec:uniaxial_noise_budget_sensitivity). Finally, these two types of information are combined to estimate the corresponding spectral density of the performance metric. This is very useful to identify what is limiting the performance of the system, or the compare the achievable performance with different system parameters (Section ref:ssec:uniaxial_noise_budget_result).
Sensitivity to disturbances
<<ssec:uniaxial_noise_budget_sensitivity>> From the uniaxial model of the acrshort:nass (Figure ref:fig:uniaxial_model_micro_station_nass), the transfer function from the disturbances ($f_s$, $x_f$ and $f_t$) to the displacement $d$ are computed.
This is done for two extreme sample masses $m_s = 1\,\text{kg}$ and $m_s = 50\,\text{kg}$ and three nano-hexapod stiffnesses:
- $k_n = 0.01\,N/\mu m$ that represents a voice coil actuator with soft flexible guiding
- $k_n = 1\,N/\mu m$ that represents a voice coil actuator with a stiff flexible guiding or a mechanically amplified piezoelectric actuator
- $k_n = 100\,N/\mu m$ that represents a stiff piezoelectric stack actuator
The obtained sensitivity to disturbances for the three nano-hexapod stiffnesses are shown in Figure ref:fig:uniaxial_sensitivity_disturbances_nano_hexapod_stiffnesses for the sample mass $m_s = 1\,\text{kg}$ (the same conclusions can be drawn with $m_s = 50\,\text{kg}$):
- The soft nano-hexapod is more sensitive to forces applied on the sample (cable forces for instance), which is expected due to its lower stiffness (Figure ref:fig:uniaxial_sensitivity_disturbances_nano_hexapod_stiffnesses_fs)
- Between the suspension mode of the nano-hexapod (here at 5Hz for the soft nano-hexapod) and the first mode of the micro-station (here at 70Hz), the disturbances induced by the stage vibrations are filtered out (Figure ref:fig:uniaxial_sensitivity_disturbances_nano_hexapod_stiffnesses_ft)
- Above the suspension mode of the nano-hexapod, the sample's inertial motion is unaffected by the floor motion; therefore, the sensitivity to floor motion is close to $1$ (Figure ref:fig:uniaxial_sensitivity_disturbances_nano_hexapod_stiffnesses_xf)
Open-Loop Dynamic Noise Budgeting
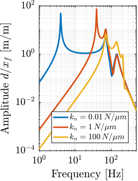
<<ssec:uniaxial_noise_budget_result>> Now, the amplitude spectral densities of the disturbances are considered to estimate the residual motion $d$ for each nano-hexapod and sample configuration. The Cumulative Amplitude Spectrum of the relative motion $d$ due to both floor motion $x_f$ and stage vibrations $f_t$ are shown in Figure ref:fig:uniaxial_cas_d_disturbances_stiffnesses for the three nano-hexapod stiffnesses. It is shown that the effect of floor motion is much less than that of stage vibrations, except for the soft nano-hexapod below $5\,\text{Hz}$.
The total cumulative amplitude spectrum of $d$ for the three nano-hexapod stiffnesses and for the two samples masses are shown in Figure ref:fig:uniaxial_cas_d_disturbances_payload_masses. The conclusion is that the sample mass has little effect on the cumulative amplitude spectrum of the relative motion $d$.
Conclusion
The open-loop residual vibrations of $d$ can be estimated from the low-frequency value of the cumulative amplitude spectrum in Figure ref:fig:uniaxial_cas_d_disturbances_payload_masses. This residual vibration of $d$ is found to be in the order of $100\,nm\,\text{RMS}$ for the stiff nano-hexapod ($k_n = 100\,N/\mu m$), $200\,nm\,\text{RMS}$ for the relatively stiff nano-hexapod ($k_n = 1\,N/\mu m$) and $1\,\mu m\,\text{RMS}$ for the soft nano-hexapod ($k_n = 0.01\,N/\mu m$). From this analysis, it may be concluded that the stiffer the nano-hexapod the better.
However, what is more important is the closed-loop residual vibration of $d$ (i.e., while the feedback controller is used). The goal is to obtain a closed-loop residual vibration $\epsilon_d \approx 20\,nm\,\text{RMS}$ (represented by an horizontal dashed black line in Figure ref:fig:uniaxial_cas_d_disturbances_payload_masses). The bandwidth of the feedback controller leading to a closed-loop residual vibration of $20\,nm\,\text{RMS}$ can be estimated as the frequency at which the cumulative amplitude spectrum crosses the black dashed line in Figure ref:fig:uniaxial_cas_d_disturbances_payload_masses.
A closed loop bandwidth of $\approx 10\,\text{Hz}$ is found for the soft nano-hexapod ($k_n = 0.01\,N/\mu m$), $\approx 50\,\text{Hz}$ for the relatively stiff nano-hexapod ($k_n = 1\,N/\mu m$), and $\approx 100\,\text{Hz}$ for the stiff nano-hexapod ($k_n = 100\,N/\mu m$). Therefore, while the open-loop vibration is the lowest for the stiff nano-hexapod, it requires the largest feedback bandwidth to meet the specifications.
The advantage of the soft nano-hexapod can be explained by its natural isolation from the micro-station vibration above its suspension mode, as shown in Figure ref:fig:uniaxial_sensitivity_disturbances_nano_hexapod_stiffnesses_ft.
Active Damping
<<sec:uniaxial_active_damping>>
Introduction
In this section, three active damping techniques are applied to the nano-hexapod (see Figure ref:fig:uniaxial_active_damping_strategies): Integral Force Feedback (IFF) cite:preumont91_activ, Relative Damping Control (RDC) cite:&preumont18_vibrat_contr_activ_struc_fourt_edition Chapter 7.2 and Direct Velocity Feedback (DVF) cite:karnopp74_vibrat_contr_using_semi_activ_force_gener,serrand00_multic_feedb_contr_isolat_base_excit_vibrat,preumont02_force_feedb_versus_accel_feedb.
These damping strategies are first described (Section ref:ssec:uniaxial_active_damping_strategies) and are then compared in terms of achievable damping of the nano-hexapod mode (Section ref:ssec:uniaxial_active_damping_achievable_damping), reduction of the effect of disturbances (i.e., $x_f$, $f_t$ and $f_s$) on the displacement $d$ (Sections ref:ssec:uniaxial_active_damping_sensitivity_disturbances).
Active Damping Strategies
<<ssec:uniaxial_active_damping_strategies>>
Integral Force Feedback (IFF)
The Integral Force Feedback strategy consists of using a force sensor in series with the actuator (see Figure ref:fig:uniaxial_active_damping_iff_schematic) and applying an "integral" feedback controller eqref:eq:uniaxial_iff_controller.
\begin{equation}\label{eq:uniaxial_iff_controller} \boxed{K_{\text{IFF}}(s) = \frac{g}{s}}
\end{equation}
The mechanical equivalent of this IFF strategy is a dashpot in series with the actuator stiffness with a damping coefficient equal to the stiffness of the actuator divided by the controller gain $k/g$ (see Figure ref:fig:uniaxial_active_damping_iff_equiv).
Relative Damping Control (RDC)
For the Relative Damping Control strategy, a relative motion sensor that measures the motion of the actuator is used (see Figure ref:fig:uniaxial_active_damping_rdc_schematic) and a "derivative" feedback controller is used eqref:eq:uniaxial_rdc_controller.
\begin{equation}\label{eq:uniaxial_rdc_controller} \boxed{K_{\text{RDC}}(s) = - g ⋅ s}
\end{equation}
The mechanical equivalent of acrshort:rdc is a dashpot in parallel with the actuator with a damping coefficient equal to the controller gain $g$ (see Figure ref:fig:uniaxial_active_damping_rdc_equiv).
Direct Velocity Feedback (DVF)
Finally, the direct velocity feedback strategy consists of using an inertial sensor (usually a geophone) that measures the "absolute" velocity of the body fixed on top of the actuator (see Figure ref:fig:uniaxial_active_damping_dvf_schematic). This velocity is fed back to the actuator with a "proportional" controller eqref:eq:uniaxial_dvf_controller.
\begin{equation}\label{eq:uniaxial_dvf_controller} \boxed{K_{\text{DVF}}(s) = - g}
\end{equation}
This is equivalent to a dashpot (with a damping coefficient equal to the controller gain $g$) between the body (on which the inertial sensor is fixed) and an inertial reference frame (see Figure ref:fig:uniaxial_active_damping_dvf_equiv). This is usually referred to as "sky hook damper".
Plant Dynamics for Active Damping
<<ssec:uniaxial_active_damping_plants>> The plant dynamics for all three active damping techniques are shown in Figure ref:fig:uniaxial_plant_active_damping_techniques. All have alternating poles and zeros meaning that the phase does not vary by more than $180\,\text{deg}$ which makes the design of a robust damping controller very easy.
This alternating poles and zeros property is guaranteed for the IFF and RDC cases because the sensors are collocated with the actuator cite:&preumont18_vibrat_contr_activ_struc_fourt_edition Chapter 7. For the DVF controller, this property is not guaranteed, and may be lost if some flexibility between the nano-hexapod and the sample is considered cite:&preumont18_vibrat_contr_activ_struc_fourt_edition Chapter 8.4.
When the nano-hexapod's suspension modes are at frequencies lower than the resonances of the micro-station (blue and red curves in Figure ref:fig:uniaxial_plant_active_damping_techniques), the resonances of the micro-stations have little impact on the IFF and DVF transfer functions. For the stiff nano-hexapod (yellow curves), the micro-station dynamics can be seen on the transfer functions in Figure ref:fig:uniaxial_plant_active_damping_techniques. Therefore, it is expected that the micro-station dynamics might impact the achievable damping if a stiff nano-hexapod is used.
Achievable Damping and Damped Plants
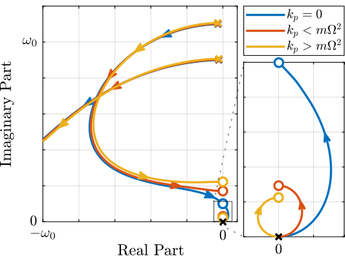
<<ssec:uniaxial_active_damping_achievable_damping>>
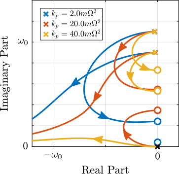
To compare the added damping using the three considered active damping strategies, the root locus plot is used. Indeed, the damping ratio $\xi$ of a pole in the complex plane can be estimated from the angle $\phi$ it makes with the imaginary axis eqref:eq:uniaxial_damping_ratio_angle. Increasing the angle with the imaginary axis therefore means that more damping is added to the considered resonance. This is illustrated in Figure ref:fig:uniaxial_root_locus_damping_techniques_micro_station_mode by the dashed black line indicating the maximum achievable damping.
\begin{equation}\label{eq:uniaxial_damping_ratio_angle} ξ = sin(ɸ)
\end{equation}
The Root Locus for the three nano-hexapod stiffnesses and the three active damping techniques are shown in Figure ref:fig:uniaxial_root_locus_damping_techniques. All three active damping approaches can lead to critical damping of the nano-hexapod suspension mode (angle $\phi$ can be increased up to 90 degrees). There is even some damping authority on micro-station modes in the following cases:
- IFF with a stiff nano-hexapod (Figure ref:fig:uniaxial_root_locus_damping_techniques_stiff)
- This can be understood from the mechanical equivalent of IFF shown in Figure ref:fig:uniaxial_active_damping_iff_equiv considering an high stiffness $k$. The micro-station top platform is connected to an inertial mass (the nano-hexapod) through a damper, which dampens the micro-station suspension suspension mode.
- DVF with a stiff nano-hexapod (Figure ref:fig:uniaxial_root_locus_damping_techniques_stiff)
- In that case, the "sky hook damper" (see mechanical equivalent of DVF in Figure ref:fig:uniaxial_active_damping_dvf_equiv) is connected to the micro-station top platform through the stiff nano-hexapod.
- RDC with a soft nano-hexapod (Figure ref:fig:uniaxial_root_locus_damping_techniques_micro_station_mode)
- At the frequency of the micro-station mode, the nano-hexapod top mass behaves as an inertial reference because the suspension mode of the soft nano-hexapod is at much lower frequency. The micro-station and the nano-hexapod masses are connected through a large damper induced by RDC (see mechanical equivalent in Figure ref:fig:uniaxial_active_damping_rdc_equiv) which allows some damping of the micro-station.
The transfer functions from the plant input $f$ to the relative displacement $d$ while active damping is implemented are shown in Figure ref:fig:uniaxial_damped_plant_three_active_damping_techniques. All three active damping techniques yielded similar damped plants.
Sensitivity to disturbances and Noise Budgeting
<<ssec:uniaxial_active_damping_sensitivity_disturbances>>
Reasonable gains are chosen for the three active damping strategies such that the nano-hexapod suspension mode is well damped. The sensitivity to disturbances (direct forces $f_s$, stage vibrations $f_t$ and floor motion $x_f$) for all three active damping techniques are compared in Figure ref:fig:uniaxial_sensitivity_dist_active_damping. The comparison is done with the nano-hexapod having a stiffness $k_n = 1\,N/\mu m$.
Several conclusions can be drawn by comparing the obtained sensitivity transfer functions:
- IFF degrades the sensitivity to direct forces on the sample (i.e., the compliance) below the resonance of the nano-hexapod (Figure ref:fig:uniaxial_sensitivity_dist_active_damping_fs). This is a well-known effect of using IFF for vibration isolation cite:&collette15_sensor_fusion_method_high_perfor.
- RDC degrades the sensitivity to stage vibrations around the nano-hexapod's resonance as compared to the other two methods (Figure ref:fig:uniaxial_sensitivity_dist_active_damping_ft). This is because the equivalent damper in parallel with the actuator (see Figure ref:fig:uniaxial_active_damping_rdc_equiv) increases the transmission of the micro-station vibration to the sample which is not the same for the other two active damping strategies.
- both IFF and DVF degrade the sensitivity to floor motion below the resonance of the nano-hexapod (Figure ref:fig:uniaxial_sensitivity_dist_active_damping_xf).
From the amplitude spectral density of the disturbances (computed in Section ref:sec:uniaxial_disturbances) and the sensitivity to disturbances estimated using the three active damping strategies, a noise budget can be calculated. The cumulative amplitude spectrum of the distance $d$ with all three active damping techniques is shown in Figure ref:fig:uniaxial_cas_active_damping and compared with the open-loop case. All three active damping methods give similar results.
Conclusion
Three active damping strategies have been studied for the acrfull:nass. Equivalent mechanical representations were derived in Section ref:ssec:uniaxial_active_damping_strategies which are helpful for understanding the specific effects of each strategy. The plant dynamics were then compared in Section ref:ssec:uniaxial_active_damping_plants and were found to all have alternating poles and zeros, which helps in the design of the active damping controller. However, this property is not guaranteed for DVF. The achievable damping of the nano-hexapod suspension mode can be made as large as possible for all three active damping techniques (Section ref:ssec:uniaxial_active_damping_achievable_damping). Even some damping can be applied to some micro-station modes in specific cases. The obtained damped plants were found to be similar. The damping strategies were then compared in terms of disturbance reduction in Section ref:ssec:uniaxial_active_damping_sensitivity_disturbances.
The comparison between the three active damping strategies is summarized in Table ref:tab:comp_active_damping. It is difficult to conclude on the best active damping strategy for the acrfull:nass yet. Which one will be used will be determined by the use of more accurate models and will depend on which is the easiest to implement in practice
| IFF | RDC | DVF | |
|---|---|---|---|
| Sensor | Force sensor | Relative motion sensor | Inertial sensor |
| Damping | Up to critical | Up to critical | Up to Critical |
| Robustness | Requires collocation | Requires collocation | Impacted by geophone resonances |
| $f_s$ Disturbance | $\nearrow$ at low frequency | $\searrow$ near resonance | $\searrow$ near resonance |
| $f_t$ Disturbance | $\searrow$ near resonance | $\nearrow$ near resonance | $\searrow$ near resonance |
| $x_f$ Disturbance | $\nearrow$ at low frequency | $\searrow$ near resonance | $\nearrow$ at low frequency |
Position Feedback Controller
<<sec:uniaxial_position_control>>
Introduction
The gls:haclac architecture is shown in Figure ref:fig:uniaxial_hac_lac_architecture. This corresponds to a two step control strategy:
- First, an active damping controller $\bm{K}_{\textsc{LAC}}$ is implemented (see Section ref:sec:uniaxial_active_damping). It allows the vibration level to be reduced, and it also makes the damped plant (transfer function from $u^{\prime}$ to $y$) easier to control than the undamped plant (transfer function from $u$ to $y$). This is called low authority control as it only slightly affects the system poles cite:&preumont18_vibrat_contr_activ_struc_fourt_edition Chapter 14.6.
- Then, a position controller $\bm{K}_{\textsc{HAC}}$ is implemented and is used to control the position $d$. This is called high authority control as it usually relocates the system's poles.
In this section, Integral Force Feedback is used as the Low Authority Controller (the other two damping strategies would lead to the same conclusions here). This control architecture applied to the uniaxial model is shown in Figure ref:fig:uniaxial_hac_lac_model.
Damped Plant Dynamics
<<ssec:uniaxial_position_control_damped_dynamics>> The damped plants obtained for the three nano-hexapod stiffnesses are shown in Figure ref:fig:uniaxial_hac_iff_damped_plants_masses. For $k_n = 0.01\,N/\mu m$ and $k_n = 1\,N/\mu m$, the dynamics are quite simple and can be well approximated by a second-order plant (Figures ref:fig:uniaxial_hac_iff_damped_plants_masses_soft and ref:fig:uniaxial_hac_iff_damped_plants_masses_mid). However, this is not the case for the stiff nano-hexapod ($k_n = 100\,N/\mu m$) where two modes can be seen (Figure ref:fig:uniaxial_hac_iff_damped_plants_masses_stiff). This is due to the interaction between the micro-station (modeled modes at 70Hz, 140Hz and 320Hz) and the nano-hexapod. This effect will be further explained in Section ref:sec:uniaxial_support_compliance.
Position Feedback Controller
<<ssec:uniaxial_position_control_design>>
The objective is to design high-authority feedback controllers for the three nano-hexapods. This controller must be robust to the change of sample's mass (from $1\,\text{kg}$ up to $50\,\text{kg}$).
The required feedback bandwidths were estimated in Section ref:sec:uniaxial_noise_budgeting:
- $f_b \approx 10\,\text{Hz}$ for the soft nano-hexapod ($k_n = 0.01\,N/\mu m$). Near this frequency, the plants (shown in Figure ref:fig:uniaxial_hac_iff_damped_plants_masses_soft) are equivalent to a mass line (i.e., slope of $-40\,dB/\text{dec}$ and a phase of -180 degrees). The gain of this mass line can vary up to a fact $\approx 5$ (suspended mass from $16\,kg$ up to $65\,kg$). This means that the designed controller will need to have large gain margins to be robust to the change of sample's mass.
- $\approx 50\,\text{Hz}$ for the relatively stiff nano-hexapod ($k_n = 1\,N/\mu m$). Similar to the soft nano-hexapod, the plants near the crossover frequency are equivalent to a mass line (Figure ref:fig:uniaxial_hac_iff_damped_plants_masses_mid). It will probably be easier to have a little bit more bandwidth in this configuration to be further away from the nano-hexapod suspension mode.
- $\approx 100\,\text{Hz}$ for the stiff nano-hexapod ($k_n = 100\,N/\mu m$). Contrary to the two first nano-hexapod stiffnesses, here the plants have more complex dynamics near the desired crossover frequency (see Figure ref:fig:uniaxial_hac_iff_damped_plants_masses_stiff). The micro-station is not stiff enough to have a clear stiffness line at this frequency. Therefore, there is both a change of phase and gain depending on the sample mass. This makes the robust design of the controller more complicated.
Position feedback controllers are designed for each nano-hexapod such that it is stable for all considered sample masses with similar stability margins (see Nyquist plots in Figure ref:fig:uniaxial_nyquist_hac). An arbitrary minimum modulus margin of $0.25$ was chosen when designing the controllers. These high authority controllers are generally composed of a lag at low frequency for disturbance rejection, a lead to increase the phase margin near the crossover frequency, and a low pass filter to increase the robustness to high frequency dynamics. The controllers used for the three nano-hexapod are shown in Equation eqref:eq:uniaxial_hac_formulas, and the parameters used are summarized in Table ref:tab:uniaxial_feedback_controller_parameters.
\begin{subequations} \label{eq:uniaxial_hac_formulas}
\begin{align} K_{\text{soft}}(s) &= g \cdot \underbrace{\frac{s + \omega_0}{s + \omega_i}}_{\text{lag}} \cdot \underbrace{\frac{1 + \frac{s}{\omega_c/\sqrt{a}}}{1 + \frac{s}{\omega_c \sqrt{a}}}}_{\text{lead}} \cdot \underbrace{\frac{1}{1 + \frac{s}{\omega_l}}}_{\text{LPF}} \\ K_{\text{mid}}(s) &= g \cdot \underbrace{\left(\frac{s + \omega_0}{s + \omega_i}\right)^2}_{\text{2 lags}} \cdot \underbrace{\frac{1 + \frac{s}{\omega_c/\sqrt{a}}}{1 + \frac{s}{\omega_c \sqrt{a}}}}_{\text{lead}} \cdot \underbrace{\frac{1}{1 + \frac{s}{\omega_l}}}_{\text{LPF}} \\ K_{\text{stiff}}(s) &= g \cdot \underbrace{\left(\frac{1}{s + \omega_i}\right)^2}_{\text{2 lags}} \cdot \underbrace{\left(\frac{1 + \frac{s}{\omega_c/\sqrt{a}}}{1 + \frac{s}{\omega_c \sqrt{a}}}\right)^2}_{\text{2 leads}} \cdot \underbrace{\frac{1}{1 + \frac{s}{\omega_l}}}_{\text{LPF}} \end{align}\end{subequations}
| Soft | Moderately stiff | Stiff | |
|---|---|---|---|
| Gain | $g = 4 \cdot 10^5$ | $g = 3 \cdot 10^6$ | $g = 6 \cdot 10^{12}$ |
| Lead | $a = 5$, $\omega_c = 20\,Hz$ | $a = 4$, $\omega_c = 70\,Hz$ | $a = 5$, $\omega_c = 100\,Hz$ |
| Lag | $\omega_0 = 5\,Hz$, $\omega_i = 0.01\,Hz$ | $\omega_0 = 20\,Hz$, $\omega_i = 0.01\,Hz$ | $\omega_i = 0.01\,Hz$ |
| LPF | $\omega_l = 200\,Hz$ | $\omega_l = 300\,Hz$ | $\omega_l = 500\,Hz$ |
The loop gains corresponding to the designed high authority controllers for the three nano-hexapod are shown in Figure ref:fig:uniaxial_loop_gain_hac. We can see that for the soft and moderately stiff nano-hexapod (Figures ref:fig:uniaxial_nyquist_hac_vc and ref:fig:uniaxial_nyquist_hac_md), the crossover frequency varies significantly with the sample mass. This is because the crossover frequency corresponds to the mass line of the plant (whose gain is inversely proportional to the mass). For the stiff nano-hexapod (Figure ref:fig:uniaxial_nyquist_hac_pz), it was difficult to achieve the desired closed-loop bandwidth of $\approx 100\,\text{Hz}$. A crossover frequency of $\approx 65\,\text{Hz}$ was achieved instead.
Note that these controllers were not designed using any optimization methods. The goal is to have a first estimation of the attainable performance.
Closed-Loop Noise Budgeting
<<ssec:uniaxial_position_control_cl_noise_budget>>
The high authority position feedback controllers are then implemented and the closed-loop sensitivities to disturbances are computed. These are compared with the open-loop and damped plants cases in Figure ref:fig:uniaxial_sensitivity_dist_hac_lac for just one configuration (moderately stiff nano-hexapod with 25kg sample's mass). As expected, the sensitivity to disturbances decreased in the controller bandwidth and slightly increased outside this bandwidth.
The cumulative amplitude spectrum of the motion $d$ is computed for all nano-hexapod configurations, all sample masses and in the open-loop (OL), damped (IFF) and position controlled (HAC-IFF) cases. The results are shown in Figure ref:fig:uniaxial_cas_hac_lac. Obtained root mean square values of the distance $d$ are better for the soft nano-hexapod ($\approx 25\,nm$ to $\approx 35\,nm$ depending on the sample's mass) than for the stiffer nano-hexapod (from $\approx 30\,nm$ to $\approx 70\,nm$).
Conclusion
On the basis of the open-loop noise budgeting made in Section ref:sec:uniaxial_noise_budgeting, the closed-loop bandwidth required to obtain a vibration level of $\approx 20\,nm\,\text{RMS}$ was estimated. To achieve such bandwidth, the acrshort:haclac strategy was followed, which consists of first using an active damping controller (studied in Section ref:sec:uniaxial_active_damping) and then adding a high authority position feedback controller.
In this section, feedback controllers were designed in such a way that the required closed-loop bandwidth was reached while being robust to changes in the payload mass. The attainable vibration control performances were estimated for the three nano-hexapod stiffnesses and were found to be close to the required values. However, the stiff nano-hexapod ($k_n = 100\,N/\mu m$) is requiring the largest feedback bandwidth, which is difficult to achieve while being robust to the change of payload mass. A slight advantage can be given to the soft nano-hexapod as it requires less feedback bandwidth while providing better stability results.
Effect of limited micro-station compliance
<<sec:uniaxial_support_compliance>>
Introduction
In this section, the impact of the compliance of the support (i.e., the micro-station) on the dynamics of the plant to control is studied. This is a critical point because the dynamics of the micro-station is complex, depends on the considered direction (see measurements in Figure ref:fig:uniaxial_comp_frf_meas_model) and may vary with position and time. It would be much better to have a plant dynamics that is not impacted by the micro-station.
Therefore, the objective of this section is to obtain some guidance for the design of a nano-hexapod that will not be impacted by the complex micro-station dynamics. To study this, two models are used (Figure ref:fig:uniaxial_support_compliance_models). The first one consists of the nano-hexapod directly fixed on top of the granite, thus neglecting any support compliance (Figure ref:fig:uniaxial_support_compliance_nano_hexapod_only). The second one consists of the nano-hexapod fixed on top of the micro-station having some limited compliance (Figure ref:fig:uniaxial_support_compliance_test_system)
Neglected support compliance
The limited compliance of the micro-station is first neglected and the uniaxial model shown in Figure ref:fig:uniaxial_support_compliance_nano_hexapod_only is used. The nano-hexapod mass (including the payload) is set at $20\,\text{kg}$ and three hexapod stiffnesses are considered, such that their resonance frequencies are at $\omega_{n} = 10\,\text{Hz}$, $\omega_{n} = 70\,\text{Hz}$ and $\omega_{n} = 400\,\text{Hz}$. Obtained transfer functions from $F$ to $L^\prime$ (shown in Figure ref:fig:uniaxial_effect_support_compliance_neglected) are simple second-order low-pass filters. When neglecting the support compliance, a large feedback bandwidth can be achieved for all three nano-hexapods.
Effect of support compliance on $L/F$
Some support compliance is now added and the model shown in Figure ref:fig:uniaxial_support_compliance_test_system is used. The parameters of the support (i.e., $m_{\mu}$, $c_{\mu}$ and $k_{\mu}$) are chosen to match the vertical mode at $70\,\text{Hz}$ seen on the micro-station (Figure ref:fig:uniaxial_comp_frf_meas_model). The transfer functions from $F$ to $L$ (i.e., control of the relative motion of the nano-hexapod) and from $L$ to $d$ (i.e., control of the position between the nano-hexapod and the fixed granite) can then be computed.
When the relative displacement of the nano-hexapod $L$ is controlled (dynamics shown in Figure ref:fig:uniaxial_effect_support_compliance_dynamics), having a stiff nano-hexapod (i.e., with a suspension mode at higher frequency than the mode of the support) makes the dynamics less affected by the limited support compliance (Figure ref:fig:uniaxial_effect_support_compliance_dynamics_stiff). This is why it is very common to have stiff piezoelectric stages fixed at the very top of positioning stages. In such a case, the control of the piezoelectric stage using its integrated metrology (typically capacitive sensors) is quite simple as the plant is not much affected by the dynamics of the support on which it is fixed.
If a soft nano-hexapod is used, the support dynamics appears in the dynamics between $F$ and $L$ (see Figure ref:fig:uniaxial_effect_support_compliance_dynamics_soft) which will impact the control robustness and performance.
Effect of support compliance on $d/F$
When the motion to be controlled is the relative displacement $d$ between the granite and the nano-hexapod's top platform (which is the case for the acrshort:nass), the effect of the support compliance on the plant dynamics is opposite to that previously observed. Indeed, using a "soft" nano-hexapod (i.e., with a suspension mode at lower frequency than the mode of the support) makes the dynamics less affected by the support dynamics (Figure ref:fig:uniaxial_effect_support_compliance_dynamics_d_soft). Conversely, if a "stiff" nano-hexapod is used, the support dynamics appears in the plant dynamics (Figure ref:fig:uniaxial_effect_support_compliance_dynamics_d_stiff).
Conclusion
To study the impact of support compliance on plant dynamics, simple models shown in Figure ref:fig:uniaxial_support_compliance_models were used. Depending on the quantity to be controlled ($L$ or $d$ in Figure ref:fig:uniaxial_support_compliance_test_system) and on the relative location of $\omega_\nu$ (suspension mode of the nano-hexapod) with respect to $\omega_\mu$ (modes of the support), the interaction between the support and the nano-hexapod dynamics can drastically change (observations made are summarized in Table ref:tab:uniaxial_effect_compliance).
For the acrfull:nass, having the suspension mode of the nano-hexapod at lower frequencies than the suspension modes of the micro-station would make the plant less dependent on the micro-station dynamics, and therefore easier to control. Note that the observations made in this section are also affected by the ratio between the support mass $m_{\mu}$ and the nano-hexapod mass $m_n$ (the effect is more pronounced when the ratio $m_n/m_{\mu}$ increases).
| $\omega_{\nu} \ll \omega_{\mu}$ | $\omega_{\nu} \approx \omega_{\mu}$ | $\omega_{\nu} \gg \omega_{\mu}$ | |
|---|---|---|---|
| $d/F$ | small | large | large |
| $L/F$ | large | large | small |
Effect of Payload Dynamics
<<sec:uniaxial_payload_dynamics>>
Introduction
Up to this section, the sample was modeled as a mass rigidly fixed to the nano-hexapod (as shown in Figure ref:fig:uniaxial_paylaod_dynamics_rigid_schematic). However, such a sample may present internal dynamics, and its fixation to the nano-hexapod may have limited stiffness. To study the effect of the sample dynamics, the models shown in Figure ref:fig:uniaxial_paylaod_dynamics_schematic are used.
Impact on plant dynamics
<<ssec:uniaxial_payload_dynamics_effect_dynamics>>
To study the impact of the flexibility between the nano-hexapod and the payload, a first (reference) model with a rigid payload, as shown in Figure ref:fig:uniaxial_paylaod_dynamics_rigid_schematic is used. Then "flexible" payload whose model is shown in Figure ref:fig:uniaxial_paylaod_dynamics_schematic are considered. The resonances of the payload are set at $\omega_s = 20\,\text{Hz}$ and at $\omega_s = 200\,\text{Hz}$ while its mass is either $m_s = 1\,\text{kg}$ or $m_s = 50\,\text{kg}$.
The transfer functions from the nano-hexapod force $f$ to the motion of the nano-hexapod top platform are computed for all the above configurations and are compared for a soft Nano-Hexapod ($k_n = 0.01\,N/\mu m$) in Figure ref:fig:uniaxial_payload_dynamics_soft_nano_hexapod. It can be seen that the mode of the sample adds an anti-resonance followed by a resonance (zero/pole pattern). The frequency of the anti-resonance corresponds to the "free" resonance of the sample $\omega_s = \sqrt{k_s/m_s}$. The flexibility of the sample also changes the high frequency gain (the mass line is shifted from $\frac{1}{(m_n + m_s)s^2}$ to $\frac{1}{m_ns^2}$).
The same transfer functions are now compared when using a stiff nano-hexapod ($k_n = 100\,N/\mu m$) in Figure ref:fig:uniaxial_payload_dynamics_stiff_nano_hexapod. In this case, the sample's resonance $\omega_s$ is smaller than the nano-hexapod resonance $\omega_n$. This changes the zero/pole pattern to a pole/zero pattern (the frequency of the zero still being equal to $\omega_s$). Even though the added sample's flexibility still shifts the high frequency mass line as for the soft nano-hexapod, the dynamics below the nano-hexapod resonance is much less impacted, even when the sample mass is high and when the sample resonance is at low frequency (see yellow curve in Figure ref:fig:uniaxial_payload_dynamics_stiff_nano_hexapod_heavy).
Impact on close loop performances
<<ssec:uniaxial_payload_dynamics_effect_stability>>
Having a flexibility between the measured position (i.e., the top platform of the nano-hexapod) and the point-of-interest to be positioned relative to the x-ray may also impact the closed-loop performance (i.e., the remaining sample's vibration).
To estimate whether the sample flexibility is critical for the closed-loop position stability of the sample, the model shown in Figure ref:fig:uniaxial_sample_flexibility_control is used. This is the same model that was used in Section ref:sec:uniaxial_position_control but with an added flexibility between the nano-hexapod and the sample (considered sample modes are at $\omega_s = 20\,\text{Hz}$ and $\omega_n = 200\,\text{Hz}$). In this case, the measured (i.e., controlled) distance $d$ is no longer equal to the real performance index (the distance $y$).

The system dynamics is computed and IFF is applied using the same gains as those used in Section ref:sec:uniaxial_active_damping. Due to the collocation between the nano-hexapod and the force sensor used for IFF, the damped plants are still stable and similar damping values are obtained than when considering a rigid sample. The High Authority Controllers used in Section ref:sec:uniaxial_position_control are then implemented on the damped plants. The obtained closed-loop systems are stable, indicating good robustness.
Finally, closed-loop noise budgeting is computed for the obtained closed-loop system, and the cumulative amplitude spectrum of $d$ and $y$ are shown in Figure ref:fig:uniaxial_sample_flexibility_noise_budget_y. The cumulative amplitude spectrum of the measured distance $d$ (Figure ref:fig:uniaxial_sample_flexibility_noise_budget_d) shows that the added flexibility at the sample location has very little effect on the control performance. However, the cumulative amplitude spectrum of the distance $y$ (Figure ref:fig:uniaxial_sample_flexibility_noise_budget_y) shows that the stability of $y$ is degraded when the sample flexibility is considered and is degraded as $\omega_s$ is lowered.
What happens is that above $\omega_s$, even though the motion $d$ can be controlled perfectly, the sample's mass is "isolated" from the motion of the nano-hexapod and the control on $y$ is not effective.
Conclusion
Payload dynamics is usually a major concern when designing a positioning system. In this section, the impact of the sample dynamics on the plant was found to vary with the sample mass and the relative resonance frequency of the sample $\omega_s$ and of the nano-hexapod $\omega_n$. The larger the sample mass, the larger the effect (i.e., change of high frequency gain, appearance of additional resonances and anti-resonances). A zero/pole pattern is observed if $\omega_s > \omega_n$ and a pole/zero pattern if $\omega_s > \omega_n$. Such additional dynamics can induce stability issues depending on their position relative to the desired feedback bandwidth, as explained in cite:&rankers98_machin Section 4.2. The general conclusion is that the stiffer the nano-hexapod, the less it is impacted by the payload's dynamics, which would make the feedback controller more robust to a change of payload. This is why high-bandwidth soft positioning stages are usually restricted to constant and calibrated payloads (CD-player, lithography machines, isolation system for gravitational wave detectors, …), whereas stiff positioning systems are usually used when the control must be robust to a change of payload's mass (stiff piezo nano-positioning stages for instance).
Having some flexibility between the measurement point and the point of interest (i.e., the sample point to be position on the x-ray) also degrades the position stability as shown in Section ref:ssec:uniaxial_payload_dynamics_effect_stability. Therefore, it is important to take special care when designing sampling environments, especially if a soft nano-hexapod is used.
Conclusion
<<sec:uniaxial_conclusion>>
In this study, a uniaxial model of the nano-active-stabilization-system was tuned from both dynamical measurements (Section ref:sec:uniaxial_micro_station_model) and from disturbances measurements (Section ref:sec:uniaxial_disturbances).
Three active damping techniques can be used to critically damp the nano-hexapod resonances (Section ref:sec:uniaxial_active_damping). However, this model does not allow the determination of which one is most suited to this application (a comparison of the three active damping techniques is done in Table ref:tab:comp_active_damping).
Position feedback controllers have been developed for three considered nano-hexapod stiffnesses (Section ref:sec:uniaxial_position_control). These controllers were shown to be robust to the change of sample's masses, and to provide good rejection of disturbances. Having a soft nano-hexapod makes the plant dynamics easier to control (because its dynamics is decoupled from the micro-station dynamics, see Section ref:sec:uniaxial_support_compliance) and requires less position feedback bandwidth to fulfill the requirements. The moderately stiff nano-hexapod ($k_n = 1\,N/\mu m$) is requiring a higher feedback bandwidth, but still gives acceptable results. However, the stiff nano-hexapod is the most complex to control and gives the worst positioning performance.
Effect of Rotation
<<sec:rotating>>
Introduction
An important aspect of the acrfull:nass is that the nano-hexapod continuously rotates around a vertical axis, whereas the external metrology is not. Such rotation induces gyroscopic effects that may impact the system dynamics and obtained performance. To study these effects, a model of a rotating suspended platform is first presented (Section ref:sec:rotating_system_description) This model is simple enough to be able to derive its dynamics analytically and to understand its behavior, while still allowing the capture of important physical effects in play.
acrfull:iff is then applied to the rotating platform, and it is shown that the unconditional stability of acrshort:iff is lost due to the gyroscopic effects induced by the rotation (Section ref:sec:rotating_iff_pure_int). Two modifications of the Integral Force Feedback are then proposed. The first modification involves adding a high-pass filter to the acrshort:iff controller (Section ref:sec:rotating_iff_pseudo_int). It is shown that the acrshort:iff controller is stable for some gain values, and that damping can be added to the suspension modes. The optimal high-pass filter cut-off frequency is computed. The second modification consists of adding a stiffness in parallel to the force sensors (Section ref:sec:rotating_iff_parallel_stiffness). Under certain conditions, the unconditional stability of the IFF controller is regained. The optimal parallel stiffness is then computed. This study of adapting acrshort:iff for the damping of rotating platforms has been the subject of two published papers cite:&dehaeze20_activ_dampin_rotat_platf_integ_force_feedb;&dehaeze21_activ_dampin_rotat_platf_using.
It is then shown that acrfull:rdc is less affected by gyroscopic effects (Section ref:sec:rotating_relative_damp_control). Once the optimal control parameters for the three tested active damping techniques are obtained, they are compared in terms of achievable damping, damped plant and closed-loop compliance and transmissibility (Section ref:sec:rotating_comp_act_damp).
The previous analysis was applied to three considered nano-hexapod stiffnesses ($k_n = 0.01\,N/\mu m$, $k_n = 1\,N/\mu m$ and $k_n = 100\,N/\mu m$) and the optimal active damping controller was obtained in each case (Section ref:sec:rotating_nano_hexapod). Up until this section, the study was performed on a very simplistic model that only captures the rotation aspect, and the model parameters were not tuned to correspond to the NASS. In the last section (Section ref:sec:rotating_nass), a model of the micro-station is added below the suspended platform (i.e. the nano-hexapod) with a rotating spindle and parameters tuned to match the NASS dynamics. The goal is to determine whether the rotation imposes performance limitation on the NASS.
System Description and Analysis
<<sec:rotating_system_description>>
Introduction
The system used to study gyroscopic effects consists of a 2 degree of freedom translation stage on top of a rotating stage (Figure ref:fig:rotating_3dof_model_schematic). The rotating stage is supposed to be ideal, meaning it induces a perfect rotation $\theta(t) = \Omega t$ where $\Omega$ is the rotational speed in $\si{\radian\per\s}$. The suspended platform consists of two orthogonal actuators, each represented by three elements in parallel: a spring with a stiffness $k$ in $\si{\newton\per\meter}$, a dashpot with a damping coefficient $c$ in $\si{\newton\per(\meter\per\second)}$ and an ideal force source $F_u, F_v$. A payload with a mass $m$ in $\si{\kilo\gram}$, is mounted on the (rotating) suspended platform. Two reference frames are used: an inertial frame $(\vec{i}_x, \vec{i}_y, \vec{i}_z)$ and a uniform rotating frame $(\vec{i}_u, \vec{i}_v, \vec{i}_w)$ rigidly fixed on top of the rotating stage with $\vec{i}_w$ aligned with the rotation axis. The position of the payload is represented by $(d_u, d_v, 0)$ expressed in the rotating frame. After the dynamics of this system is studied, the objective will be to dampen the two suspension modes of the payload while the rotating stage performs a constant rotation.
Equations of motion and transfer functions
To obtain the equations of motion for the system represented in Figure ref:fig:rotating_3dof_model_schematic, the Lagrangian equation eqref:eq:rotating_lagrangian_equations is used. $L = T - V$ is the Lagrangian, $T$ the kinetic coenergy, $V$ the potential energy, $D$ the dissipation function, and $Q_i$ the generalized force associated with the generalized variable $\begin{bmatrix}q_1 & q_2\end{bmatrix} = \begin{bmatrix}d_u & d_v\end{bmatrix}$. These terms are derived in eqref:eq:rotating_energy_functions_lagrange. Note that the equation of motion corresponding to constant rotation along $\vec{i}_w$ is disregarded because this motion is imposed by the rotation stage.
\begin{equation}\label{eq:rotating_lagrangian_equations} \frac{d}{dt} ≤ft( \frac{∂ L}{∂ \dot{q}_i} \right) + \frac{∂ D}{∂ \dot{q}_i} - \frac{∂ L}{∂ q_i} = Q_i
\end{equation}
\begin{equation} \label{eq:rotating_energy_functions_lagrange}
\begin{aligned} T &= \frac{1}{2} m \left( ( \dot{d}_u - \Omega d_v )^2 + ( \dot{d}_v + \Omega d_u )^2 \right), \quad Q_1 = F_u, \quad Q_2 = F_v, \\ V &= \frac{1}{2} k \big( {d_u}^2 + {d_v}^2 \big), \quad D = \frac{1}{2} c \big( \dot{d}_u{}^2 + \dot{d}_v{}^2 \big) \end{aligned}\end{equation}
Substituting equations eqref:eq:rotating_energy_functions_lagrange into equation eqref:eq:rotating_lagrangian_equations for both generalized coordinates gives two coupled differential equations eqref:eq:rotating_eom_coupled_1 and eqref:eq:rotating_eom_coupled_2.
\begin{subequations} \label{eq:rotating_eom_coupled}
\begin{align} m \ddot{d}_u + c \dot{d}_u + ( k - m \Omega^2 ) d_u &= F_u + 2 m \Omega \dot{d}_v \label{eq:rotating_eom_coupled_1} \\ m \ddot{d}_v + c \dot{d}_v + ( k \underbrace{-\,m \Omega^2}_{\text{Centrif.}} ) d_v &= F_v \underbrace{-\,2 m \Omega \dot{d}_u}_{\text{Coriolis}} \label{eq:rotating_eom_coupled_2} \end{align}\end{subequations}
The uniform rotation of the system induces two gyroscopic effects as shown in equation eqref:eq:rotating_eom_coupled:
- Centrifugal forces: that can be seen as an added negative stiffness $- m \Omega^2$ along $\vec{i}_u$ and $\vec{i}_v$
- Coriolis forces: that adds coupling between the two orthogonal directions.
One can verify that without rotation ($\Omega = 0$), the system becomes equivalent to two uncoupled one degree of freedom mass-spring-damper systems.
To study the dynamics of the system, the two differential equations of motions eqref:eq:rotating_eom_coupled are converted into the Laplace domain and the $2 \times 2$ transfer function matrix $\bm{G}_d$ from $\begin{bmatrix}F_u & F_v\end{bmatrix}$ to $\begin{bmatrix}d_u & d_v\end{bmatrix}$ in equation eqref:eq:rotating_Gd_mimo_tf is obtained. The four transfer functions in $\bm{G}_d$ are shown in equation eqref:eq:rotating_Gd_indiv_el.
\begin{equation}\label{eq:rotating_Gd_mimo_tf} \begin{bmatrix} d_u \\ d_v \end{bmatrix} = \bm{G}_d \begin{bmatrix} F_u \\ F_v \end{bmatrix} = \bm{G}_d \begin{bmatrix} F_u \\ F_v \end{bmatrix}
\end{equation}
\begin{subequations}\label{eq:rotating_Gd_indiv_el}
\begin{align} \bm{G}_{d}(1,1) &= \bm{G}_{d}(2,2) = \frac{ms^2 + cs + k - m \Omega^2}{\left( m s^2 + cs + k - m \Omega^2 \right)^2 + \left( 2 m \Omega s \right)^2} \\ \bm{G}_{d}(1,2) &= -\bm{G}_{d}(2,1) = \frac{2 m \Omega s}{\left( m s^2 + cs + k - m \Omega^2 \right)^2 + \left( 2 m \Omega s \right)^2} \end{align}\end{subequations}
To simplify the analysis, the undamped natural frequency $\omega_0$ and the damping ratio $\xi$ defined in eqref:eq:rotating_xi_and_omega are used instead. The elements of the transfer function matrix $\bm{G}_d$ are described by equation eqref:eq:rotating_Gd_w0_xi_k. \begin{equation} \label{eq:rotating_xi_and_omega} ω_0 = \sqrt{\frac{k}{m}} \text{ in } \si{\radian\persecond}, \quad ξ = \frac{c}{2 \sqrt{k m}}
\end{equation}
\begin{subequations} \label{eq:rotating_Gd_w0_xi_k}
\begin{align} \bm{G}_{d}(1,1) &= \frac{\frac{1}{k} \left( \frac{s^2}{{\omega_0}^2} + 2 \xi \frac{s}{\omega_0} + 1 - \frac{{\Omega}^2}{{\omega_0}^2} \right)}{\left( \frac{s^2}{{\omega_0}^2} + 2 \xi \frac{s}{\omega_0} + 1 - \frac{{\Omega}^2}{{\omega_0}^2} \right)^2 + \left( 2 \frac{\Omega}{\omega_0} \frac{s}{\omega_0} \right)^2} \\ \bm{G}_{d}(1,2) &= \frac{\frac{1}{k} \left( 2 \frac{\Omega}{\omega_0} \frac{s}{\omega_0} \right)}{\left( \frac{s^2}{{\omega_0}^2} + 2 \xi \frac{s}{\omega_0} + 1 - \frac{{\Omega}^2}{{\omega_0}^2} \right)^2 + \left( 2 \frac{\Omega}{\omega_0} \frac{s}{\omega_0} \right)^2} \end{align}\end{subequations}
System Poles: Campbell Diagram
The poles of $\bm{G}_d$ are the complex solutions $p$ of equation eqref:eq:rotating_poles (i.e. the roots of its denominator).
\begin{equation}\label{eq:rotating_poles} ≤ft( \frac{p^2}{{ω_0}^2} + 2 ξ \frac{p}{ω_0} + 1 - \frac{{Ω}^2}{{ω_0}^2} \right)^2 + ≤ft( 2 \frac{Ω}{ω_0} \frac{p}{ω_0} \right)^2 = 0
\end{equation}
Supposing small damping ($\xi \ll 1$), two pairs of complex conjugate poles $[p_{+}, p_{-}]$ are obtained as shown in equation eqref:eq:rotating_pole_values.
\begin{subequations} \label{eq:rotating_pole_values}
\begin{align} p_{+} &= - \xi \omega_0 \left( 1 + \frac{\Omega}{\omega_0} \right) \pm j \omega_0 \left( 1 + \frac{\Omega}{\omega_0} \right) \\ p_{-} &= - \xi \omega_0 \left( 1 - \frac{\Omega}{\omega_0} \right) \pm j \omega_0 \left( 1 - \frac{\Omega}{\omega_0} \right) \end{align}\end{subequations}
The real and complex parts of these two pairs of complex conjugate poles are represented in Figure ref:fig:rotating_campbell_diagram as a function of the rotational speed $\Omega$. As the rotational speed increases, $p_{+}$ goes to higher frequencies and $p_{-}$ goes to lower frequencies (Figure ref:fig:rotating_campbell_diagram_imag). The system becomes unstable for $\Omega > \omega_0$ as the real part of $p_{-}$ is positive (Figure ref:fig:rotating_campbell_diagram_real). Physically, the negative stiffness term $-m\Omega^2$ induced by centrifugal forces exceeds the spring stiffness $k$.
System Dynamics: Effect of rotation
The system dynamics from actuator forces $[F_u, F_v]$ to the relative motion $[d_u, d_v]$ is identified for several rotating velocities. Looking at the transfer function matrix $\bm{G}_d$ in equation eqref:eq:rotating_Gd_w0_xi_k, one can see that the two diagonal (direct) terms are equal and that the two off-diagonal (coupling) terms are opposite. The bode plots of these two terms are shown in Figure ref:fig:rotating_bode_plot for several rotational speeds $\Omega$. These plots confirm the expected behavior: the frequencies of the two pairs of complex conjugate poles are further separated as $\Omega$ increases. For $\Omega > \omega_0$, the low-frequency pair of complex conjugate poles $p_{-}$ becomes unstable (shown be the 180 degrees phase lead instead of phase lag).
Integral Force Feedback
<<sec:rotating_iff_pure_int>>
Introduction
The goal is now to damp the two suspension modes of the payload using an active damping strategy while the rotating stage performs a constant rotation. As was explained with the uniaxial model, such an active damping strategy is key to both reducing the magnification of the response in the vicinity of the resonances cite:collette11_review_activ_vibrat_isolat_strat and to make the plant easier to control for the high authority controller.
Many active damping techniques have been developed over the years, such as Positive Position Feedback (PPF) cite:lin06_distur_atten_precis_hexap_point,fanson90_posit_posit_feedb_contr_large_space_struc, Integral Force Feedback (IFF) cite:preumont91_activ and Direct Velocity Feedback (DVF) cite:karnopp74_vibrat_contr_using_semi_activ_force_gener,serrand00_multic_feedb_contr_isolat_base_excit_vibrat,preumont02_force_feedb_versus_accel_feedb. In cite:&preumont91_activ, the IFF control scheme has been proposed, where a force sensor, a force actuator, and an integral controller are used to increase the damping of a mechanical system. When the force sensor is collocated with the actuator, the open-loop transfer function has alternating poles and zeros, which guarantees the stability of the closed-loop system cite:preumont02_force_feedb_versus_accel_feedb. It was later shown that this property holds for multiple collated actuator/sensor pairs cite:preumont08_trans_zeros_struc_contr_with.
The main advantages of IFF over other active damping techniques are the guaranteed stability even in the presence of flexible dynamics, good performance, and robustness properties cite:preumont02_force_feedb_versus_accel_feedb.
Several improvements to the classical IFF have been proposed, such as adding a feed-through term to increase the achievable damping cite:teo15_optim_integ_force_feedb_activ_vibrat_contr or adding a high-pass filter to recover the loss of compliance at low-frequency cite:chesne16_enhan_dampin_flexib_struc_using_force_feedb. Recently, an $\mathcal{H}_\infty$ optimization criterion has been used to derive optimal gains for the IFF controller cite:zhao19_optim_integ_force_feedb_contr. \par
However, none of these studies have been applied to rotating systems. In this section, the acrshort:iff strategy is applied on the rotating suspended platform, and it is shown that gyroscopic effects alter the system dynamics and that IFF cannot be applied as is.
System and Equations of motion
To apply Integral Force Feedback, two force sensors are added in series with the actuators (Figure ref:fig:rotating_3dof_model_schematic_iff). Two identical controllers $K_F$ described by eqref:eq:rotating_iff_controller are then used to feedback each of the sensed force to its associated actuator.
\begin{equation}\label{eq:rotating_iff_controller} KF(s) = g ⋅ \frac{1}{s}
\end{equation}
The forces $\begin{bmatrix}f_u & f_v\end{bmatrix}$ measured by the two force sensors represented in Figure ref:fig:rotating_3dof_model_schematic_iff are described by equation eqref:eq:rotating_measured_force.
\begin{equation}\label{eq:rotating_measured_force} \begin{bmatrix} f_{u} \\ f_{v} \end{bmatrix} = \begin{bmatrix} F_u \\ F_v \end{bmatrix} - (c s + k) \begin{bmatrix} d_u \\ d_v \end{bmatrix} = \begin{bmatrix} F_u \\ F_v \end{bmatrix} - (c s + k) \begin{bmatrix} d_u \\ d_v \end{bmatrix} - (c s + k) \begin{bmatrix} d_u \\ d_v \end{bmatrix}
\end{equation}
The transfer function matrix $\bm{G}_{f}$ from actuator forces to measured forces in equation eqref:eq:rotating_Gf_mimo_tf can be obtained by inserting equation eqref:eq:rotating_Gd_w0_xi_k into equation eqref:eq:rotating_measured_force. Its elements are shown in equation eqref:eq:rotating_Gf.
\begin{equation}\label{eq:rotating_Gf_mimo_tf} \begin{bmatrix} f_{u} \\ f_{v} \end{bmatrix} = \bm{G}_{f} \begin{bmatrix} F_u \\ F_v \end{bmatrix} = \bm{G}f \begin{bmatrix} F_u \\ F_v \end{bmatrix}
\end{equation}
\begin{subequations}\label{eq:rotating_Gf}
\begin{align} \bm{G}_{f}(1,1) &= \bm{G}_{f}(2,2) = \frac{\left( \frac{s^2}{{\omega_0}^2} - \frac{\Omega^2}{{\omega_0}^2} \right) \left( \frac{s^2}{{\omega_0}^2} + 2 \xi \frac{s}{\omega_0} + 1 - \frac{{\Omega}^2}{{\omega_0}^2} \right) + \left( 2 \frac{\Omega}{\omega_0} \frac{s}{\omega_0} \right)^2}{\left( \frac{s^2}{{\omega_0}^2} + 2 \xi \frac{s}{\omega_0} + 1 - \frac{{\Omega}^2}{{\omega_0}^2} \right)^2 + \left( 2 \frac{\Omega}{\omega_0} \frac{s}{\omega_0} \right)^2} \label{eq:rotating_Gf_diag_tf} \\ \bm{G}_{f}(1,2) &= -\bm{G}_{f}(2,1) = \frac{- \left( 2 \xi \frac{s}{\omega_0} + 1 \right) \left( 2 \frac{\Omega}{\omega_0} \frac{s}{\omega_0} \right)}{\left( \frac{s^2}{{\omega_0}^2} + 2 \xi \frac{s}{\omega_0} + 1 - \frac{{\Omega}^2}{{\omega_0}^2} \right)^2 + \left( 2 \frac{\Omega}{\omega_0} \frac{s}{\omega_0} \right)^2} \label{eq:rotating_Gf_off_diag_tf} \end{align}\end{subequations}
The zeros of the diagonal terms of $\bm{G}_f$ in equation eqref:eq:rotating_Gf_diag_tf are computed, and neglecting the damping for simplicity, two complex conjugated zeros $z_{c}$ eqref:eq:rotating_iff_zero_cc, and two real zeros $z_{r}$ eqref:eq:rotating_iff_zero_real are obtained.
\begin{subequations} \begin{align} z_c &= \pm j \omega_0 \sqrt{\frac{1}{2} \sqrt{8 \frac{\Omega^2}{{\omega_0}^2} + 1} + \frac{\Omega^2}{{\omega_0}^2} + \frac{1}{2} } \label{eq:rotating_iff_zero_cc} \\ z_r &= \pm \omega_0 \sqrt{\frac{1}{2} \sqrt{8 \frac{\Omega^2}{{\omega_0}^2} + 1} - \frac{\Omega^2}{{\omega_0}^2} - \frac{1}{2} } \label{eq:rotating_iff_zero_real} \end{align} \end{subequations}It is interesting to see that the frequency of the pair of complex conjugate zeros $z_c$ in equation eqref:eq:rotating_iff_zero_cc always lies between the frequency of the two pairs of complex conjugate poles $p_{-}$ and $p_{+}$ in equation eqref:eq:rotating_pole_values. This is what usually gives the unconditional stability of IFF when collocated force sensors are used.
However, for non-null rotational speeds, the two real zeros $z_r$ in equation eqref:eq:rotating_iff_zero_real are inducing a non-minimum phase behavior. This can be seen in the Bode plot of the diagonal terms (Figure ref:fig:rotating_iff_bode_plot_effect_rot) where the low-frequency gain is no longer zero while the phase stays at $\SI{180}{\degree}$.
The low-frequency gain of $\bm{G}_f$ increases with the rotational speed $\Omega$ as shown in equation eqref:eq:rotating_low_freq_gain_iff_plan. This can be explained as follows: a constant actuator force $F_u$ induces a small displacement of the mass $d_u = \frac{F_u}{k - m\Omega^2}$ (Hooke's law considering the negative stiffness induced by the rotation). This small displacement then increases the centrifugal force $m\Omega^2d_u = \frac{\Omega^2}{{\omega_0}^2 - \Omega^2} F_u$ which is then measured by the force sensors.
\begin{equation}\label{eq:rotating_low_freq_gain_iff_plan}
limω → 0 ≤ft| \bm{G}_f (jω) \right| = \begin{bmatrix}
\frac{Ω^2}{{ω_0}^2 - Ω^2} & 0
0 & \frac{Ω^2}{{ω_0}^2 - Ω^2}
\end{bmatrix}
\end{equation}
Effect of rotation speed on IFF plant dynamics
The transfer functions from actuator forces $[F_u,\ F_v]$ to the measured force sensors $[f_u,\ f_v]$ are identified for several rotating velocities and are shown in Figure ref:fig:rotating_iff_bode_plot_effect_rot. As expected from the derived equations of motion:
- when $\Omega < \omega_0$: the low-frequency gain is no longer zero and two (non-minimum phase) real zeros appear at low-frequencies. The low-frequency gain increases with $\Omega$. A pair of (minimum phase) complex conjugate zeros appears between the two complex conjugate poles, which are split further apart as $\Omega$ increases.
- when $\omega_0 < \Omega$: the low-frequency pole becomes unstable.
Decentralized Integral Force Feedback
The control diagram for decentralized acrshort:iff is shown in Figure ref:fig:rotating_iff_diagram. The decentralized acrshort:iff controller $\bm{K}_F$ corresponds to a diagonal controller with integrators eqref:eq:rotating_Kf_pure_int.
\begin{equation} \label{eq:rotating_Kf_pure_int}
\begin{aligned} \bm{K}_{F}(s) &= \begin{bmatrix} K_{F}(s) & 0 \\ 0 & K_{F}(s) \end{bmatrix} \\ K_{F}(s) &= g \cdot \frac{1}{s} \end{aligned}\end{equation}
To determine how the acrshort:iff controller affects the poles of the closed-loop system, a Root Locus plot (Figure ref:fig:rotating_root_locus_iff_pure_int) is constructed as follows: the poles of the closed-loop system are drawn in the complex plane as the controller gain $g$ varies from $0$ to $\infty$ for the two controllers $K_{F}$ simultaneously. As explained in cite:preumont08_trans_zeros_struc_contr_with,skogestad07_multiv_feedb_contr, the closed-loop poles start at the open-loop poles (shown by crosses) for $g = 0$ and coincide with the transmission zeros (shown by circles) as $g \to \infty$.
Whereas collocated IFF is usually associated with unconditional stability cite:preumont91_activ, this property is lost due to gyroscopic effects as soon as the rotation velocity becomes non-null. This can be seen in the Root Locus plot (Figure ref:fig:rotating_root_locus_iff_pure_int) where poles corresponding to the controller are bound to the right half plane implying closed-loop system instability. Physically, this can be explained as follows: at low frequencies, the loop gain is huge due to the pure integrator in $K_{F}$ and the finite gain of the plant (Figure ref:fig:rotating_iff_bode_plot_effect_rot). The control system is thus cancels the spring forces, which makes the suspended platform not capable to hold the payload against centrifugal forces, hence the instability.
Integral Force Feedback with a High-Pass Filter
<<sec:rotating_iff_pseudo_int>>
Introduction
As explained in the previous section, the instability of the IFF controller applied to the rotating system is due to the high gain of the integrator at low-frequency. To limit the low-frequency controller gain, a acrfull:hpf can be added to the controller, as shown in equation eqref:eq:rotating_iff_lhf. This is equivalent to slightly shifting the controller pole to the left along the real axis. This modification of the IFF controller is typically performed to avoid saturation associated with the pure integrator cite:preumont91_activ,marneffe07_activ_passiv_vibrat_isolat_dampin_shunt_trans. This is however not the reason why this high-pass filter is added here.
\begin{equation}\label{eq:rotating_iff_lhf} \boxed{KF(s) = g ⋅ \frac{1}{s} ⋅ _brace{\frac{s/ω_i}{1 + s/ω_i}}_{\text{HPF}} = g ⋅ \frac{1}{s + ω_i}}
\end{equation}
Modified Integral Force Feedback Controller
The Integral Force Feedback Controller is modified such that instead of using pure integrators, pseudo integrators (i.e. low pass filters) are used eqref:eq:rotating_iff_lhf where $\omega_i$ characterize the frequency down to which the signal is integrated. The loop gains ($K_F(s)$ times the direct dynamics $f_u/F_u$) with and without the added HPF are shown in Figure ref:fig:rotating_iff_modified_loop_gain. The effect of the added HPF limits the low-frequency gain to finite values as expected.
The Root Locus plots for the decentralized acrshort:iff with and without the acrshort:hpf are displayed in Figure ref:fig:rotating_iff_root_locus_hpf_large. With the added acrshort:hpf, the poles of the closed-loop system are shown to be stable up to some value of the gain $g_\text{max}$ given by equation eqref:eq:rotating_gmax_iff_hpf. It is interesting to note that $g_{\text{max}}$ also corresponds to the controller gain at which the low-frequency loop gain reaches one (for instance the gain $g$ can be increased by a factor $5$ in Figure ref:fig:rotating_iff_modified_loop_gain before the system becomes unstable).
\begin{equation}\label{eq:rotating_gmax_iff_hpf} \boxed{g_{\text{max}} = ω_i ≤ft( \frac{{ω_0}^2}{Ω^2} - 1 \right)}
\end{equation}
Optimal IFF with HPF parameters $\omega_i$ and $g$
Two parameters can be tuned for the modified controller in equation eqref:eq:rotating_iff_lhf: the gain $g$ and the pole's location $\omega_i$. The optimal values of $\omega_i$ and $g$ are considered here as the values for which the damping of all the closed-loop poles is simultaneously maximized.
To visualize how $\omega_i$ does affect the attainable damping, the Root Locus plots for several $\omega_i$ are displayed in Figure ref:fig:rotating_root_locus_iff_modified_effect_wi. It is shown that even though small $\omega_i$ seem to allow more damping to be added to the suspension modes (see Root locus in Figure ref:fig:rotating_root_locus_iff_modified_effect_wi), the control gain $g$ may be limited to small values due to equation eqref:eq:rotating_gmax_iff_hpf. To study this trade-off, the attainable closed-loop damping ratio $\xi_{\text{cl}}$ is computed as a function of $\omega_i/\omega_0$. The gain $g_{\text{opt}}$ at which this maximum damping is obtained is also displayed and compared with the gain $g_{\text{max}}$ at which the system becomes unstable (Figure ref:fig:rotating_iff_hpf_optimal_gain).
For small values of $\omega_i$, the added damping is limited by the maximum allowed control gain $g_{\text{max}}$ (red curve and dashed red curve superimposed in Figure ref:fig:rotating_iff_hpf_optimal_gain) at which point the pole corresponding to the controller becomes unstable. For larger values of $\omega_i$, the attainable damping ratio decreases as a function of $\omega_i$ as was predicted from the root locus plot of Figure ref:fig:rotating_iff_root_locus_hpf_large.
Obtained Damped Plant
To study how the parameter $\omega_i$ affects the damped plant, the obtained damped plants for several $\omega_i$ are compared in Figure ref:fig:rotating_iff_hpf_damped_plant_effect_wi_plant. It can be seen that the low-frequency coupling increases as $\omega_i$ increases. Therefore, there is a trade-off between achievable damping and added coupling when tuning $\omega_i$. The same trade-off can be seen between achievable damping and loss of compliance at low-frequency (see Figure ref:fig:rotating_iff_hpf_effect_wi_compliance).
IFF with a stiffness in parallel with the force sensor
<<sec:rotating_iff_parallel_stiffness>>
Introduction
In this section it is proposed to add springs in parallel with the force sensors to counteract the negative stiffness induced by the gyroscopic effects. Such springs are schematically shown in Figure ref:fig:rotating_3dof_model_schematic_iff_parallel_springs where $k_a$ is the stiffness of the actuator and $k_p$ the added stiffness in parallel with the actuator and force sensor.
Equations
The forces measured by the two force sensors represented in Figure ref:fig:rotating_3dof_model_schematic_iff_parallel_springs are described by eqref:eq:rotating_measured_force_kp.
\begin{equation}\label{eq:rotating_measured_force_kp} \begin{bmatrix} f_{u} \\ f_{v} \end{bmatrix} = \begin{bmatrix} F_u \\ F_v \end{bmatrix} - (c s + k_a) \begin{bmatrix} d_u \\ d_v \end{bmatrix} = \begin{bmatrix} F_u \\ F_v \end{bmatrix} - (c s + k_a) \begin{bmatrix} d_u \\ d_v \end{bmatrix} - (c s + k_a) \begin{bmatrix} d_u \\ d_v \end{bmatrix}
\end{equation}
To keep the overall stiffness $k = k_a + k_p$ constant, thus not modifying the open-loop poles as $k_p$ is changed, a scalar parameter $\alpha$ ($0 \le \alpha < 1$) is defined to describe the fraction of the total stiffness in parallel with the actuator and force sensor as in eqref:eq:rotating_kp_alpha.
\begin{equation}\label{eq:rotating_kp_alpha} k_p = α k, \quad k_a = (1 - α) k
\end{equation}
After the equations of motion are derived and transformed in the Laplace domain, the transfer function matrix $\bm{G}_k$ in Eq. eqref:eq:rotating_Gk_mimo_tf is computed. Its elements are shown in Eqs. eqref:eq:rotating_Gk_diag and eqref:eq:rotating_Gk_off_diag.
\begin{equation}\label{eq:rotating_Gk_mimo_tf} \begin{bmatrix} f_u \\ f_v \end{bmatrix} = \bm{G}_k \begin{bmatrix} F_u \\ F_v \end{bmatrix} = \bm{G}_k \begin{bmatrix} F_u \\ F_v \end{bmatrix}
\end{equation}
\begin{subequations}\label{eq:rotating_Gk}
\begin{align} \bm{G}_{k}(1,1) &= \bm{G}_{k}(2,2) = \frac{\big( \frac{s^2}{{\omega_0}^2} - \frac{\Omega^2}{{\omega_0}^2} + \alpha \big) \big( \frac{s^2}{{\omega_0}^2} + 2 \xi \frac{s}{\omega_0} + 1 - \frac{{\Omega}^2}{{\omega_0}^2} \big) + \big( 2 \frac{\Omega}{\omega_0} \frac{s}{\omega_0} \big)^2}{\big( \frac{s^2}{{\omega_0}^2} + 2 \xi \frac{s}{\omega_0} + 1 - \frac{{\Omega}^2}{{\omega_0}^2} \big)^2 + \big( 2 \frac{\Omega}{\omega_0} \frac{s}{\omega_0} \big)^2} \label{eq:rotating_Gk_diag} \\ \bm{G}_{k}(1,2) &= -\bm{G}_{k}(2,1) = \frac{- \left( 2 \xi \frac{s}{\omega_0} + 1 - \alpha \right) \left( 2 \frac{\Omega}{\omega_0} \frac{s}{\omega_0} \right)}{\left( \frac{s^2}{{\omega_0}^2} + 2 \xi \frac{s}{\omega_0} + 1 - \frac{{\Omega}^2}{{\omega_0}^2} \right)^2 + \left( 2 \frac{\Omega}{\omega_0} \frac{s}{\omega_0} \right)^2} \label{eq:rotating_Gk_off_diag} \end{align}\end{subequations}
Comparing $\bm{G}_k$ in eqref:eq:rotating_Gk with $\bm{G}_f$ in eqref:eq:rotating_Gf shows that while the poles of the system remain the same, the zeros of the diagonal terms change. The two real zeros $z_r$ in eqref:eq:rotating_iff_zero_real that were inducing a non-minimum phase behavior are transformed into two complex conjugate zeros if the condition in eqref:eq:rotating_kp_cond_cc_zeros holds. Thus, if the added parallel stiffness $k_p$ is higher than the negative stiffness induced by centrifugal forces $m \Omega^2$, the dynamics from the actuator to its collocated force sensor will show minimum phase behavior.
\begin{equation}\label{eq:rotating_kp_cond_cc_zeros} \boxed{α > \frac{Ω^2}{{ω_0}^2} \quad ⇔ \quad k_p > m Ω^2}
\end{equation}
Effect of parallel stiffness on the IFF plant
The IFF plant (transfer function from $[F_u, F_v]$ to $[f_u, f_v]$) is identified without parallel stiffness $k_p = 0$, with a small parallel stiffness $k_p < m \Omega^2$ and with a large parallel stiffness $k_p > m \Omega^2$. Bode plots of the obtained dynamics are shown in Figure ref:fig:rotating_iff_effect_kp. The two real zeros for $k_p < m \Omega^2$ are transformed into two complex conjugate zeros for $k_p > m \Omega^2$. In that case, the system shows alternating complex conjugate poles and zeros as what is the case in the non-rotating case.
Figure ref:fig:rotating_iff_kp_root_locus shows the Root Locus plots for $k_p = 0$, $k_p < m \Omega^2$ and $k_p > m \Omega^2$ when $K_F$ is a pure integrator, as shown in Eq. eqref:eq:rotating_Kf_pure_int. It is shown that if the added stiffness is higher than the maximum negative stiffness, the poles of the closed-loop system are bounded on the (stable) left half-plane, and hence the unconditional stability of acrshort:iff is recovered.
Effect of $k_p$ on the attainable damping
Even though the parallel stiffness $k_p$ has no impact on the open-loop poles (as the overall stiffness $k$ is kept constant), it has a large impact on the transmission zeros. Moreover, as the attainable damping is generally proportional to the distance between poles and zeros cite:preumont18_vibrat_contr_activ_struc_fourt_edition, the parallel stiffness $k_p$ is expected to have some impact on the attainable damping. To study this effect, Root Locus plots for several parallel stiffnesses $k_p > m \Omega^2$ are shown in Figure ref:fig:rotating_iff_kp_root_locus_effect_kp. The frequencies of the transmission zeros of the system increase with an increase in the parallel stiffness $k_p$ (thus getting closer to the poles), and the associated attainable damping is reduced. Therefore, even though the parallel stiffness $k_p$ should be larger than $m \Omega^2$ for stability reasons, it should not be taken too large as this would limit the attainable damping. This is confirmed by the Figure ref:fig:rotating_iff_kp_optimal_gain where the attainable closed-loop damping ratio $\xi_{\text{cl}}$ and the associated optimal control gain $g_\text{opt}$ are computed as a function of the parallel stiffness.
Damped plant
The parallel stiffness are chosen to be $k_p = 2 m \Omega^2$ and the damped plant is computed. The damped and undamped transfer functions from $F_u$ to $d_u$ are compared in Figure ref:fig:rotating_iff_kp_added_hpf_damped_plant. Even though the two resonances are well damped, the IFF changes the low-frequency behavior of the plant, which is usually not desired. This is because "pure" integrators are used which are inducing large low-frequency loop gains.
To lower the low-frequency gain, a high-pass filter is added to the IFF controller (which is equivalent as shifting the controller pole to the left in the complex plane):
\begin{equation} K_{\text{IFF}}(s) = g\frac{1}{\omega_i + s} \begin{bmatrix} 1 & 0 \\ 0 & 1 \end{bmatrix} \end{equation}To determine how the high-pass filter impacts the attainable damping, the controller gain $g$ is kept constant while $\omega_i$ is changed, and the minimum damping ratio of the damped plant is computed. The obtained damping ratio as a function of $\omega_i/\omega_0$ (where $\omega_0$ is the resonance of the system without rotation) is shown in Figure ref:fig:rotating_iff_kp_added_hpf_effect_damping. It is shown that the attainable damping ratio reduces as $\omega_i$ is increased (same conclusion than in Section ref:sec:rotating_iff_pseudo_int). Let's choose $\omega_i = 0.1 \cdot \omega_0$ and compare the obtained damped plant again with the undamped and with the "pure" IFF in Figure ref:fig:rotating_iff_kp_added_hpf_damped_plant. The added high-pass filter gives almost the same damping properties to the suspension while exhibiting good low-frequency behavior.
#+caption:Effect of high-pass filter cut-off frequency on the obtained damping
Relative Damping Control
<<sec:rotating_relative_damp_control>>
Introduction
To apply a "Relative Damping Control" strategy, relative motion sensors are added in parallel with the actuators as shown in Figure ref:fig:rotating_3dof_model_schematic_rdc. Two controllers $K_d$ are used to feed back the relative motion to the actuator. These controllers are in principle pure derivators ($K_d = s$), but to be implemented in practice they are usually replaced by a high-pass filter eqref:eq:rotating_rdc_controller.
\begin{equation}\label{eq:rotating_rdc_controller} K_d(s) = g ⋅ \frac{s}{s + ω_d}
\end{equation}
Equations of motion
Let's note $\bm{G}_d$ the transfer function between actuator forces and measured relative motion in parallel with the actuators eqref:eq:rotating_rdc_plant_matrix. The elements of $\bm{G}_d$ were derived in Section ref:sec:rotating_system_description are shown in eqref:eq:rotating_rdc_plant_elements.
\begin{equation}\label{eq:rotating_rdc_plant_matrix} \begin{bmatrix} d_u \\ d_v \end{bmatrix} = \bm{G}_d \begin{bmatrix} F_u \\ F_v \end{bmatrix} = \bm{G}_d \begin{bmatrix} F_u \\ F_v \end{bmatrix}
\end{equation}
\begin{subequations}\label{eq:rotating_rdc_plant_elements}
\begin{align} \bm{G}_{d}(1,1) &= \bm{G}_{d}(2,2) = \frac{\frac{1}{k} \left( \frac{s^2}{{\omega_0}^2} + 2 \xi \frac{s}{\omega_0} + 1 - \frac{{\Omega}^2}{{\omega_0}^2} \right)}{\left( \frac{s^2}{{\omega_0}^2} + 2 \xi \frac{s}{\omega_0} + 1 - \frac{{\Omega}^2}{{\omega_0}^2} \right)^2 + \left( 2 \frac{\Omega}{\omega_0} \frac{s}{\omega_0} \right)^2} \\ \bm{G}_{d}(1,2) &= -\bm{G}_{d}(2,1) = \frac{\frac{1}{k} \left( 2 \frac{\Omega}{\omega_0} \frac{s}{\omega_0} \right)}{\left( \frac{s^2}{{\omega_0}^2} + 2 \xi \frac{s}{\omega_0} + 1 - \frac{{\Omega}^2}{{\omega_0}^2} \right)^2 + \left( 2 \frac{\Omega}{\omega_0} \frac{s}{\omega_0} \right)^2} \end{align}\end{subequations}
Neglecting the damping for simplicity ($\xi \ll 1$), the direct terms have two complex conjugate zeros between the two pairs of complex conjugate poles eqref:eq:rotating_rdc_zeros_poles. Therefore, for $\Omega < \sqrt{k/m}$ (i.e. stable system), the transfer functions for Relative Damping Control have alternating complex conjugate poles and zeros.
\begin{equation}\label{eq:rotating_rdc_zeros_poles} z = ± j \sqrt{ω_0^2 - ω^2}, \quad p_1 = ± j (ω_0 - ω), \quad p_2 = ± j (ω_0 + ω)
\end{equation}
Decentralized Relative Damping Control
The transfer functions from $[F_u,\ F_v]$ to $[d_u,\ d_v]$ were identified for several rotating velocities in Section ref:sec:rotating_system_description and are shown in Figure ref:fig:rotating_bode_plot (page pageref:fig:rotating_bode_plot).
To see if large damping can be added with Relative Damping Control, the root locus is computed (Figure ref:fig:rotating_rdc_root_locus). The closed-loop system is unconditionally stable as expected and the poles can be damped as much as desired.
Let us select a reasonable "Relative Damping Control" gain, and compute the closed-loop damped system. The open-loop and damped plants are compared in Figure ref:fig:rotating_rdc_damped_plant. The rotating aspect does not add any complexity to the use of Relative Damping Control. It does not increase the low-frequency coupling as compared to the Integral Force Feedback.
Comparison of Active Damping Techniques
<<sec:rotating_comp_act_damp>>
Introduction
These two proposed IFF modifications and relative damping control are compared in terms of added damping and closed-loop behavior. For the following comparisons, the cut-off frequency for the added HPF is set to $\omega_i = 0.1 \omega_0$ and the stiffness of the parallel springs is set to $k_p = 5 m \Omega^2$ (corresponding to $\alpha = 0.05$). These values are chosen one the basis of previous discussions about optimal parameters.
Root Locus
Figure ref:fig:rotating_comp_techniques_root_locus shows the Root Locus plots for the two proposed IFF modifications and the relative damping control. While the two pairs of complex conjugate open-loop poles are identical for both IFF modifications, the transmission zeros are not. This means that the closed-loop behavior of both systems will differ when large control gains are used.
The closed-loop poles corresponding to the system with added springs (in red) are bounded to the left half plane implying unconditional stability. This is not the case for the system in which the controller is augmented with an HPF (in blue). It is interesting to note that the maximum added damping is very similar for both modified IFF techniques.
Obtained Damped Plant
The actively damped plants are computed for the three techniques and compared in Figure ref:fig:rotating_comp_techniques_dampled_plants. It is shown that while the diagonal (direct) terms of the damped plants are similar for the three active damping techniques, the off-diagonal (coupling) terms are not. The acrshort:iff strategy is adding some coupling at low-frequency, which may negatively impact the positioning performance.
Transmissibility And Compliance
The proposed active damping techniques are now compared in terms of closed-loop transmissibility and compliance. The transmissibility is defined as the transfer function from the displacement of the rotating stage along $\vec{i}_x$ to the displacement of the payload along the same direction. It is used to characterize the amount of vibration is transmitted through the suspended platform to the payload. The compliance describes the displacement response of the payload to the external forces applied to it. This is a useful metric when disturbances are directly applied to the payload. Here, it is defined as the transfer function from external forces applied on the payload along $\vec{i}_x$ to the displacement of the payload along the same direction.
Very similar results were obtained for the two proposed IFF modifications in terms of transmissibility and compliance (Figure ref:fig:rotating_comp_techniques_trans_compliance). Using IFF degrades the compliance at low frequencies, whereas using relative damping control degrades the transmissibility at high frequencies. This is very well known characteristics of these common active damping techniques that hold when applied to rotating platforms.
Rotating Nano-Hexapod
<<sec:rotating_nano_hexapod>>
Introduction
The previous analysis is now applied to a model representing a rotating nano-hexapod. Three nano-hexapod stiffnesses are tested as for the uniaxial model: $k_n = \SI{0.01}{\N\per\mu\m}$, $k_n = \SI{1}{\N\per\mu\m}$ and $k_n = \SI{100}{\N\per\mu\m}$. Only the maximum rotating velocity is here considered ($\Omega = \SI{60}{rpm}$) with the light sample ($m_s = \SI{1}{kg}$) because this is the worst identified case scenario in terms of gyroscopic effects.
Nano-Active-Stabilization-System - Plant Dynamics
For the NASS, the maximum rotating velocity is $\Omega = \SI[parse-numbers=false]{2\pi}{\radian\per\s}$ for a suspended mass on top of the nano-hexapod's actuators equal to $m_n + m_s = \SI{16}{\kilo\gram}$. The parallel stiffness corresponding to the centrifugal forces is $m \Omega^2 \approx \SI{0.6}{\newton\per\mm}$.
The transfer functions from the nano-hexapod actuator force $F_u$ to the displacement of the nano-hexapod in the same direction $d_u$ as well as in the orthogonal direction $d_v$ (coupling) are shown in Figure ref:fig:rotating_nano_hexapod_dynamics for all three considered nano-hexapod stiffnesses. The soft nano-hexapod is the most affected by rotation. This can be seen by the large shift of the resonance frequencies, and by the induced coupling, which is larger than that for the stiffer nano-hexapods. The coupling (or interaction) in a MIMO $2 \times 2$ system can be visually estimated as the ratio between the diagonal term and the off-diagonal terms (see corresponding Appendix).
Optimal IFF with a High-Pass Filter
Integral Force Feedback with an added high-pass filter is applied to the three nano-hexapods. First, the parameters ($\omega_i$ and $g$) of the IFF controller that yield the best simultaneous damping are determined from Figure ref:fig:rotating_iff_hpf_nass_optimal_gain. The IFF parameters are chosen as follows:
- for $k_n = \SI{0.01}{\N\per\mu\m}$ (Figure ref:fig:rotating_iff_hpf_nass_optimal_gain): $\omega_i$ is chosen such that maximum damping is achieved while the gain is less than half of the maximum gain at which the system is unstable. This is done to have some control robustness.
- for $k_n = \SI{1}{\N\per\mu\m}$ and $k_n = \SI{100}{\N\per\mu\m}$ (Figure ref:fig:rotating_iff_hpf_nass_optimal_gain_md and ref:fig:rotating_iff_hpf_nass_optimal_gain_pz): the largest $\omega_i$ is chosen such that the obtained damping is $\SI{95}{\percent}$ of the maximum achievable damping. Large $\omega_i$ is chosen here to limit the loss of compliance and the increase of coupling at low-frequency as shown in Section ref:sec:rotating_iff_pseudo_int.
The obtained IFF parameters and the achievable damping are visually shown by large dots in Figure ref:fig:rotating_iff_hpf_nass_optimal_gain and are summarized in Table ref:tab:rotating_iff_hpf_opt_iff_hpf_params_nass.
| $k_n$ | $\omega_i$ | $g$ | $\xi_\text{opt}$ |
|---|---|---|---|
| $0.01\,N/\mu m$ | 7.3 | 51 | 0.45 |
| $1\,N/\mu m$ | 39 | 427 | 0.93 |
| $100\,N/\mu m$ | 500 | 3775 | 0.94 |
Optimal IFF with Parallel Stiffness
For each considered nano-hexapod stiffness, the parallel stiffness $k_p$ is varied from $k_{p,\text{min}} = m\Omega^2$ (the minimum stiffness that yields unconditional stability) to $k_{p,\text{max}} = k_n$ (the total nano-hexapod stiffness). To keep the overall stiffness constant, the actuator stiffness $k_a$ is decreased when $k_p$ is increased ($k_a = k_n - k_p$, with $k_n$ the total nano-hexapod stiffness). A high-pass filter is also added to limit the low-frequency gain with a cut-off frequency $\omega_i$ equal to one tenth of the system resonance ($\omega_i = \omega_0/10$).
The achievable maximum simultaneous damping of all the modes is computed as a function of the parallel stiffnesses (Figure ref:fig:rotating_iff_kp_nass_optimal_gain). It is shown that the soft nano-hexapod cannot yield good damping because the parallel stiffness cannot be sufficiently large compared to the negative stiffness induced by the rotation. For the two stiff options, the achievable damping decreases when the parallel stiffness is too high, as explained in Section ref:sec:rotating_iff_parallel_stiffness. Such behavior can be explained by the fact that the achievable damping can be approximated by the distance between the open-loop pole and the open-loop zero cite:&preumont18_vibrat_contr_activ_struc_fourt_edition chapt 7.2. This distance is larger for stiff nano-hexapod because the open-loop pole will be at higher frequencies while the open-loop zero, whereas depends on the value of the parallel stiffness, can only be made large for stiff nano-hexapods.
Let's choose $k_p = 1\,N/mm$, $k_p = 0.01\,N/\mu m$ and $k_p = 1\,N/\mu m$ for the three considered nano-hexapods. The corresponding optimal controller gains and achievable damping are summarized in Table ref:tab:rotating_iff_kp_opt_iff_kp_params_nass.
\hfill
| $k_n$ | $k_p$ | $g$ | $\xi_{\text{opt}}$ |
|---|---|---|---|
| $0.01\,N/\mu m$ | $1\,N/mm$ | 47.9 | 0.44 |
| $1\,N/\mu m$ | $0.01\,N/\mu m$ | 465.57 | 0.97 |
| $100\,N/\mu m$ | $1\,N/\mu m$ | 4624.25 | 0.99 |
Optimal Relative Motion Control
For each considered nano-hexapod stiffness, relative damping control is applied and the achievable damping ratio as a function of the controller gain is computed (Figure ref:fig:rotating_rdc_optimal_gain). The gain is chosen such that 99% of modal damping is obtained (obtained gains are summarized in Table ref:tab:rotating_rdc_opt_params_nass).
\hfill
| $k_n$ | $g$ | $\xi_{\text{opt}}$ |
|---|---|---|
| $0.01\,N/\mu m$ | 1600 | 0.99 |
| $1\,N/\mu m$ | 8200 | 0.99 |
| $100\,N/\mu m$ | 80000 | 0.99 |
Comparison of the obtained damped plants
Now that the optimal parameters for the three considered active damping techniques have been determined, the obtained damped plants are computed and compared in Figure ref:fig:rotating_nass_damped_plant_comp.
Similar to what was concluded in the previous analysis:
- acrshort:iff adds more coupling below the resonance frequency as compared to the open-loop and acrshort:rdc cases
- All three methods yield good damping, except for acrshort:iff applied on the soft nano-hexapod
- Coupling is smaller for stiff nano-hexapods
Nano-Active-Stabilization-System with rotation
<<sec:rotating_nass>>
Introduction
Until now, the model used to study gyroscopic effects consisted of an infinitely stiff rotating stage with a X-Y suspended stage on top. While quite simplistic, this allowed us to study the effects of rotation and the associated limitations when active damping is to be applied. In this section, the limited compliance of the micro-station is considered as well as the rotation of the spindle.
Nano Active Stabilization System model
To have a more realistic dynamics model of the NASS, the 2-DoF nano-hexapod (modeled as shown in Figure ref:fig:rotating_3dof_model_schematic) is now located on top of a model of the micro-station including (see Figure ref:fig:rotating_nass_model for a 3D view):
- the floor whose motion is imposed
- a 2-DoF granite ($k_{g,x} = k_{g,y} = \SI{950}{\N\per\mu\m}$, $m_g = \SI{2500}{\kg}$)
- a 2-DoF $T_y$ stage ($k_{t,x} = k_{t,y} = \SI{520}{\N\per\mu\m}$, $m_t = \SI{600}{\kg}$)
- a spindle (vertical rotation) stage whose rotation is imposed ($m_s = \SI{600}{\kg}$)
- a 2-DoF micro-hexapod ($k_{h,x} = k_{h,y} = \SI{61}{\N\per\mu\m}$, $m_h = \SI{15}{\kg}$)
A payload is rigidly fixed to the nano-hexapod and the $x,y$ motion of the payload is measured with respect to the granite.
System dynamics
The dynamics of the undamped and damped plants are identified using the optimal parameters found in Section ref:sec:rotating_nano_hexapod. The obtained dynamics are compared in Figure ref:fig:rotating_nass_plant_comp_stiffness in which the direct terms are shown by the solid curves and the coupling terms are shown by the shaded ones. It can be observed that:
- The coupling (quantified by the ratio between the off-diagonal and direct terms) is higher for the soft nano-hexapod
- Damping added using the three proposed techniques is quite high, and the obtained plant is rather easy to control
- There is some coupling between nano-hexapod and micro-station dynamics for the stiff nano-hexapod (mode at 200Hz)
- The two proposed IFF modifications yield similar results
Effect of disturbances
The effect of three disturbances are considered (as for the uniaxial model), floor motion $[x_{f,x},\ x_{f,y}]$ (Figure ref:fig:rotating_nass_effect_floor_motion), micro-Station vibrations $[f_{t,x},\ f_{t,y}]$ (Figure ref:fig:rotating_nass_effect_stage_vibration) and direct forces applied on the sample $[f_{s,x},\ f_{s,y}]$ (Figure ref:fig:rotating_nass_effect_direct_forces). Note that only the transfer functions from the disturbances in the $x$ direction to the relative position $d_x$ between the sample and the granite in the $x$ direction are displayed because the transfer functions in the $y$ direction are the same due to the system symmetry.
Conclusions are similar than those of the uniaxial (non-rotating) model:
-
Regarding the effect of floor motion and forces applied on the payload:
- The stiffer, the better. This can be seen in Figures ref:fig:rotating_nass_effect_floor_motion and ref:fig:rotating_nass_effect_direct_forces where the magnitudes for the stiff hexapod are lower than those for the soft one
- acrshort:iff degrades the performance at low-frequency compared to acrshort:rdc
-
Regarding the effect of micro-station vibrations:
- Having a soft nano-hexapod allows filtering of these vibrations between the suspension modes of the nano-hexapod and some flexible modes of the micro-station. Using relative damping control reduces this filtering (Figure ref:fig:rotating_nass_effect_stage_vibration_vc).
Conclusion
In this study, the gyroscopic effects induced by the spindle's rotation have been studied using a simplified model. Decentralized acrlong:iff with pure integrators was shown to be unstable when applied to rotating platforms. Two modifications of the classical acrshort:iff control have been proposed to overcome this issue.
The first modification concerns the controller and consists of adding a high-pass filter to the pure integrators. This is equivalent to moving the controller pole to the left along the real axis. This allows the closed-loop system to be stable up to some value of the controller gain.
The second proposed modification concerns the mechanical system. Additional springs are added in parallel with the actuators and force sensors. It was shown that if the stiffness $k_p$ of the additional springs is larger than the negative stiffness $m \Omega^2$ induced by centrifugal forces, the classical decentralized acrshort:iff regains its unconditional stability property.
These two modifications were compared with acrlong:rdc. While having very different implementations, both proposed modifications were found to be very similar with respect to the attainable damping and the obtained closed-loop system behavior.
This study has been applied to a rotating platform that corresponds to the nano-hexapod parameters. As for the uniaxial model, three nano-hexapod stiffnesses values were considered. The dynamics of the soft nano-hexapod ($k_n = 0.01\,N/\mu m$) was shown to be more depend more on the rotation velocity (higher coupling and change of dynamics due to gyroscopic effects). In addition, the attainable damping ratio of the soft nano-hexapod when using acrshort:iff is limited by gyroscopic effects.
To be closer to the acrlong:nass dynamics, the limited compliance of the micro-station has been considered. Results are similar to those of the uniaxial model except that come complexity is added for the soft nano-hexapod due to the spindle's rotation. For the moderately stiff nano-hexapod ($k_n = 1\,N/\mu m$), the gyroscopic effects only slightly affect the system dynamics, and therefore could represent a good alternative to the soft nano-hexapod that showed better results with the uniaxial model.
Micro Station - Modal Analysis
<<sec:modal>>
Introduction
To further improve the accuracy of the performance predictions, a model that better represents the micro-station dynamics is required. A multi-body model consisting of several rigid bodies connected by kinematic constraints (i.e. joints), springs and damper elements is a good candidate to model the micro-station.
Although the inertia of each solid body can easily be estimated from its geometry and material density, it is more difficult to properly estimate the stiffness and damping properties of the guiding elements connecting each solid body. Experimental modal analysis will be used to tune the model, and to verify that a multi-body model can accurately represent the dynamics of the micro-station.
The tuning approach for the multi-body model based on measurements is illustrated in Figure ref:fig:modal_vibration_analysis_procedure. First, a response model is obtained, which corresponds to a set of frequency response functions computed from experimental measurements. From this response model, the modal model can be computed, which consists of two matrices: one containing the natural frequencies and damping factors of the considered modes, and another describing the mode shapes. This modal model can then be used to tune the spatial model (i.e. the multi-body model), that is, to tune the mass of the considered solid bodies and the springs and dampers connecting the solid bodies.

The measurement setup used to obtain the response model is described in Section ref:sec:modal_meas_setup. This includes the instrumentation used (i.e. instrumented hammer, accelerometers and acquisition system), test planing, and a first analysis of the obtained signals.
In Section ref:sec:modal_frf_processing, the obtained frequency response functions between the forces applied by the instrumented hammer and the accelerometers fixed to the structure are computed. These measurements are projected at the center of mass of each considered solid body to facilitate the further use of the results. The solid body assumption is then verified, validating the use of the multi-body model.
Finally, the modal analysis is performed in Section ref:sec:modal_analysis. This shows how complex the micro-station dynamics is, and the necessity of having a model representing its complex dynamics.
Measurement Setup
<<sec:modal_meas_setup>>
Introduction
In order to perform an experimental modal analysis, a suitable measurement setup is essential. This includes using appropriate instrumentation (presented in Section ref:ssec:modal_instrumentation) and properly preparing the structure to be measured (Section ref:ssec:modal_test_preparation). Then, the locations of the measured motions (Section ref:ssec:modal_accelerometers) and the locations of the hammer impacts (Section ref:ssec:modal_hammer_impacts) have to be chosen carefully. The obtained force and acceleration signals are described in Section ref:ssec:modal_measured_signals, and the quality of the measured data is assessed.
Instrumentation
<<ssec:modal_instrumentation>>
Three types of equipment are essential for a good modal analysis. First, accelerometers are used to measure the response of the structure. Here, 3-axis accelerometers4 shown in figure ref:fig:modal_accelero_M393B05 are used. These accelerometers were glued to the micro-station using a thin layer of wax for best results cite:&ewins00_modal chapt. 3.5.7.
Then, an instrumented hammer5 (figure ref:fig:modal_instrumented_hammer) is used to apply forces to the structure in a controlled manner. Tests were conducted to determine the most suitable hammer tip (ranging from a metallic one to a soft plastic one). The softer tip was found to give best results as it injects more energy in the low-frequency range where the coherence was low, such that the overall coherence was improved.
Finally, an acquisition system6 (figure ref:fig:modal_oros) is used to acquire the injected force and response accelerations in a synchronized manner and with sufficiently low noise.
Structure Preparation and Test Planing
<<ssec:modal_test_preparation>>
To obtain meaningful results, the modal analysis of the micro-station is performed in-situ. To do so, all the micro-station stage controllers are turned on. This is especially important for stages for which the stiffness is provided by local feedback control, such as the air bearing spindle, and the translation stage. If these local feedback controls were turned off, this would have resulted in very low-frequency modes that were difficult to measure in practice, and it would also have led to decoupled dynamics, which would not be the case in practice.
The top part representing the active stabilization stage was disassembled as the active stabilization stage will be added in the multi-body model afterwards.
To perform the modal analysis from the measured responses, the $n \times n$ frequency response function matrix $\bm{H}$ needs to be measured, where $n$ is the considered number of degrees of freedom. The $H_{jk}$ element of this acrfull:frf matrix corresponds to the frequency response function from a force $F_k$ applied at acrfull:dof $k$ to the displacement of the structure $X_j$ at acrshort:dof $j$. Measuring this acrshort:frf matrix is time consuming as it requires to make $n \times n$ measurements. However, due to the principle of reciprocity ($H_{jk} = H_{kj}$) and using the point measurement ($H_{jj}$), it is possible to reconstruct the full matrix by measuring only one column or one line of the matrix $\bm{H}$ cite:&ewins00_modal chapt. 5.2. Therefore, a minimum set of $n$ frequency response functions is required. This can be done either by measuring the response $X_{j}$ at a fixed acrshort:dof $j$ while applying forces $F_{i}$ at all $n$ considered acrshort:dof, or by applying a force $F_{k}$ at a fixed acrshort:dof $k$ and measuring the response $X_{i}$ for all $n$ acrshort:dof.
It is however not advised to measure only one row or one column, as one or more modes may be missed by an unfortunate choice of force or acceleration measurement location (for instance if the force is applied at a vibration node of a particular mode). In this modal analysis, it is chosen to measure the response of the structure at all considered acrshort:dof, and to excite the structure at one location in three directions in order to have some redundancy, and to ensure that all modes are properly identified.
Location of the Accelerometers
<<ssec:modal_accelerometers>>
The location of the accelerometers fixed to the micro-station is essential because it defines where the dynamics is measured. A total of 23 accelerometers were fixed to the six key stages of the micro station: the lower and upper granites, the translation stage, the tilt stage, the spindle and the micro hexapod. The positions of the accelerometers are visually shown on a CAD model in Figure ref:fig:modal_location_accelerometers and their precise locations with respect to a frame located at the point of interest are summarized in Table ref:tab:modal_position_accelerometers. Pictures of the accelerometers fixed to the translation stage and to the micro-hexapod are shown in Figure ref:fig:modal_accelerometer_pictures.
As all key stages of the micro-station are expected to behave as solid bodies, only 6 acrshort:dof can be considered for each solid body. However, it was chosen to use four 3-axis accelerometers (i.e. 12 measured acrshort:dof) for each considered solid body to have some redundancy and to be able to verify the solid body assumption (see Section ref:ssec:modal_solid_body_assumption).
\hfill
| $x$ | $y$ | $z$ | |
|---|---|---|---|
| (17) Low. Granite | -730 | -526 | -951 |
| (18) Low. Granite | -735 | 814 | -951 |
| (19) Low. Granite | 875 | 799 | -951 |
| (20) Low. Granite | 865 | -506 | -951 |
| (13) Up. Granite | -320 | -446 | -786 |
| (14) Up. Granite | -480 | 534 | -786 |
| (15) Up. Granite | 450 | 534 | -786 |
| (16) Up. Granite | 295 | -481 | -786 |
| (9) Translation | -475 | -414 | -427 |
| (10) Translation | -465 | 407 | -427 |
| (11) Translation | 475 | 424 | -427 |
| (12) Translation | 475 | -419 | -427 |
| (5) Tilt | -385 | -300 | -417 |
| (6) Tilt | -420 | 280 | -417 |
| (7) Tilt | 420 | 280 | -417 |
| (8) Tilt | 380 | -300 | -417 |
| (21) Spindle | -155 | -90 | -594 |
| (22) Spindle | 0 | 180 | -594 |
| (23) Spindle | 155 | -90 | -594 |
| (1) Hexapod | -64 | -64 | -270 |
| (2) Hexapod | -64 | 64 | -270 |
| (3) Hexapod | 64 | 64 | -270 |
| (4) Hexapod | 64 | -64 | -270 |
Hammer Impacts
<<ssec:modal_hammer_impacts>>
The selected location of the hammer impact corresponds to the location of accelerometer number $11$ fixed to the translation stage. It was chosen to match the location of one accelerometer, because a point measurement (i.e. a measurement of $H_{kk}$) is necessary to be able to reconstruct the full acrshort:frf matrix cite:ewins00_modal.
The impacts were performed in three directions, as shown in figures ref:fig:modal_impact_x, ref:fig:modal_impact_y and ref:fig:modal_impact_z.
Force and Response signals
<<ssec:modal_measured_signals>>
The force sensor of the instrumented hammer and the accelerometer signals are shown in the time domain in Figure ref:fig:modal_raw_meas. Sharp "impacts" can be observed for the force sensor, indicating wide frequency band excitation. For the accelerometer, a much more complex signal can be observed, indicating complex dynamics.
The "normalized" acrfull:asd of the two signals were computed and shown in Figure ref:fig:modal_asd_acc_force. Conclusions based on the time domain signals can be clearly observed in the frequency domain (wide frequency content for the force signal and complex dynamics for the accelerometer). These data are corresponding to a hammer impact in the vertical direction and to the measured acceleration in the $x$ direction by accelerometer $1$ (fixed to the micro-hexapod). Similar results were obtained for all measured frequency response functions.
The frequency response function from the applied force to the measured acceleration is then computed and shown Figure ref:fig:modal_frf_acc_force. The quality of the obtained data can be estimated using the coherence function (Figure ref:fig:modal_coh_acc_force). Good coherence is obtained from $20\,\text{Hz}$ to $200\,\text{Hz}$ which corresponds to the frequency range of interest.
Frequency Analysis
<<sec:modal_frf_processing>>
Introduction
After all measurements are conducted, a $n \times p \times q$ acrlongpl:frf matrix can be computed with:
- $n = 69$: number of output measured acceleration (23 3-axis accelerometers)
- $p = 3$: number of input force excitation
- $q = 801$: number of frequency points $\omega_{i}$
For each frequency point $\omega_{i}$, a 2D complex matrix is obtained that links the 3 force inputs to the 69 output accelerations eqref:eq:modal_frf_matrix_raw.
\begin{equation}\label{eq:modal_frf_matrix_raw}
\bm{H}(ω_i) = \begin{bmatrix}
\frac{D1_x}{F_x}(ω_i) & \frac{D1_x}{F_y}(ω_i) & \frac{D1_x}{F_z}(ω_i)
\frac{D1_y}{F_x}(ω_i) & \frac{D1_y}{F_y}(ω_i) & \frac{D1_y}{F_z}(ω_i)
\frac{D1_z}{F_x}(ω_i) & \frac{D1_z}{F_y}(ω_i) & \frac{D1_z}{F_z}(ω_i)
\frac{D2_x}{F_x}(ω_i) & \frac{D2_x}{F_y}(ω_i) & \frac{D2_x}{F_z}(ω_i)
\vdots & \vdots & \vdots
\frac{D23_z}{F_x}(ω_i) & \frac{D23_z}{F_y}(ω_i) & \frac{D23_z}{F_z}(ω_i) \\
\end{bmatrix}
\end{equation}
However, for the multi-body model, only 6 solid bodies are considered, namely: the bottom granite, the top granite, the translation stage, the tilt stage, the spindle and the micro-hexapod. Therefore, only $6 \times 6 = 36$ degrees of freedom are of interest. Therefore, the objective of this section is to process the Frequency Response Matrix to reduce the number of measured acrshort:dof from 69 to 36.
The coordinate transformation from accelerometers acrshort:dof to the solid body 6 acrshortpl:dof (three translations and three rotations) is performed in Section ref:ssec:modal_acc_to_solid_dof. The $69 \times 3 \times 801$ frequency response matrix is then reduced to a $36 \times 3 \times 801$ frequency response matrix where the motion of each solid body is expressed with respect to its center of mass.
To validate this reduction of acrshort:dof and the solid body assumption, the frequency response function at the accelerometer location are "reconstructed" from the reduced frequency response matrix and are compared with the initial measurements in Section ref:ssec:modal_solid_body_assumption.
From accelerometer DOFs to solid body DOFs
<<ssec:modal_acc_to_solid_dof>>
Let us consider the schematic shown in Figure ref:fig:modal_local_to_global_coordinates where the motion of a solid body is measured at 4 distinct locations (in $x$, $y$ and $z$ directions). The goal here is to link these $4 \times 3 = 12$ measurements to the 6 acrshort:dof of the solid body expressed in the frame $\{O\}$.

The motion of the rigid body of figure ref:fig:modal_local_to_global_coordinates can be described by its displacement $\vec{\delta}p = [\delta p_x,\ \delta p_y,\ \delta p_z]$ and (small) rotations $[\delta \Omega_x,\ \delta \Omega_y,\ \delta \Omega_z]$ with respect to the reference frame $\{O\}$.
The motion $\vec{\delta} p_{i}$ of a point $p_i$ can be computed from $\vec{\delta} p$ and $\bm{\delta \Omega}$ using equation eqref:eq:modal_compute_point_response, with $\bm{\delta\Omega}$ defined in equation eqref:eq:modal_rotation_matrix cite:&ewins00_modal chapt. 4.3.2.
\begin{equation}\label{eq:modal_compute_point_response} \vec{δ} pi &= \vec{δ} p + \bm{δ Ω} ⋅ \vec{p}i \\
\end{equation}
\begin{equation}\label{eq:modal_rotation_matrix}
\bm{δΩ} = \begin{bmatrix}
0 & -δΩ_z & δΩ_y
δΩ_z & 0 & -δΩ_x
-δΩ_y & δΩ_x & 0
\end{bmatrix}
\end{equation}
Writing this in matrix form for the four points gives eqref:eq:modal_cart_to_acc.
\begin{equation}\label{eq:modal_cart_to_acc} ≤ft[\begin{array}{c} \delta p_{1x} \\ \delta p_{1y} \\ \delta p_{1z} \\\hline \vdots \\\hline \delta p_{4x} \\ \delta p_{4y} \\ \delta p_{4z} \end{array}\right] = \left[\begin{array}{ccc|ccc} 1 & 0 & 0 & 0 & p_{1z} & -p_{1y} \\ 0 & 1 & 0 & -p_{1z} & 0 & p_{1x} \\ 0 & 0 & 1 & p_{1y} & -p_{1x} & 0 \\ \hline & \vdots & & & \vdots & \\ \hline 1 & 0 & 0 & 0 & p_{4z} & -p_{4y} \\ 0 & 1 & 0 & -p_{4z} & 0 & p_{4x} \\ 0 & 0 & 1 & p_{4y} & -p_{4x} & 0 \end{array}\right] \left[\begin{array}{c} \delta p_x \\ \delta p_y \\ \delta p_z \\ \hline \delta\Omega_x \\ \delta\Omega_y \\ \delta\Omega_z \end{array}\right] = ≤ft[\begin{array}{ccc|ccc} 1 & 0 & 0 & 0 & p_{1z} & -p_{1y} \\ 0 & 1 & 0 & -p_{1z} & 0 & p_{1x} \\ 0 & 0 & 1 & p_{1y} & -p_{1x} & 0 \\ \hline & \vdots & & & \vdots & \\ \hline 1 & 0 & 0 & 0 & p_{4z} & -p_{4y} \\ 0 & 1 & 0 & -p_{4z} & 0 & p_{4x} \\ 0 & 0 & 1 & p_{4y} & -p_{4x} & 0 \end{array}\right] \left[\begin{array}{c} \delta p_x \\ \delta p_y \\ \delta p_z \\ \hline \delta\Omega_x \\ \delta\Omega_y \\ \delta\Omega_z \end{array}\right] ≤ft[\begin{array}{c} \delta p_x \\ \delta p_y \\ \delta p_z \\ \hline \delta\Omega_x \\ \delta\Omega_y \\ \delta\Omega_z \end{array}\right]
\end{equation}
Provided that the four sensors are properly located, the system of equation eqref:eq:modal_cart_to_acc can be solved by matrix inversion7. The motion of the solid body expressed in a chosen frame $\{O\}$ can be determined by inverting equation eqref:eq:modal_cart_to_acc. Note that this matrix inversion is equivalent to resolving a mean square problem. Therefore, having more accelerometers permits better approximation of the motion of a solid body.
From the CAD model, the position of the center of mass of each solid body is computed (see Table ref:tab:modal_com_solid_bodies). The position of each accelerometer with respect to the center of mass of the corresponding solid body can easily be determined.
| $X$ | $Y$ | $Z$ | |
|---|---|---|---|
| Bottom Granite | $45\,\text{mm}$ | $144\,\text{mm}$ | $-1251\,\text{mm}$ |
| Top granite | $52\,\text{mm}$ | $258\,\text{mm}$ | $-778\,\text{mm}$ |
| Translation stage | $0$ | $14\,\text{mm}$ | $-600\,\text{mm}$ |
| Tilt Stage | $0$ | $-5\,\text{mm}$ | $-628\,\text{mm}$ |
| Spindle | $0$ | $0$ | $-580\,\text{mm}$ |
| Hexapod | $-4\,\text{mm}$ | $6\,\text{mm}$ | $-319\,\text{mm}$ |
Using eqref:eq:modal_cart_to_acc, the frequency response matrix $\bm{H}_\text{CoM}$ eqref:eq:modal_frf_matrix_com expressing the response at the center of mass of each solid body $D_i$ ($i$ from $1$ to $6$ for the $6$ considered solid bodies) can be computed from the initial acrshort:frf matrix $\bm{H}$.
\begin{equation}\label{eq:modal_frf_matrix_com}
\bm{H}_\text{CoM}(ω_i) = \begin{bmatrix}
\frac{D1,T_x}{F_x}(ω_i) & \frac{D1,T_x}{F_y}(ω_i) & \frac{D1,T_x}{F_z}(ω_i)
\frac{D1,T_y}{F_x}(ω_i) & \frac{D1,T_y}{F_y}(ω_i) & \frac{D1,T_y}{F_z}(ω_i)
\frac{D1,T_z}{F_x}(ω_i) & \frac{D1,T_z}{F_y}(ω_i) & \frac{D1,T_z}{F_z}(ω_i)
\frac{D1,R_x}{F_x}(ω_i) & \frac{D1,R_x}{F_y}(ω_i) & \frac{D1,R_x}{F_z}(ω_i)
\frac{D1,R_y}{F_x}(ω_i) & \frac{D1,R_y}{F_y}(ω_i) & \frac{D1,R_y}{F_z}(ω_i)
\frac{D1,R_z}{F_x}(ω_i) & \frac{D1,R_z}{F_y}(ω_i) & \frac{D1,R_z}{F_z}(ω_i)
\frac{D2,T_x}{F_x}(ω_i) & \frac{D2,T_x}{F_y}(ω_i) & \frac{D2,T_x}{F_z}(ω_i)
\vdots & \vdots & \vdots
\frac{D6,R_z}{F_x}(ω_i) & \frac{D6,R_z}{F_y}(ω_i) & \frac{D6,R_z}{F_z}(ω_i)
\end{bmatrix}
\end{equation}
Verification of solid body assumption
<<ssec:modal_solid_body_assumption>>
From the response of one solid body expressed by its 6 acrshortpl:dof (i.e. from $\bm{H}_{\text{CoM}}$), and using equation eqref:eq:modal_cart_to_acc, it is possible to compute the response of the same solid body at any considered location. In particular, the responses at the locations of the four accelerometers can be computed and compared with the original measurements $\bm{H}$. This is what is done here to check whether the solid body assumption is correct in the frequency band of interest.
The comparison is made for the 4 accelerometers fixed on the micro-hexapod (Figure ref:fig:modal_comp_acc_solid_body_frf). The original frequency response functions and those computed from the CoM responses match well in the frequency range of interest. Similar results were obtained for the other solid bodies, indicating that the solid body assumption is valid and that a multi-body model can be used to represent the dynamics of the micro-station. This also validates the reduction in the number of degrees of freedom from 69 (23 accelerometers with each 3 acrshort:dof) to 36 (6 solid bodies with 6 acrshort:dof).
Modal Analysis
<<sec:modal_analysis>>
Introduction
The goal here is to extract the modal parameters describing the modes of the micro station being studied, namely, the natural frequencies and the modal damping (i.e. the eigenvalues) as well as the mode shapes (.i.e. the eigenvectors). This is performed from the acrshort:frf matrix previously extracted from the measurements.
In order to perform the modal parameter extraction, the order of the modal model has to be estimated (i.e. the number of modes in the frequency band of interest). This is achived using the acrfull:mif in section ref:ssec:modal_number_of_modes.
In section ref:ssec:modal_parameter_extraction, the modal parameter extraction is performed. The graphical display of the mode shapes can be computed from the modal model, which is quite useful for physical interpretation of the modes.
To validate the quality of the modal model, the full acrshort:frf matrix is computed from the modal model and compared to the initial measured acrshort:frf (section ref:ssec:modal_model_validity).
Number of modes determination
<<ssec:modal_number_of_modes>> The acrshort:mif is applied to the $n\times p$ acrshort:frf matrix where $n$ is a relatively large number of measurement DOFs (here $n=69$) and $p$ is the number of excitation DOFs (here $p=3$).
The complex modal indication function is defined in equation eqref:eq:modal_cmif where the diagonal matrix $\Sigma$ is obtained from a acrlong:svd of the acrshort:frf matrix as shown in equation eqref:eq:modal_svd. \begin{equation} \label{eq:modal_cmif} [CMIF(ω)]p× p = [Σ(ω)]p× n∫ercal [Σ(ω)]n× p
\end{equation}
\begin{equation} \label{eq:modal_svd} [H(ω)]n× p = [U(ω)]n× n [Σ(ω)]n× p [V(ω)]p× p^H
\end{equation}
The acrshort:mif therefore yields to $p$ values that are also frequency dependent. A peak in the acrshort:mif plot indicates the presence of a mode. Repeated modes can also be detected when multiple singular values have peaks at the same frequency. The obtained acrshort:mif is shown on Figure ref:fig:modal_indication_function. A total of 16 modes were found between 0 and $200\,\text{Hz}$. The obtained natural frequencies and associated modal damping are summarized in Table ref:tab:modal_obtained_modes_freqs_damps.
\hfill
| Mode | Frequency | Damping |
|---|---|---|
| 1 | $11.9\,\text{Hz}$ | $12.2\,\%$ |
| 2 | $18.6\,\text{Hz}$ | $11.7\,\%$ |
| 3 | $37.8\,\text{Hz}$ | $6.2\,\%$ |
| 4 | $39.1\,\text{Hz}$ | $2.8\,\%$ |
| 5 | $56.3\,\text{Hz}$ | $2.8\,\%$ |
| 6 | $69.8\,\text{Hz}$ | $4.3\,\%$ |
| 7 | $72.5\,\text{Hz}$ | $1.3\,\%$ |
| 8 | $84.8\,\text{Hz}$ | $3.7\,\%$ |
| 9 | $91.3\,\text{Hz}$ | $2.9\,\%$ |
| 10 | $105.5\,\text{Hz}$ | $3.2\,\%$ |
| 11 | $106.6\,\text{Hz}$ | $1.6\,\%$ |
| 12 | $112.7\,\text{Hz}$ | $3.1\,\%$ |
| 13 | $124.2\,\text{Hz}$ | $2.8\,\%$ |
| 14 | $145.3\,\text{Hz}$ | $1.3\,\%$ |
| 15 | $150.5\,\text{Hz}$ | $2.4\,\%$ |
| 16 | $165.4\,\text{Hz}$ | $1.4\,\%$ |
Modal parameter extraction
<<ssec:modal_parameter_extraction>>
Generally, modal identification is using curve-fitting a theoretical expression to the actual measured acrshort:frf data. However, there are multiple levels of complexity, from fitting of a single resonance, to fitting a complete curve encompassing several resonances and working on a set of many acrshort:frf plots all obtained from the same structure.
Here, the last method is used because it provides a unique and consistent model. It takes into account the fact that the properties of all individual curves are related by being from the same structure: all acrshort:frf plots on a given structure should indicate the same values for the natural frequencies and damping factor of each mode.
From the obtained modal parameters, the mode shapes are computed and can be displayed in the form of animations (three mode shapes are shown in Figure ref:fig:modal_mode_animations).
These animations are useful for visually obtaining a better understanding of the system's dynamic behavior. For instance, the mode shape of the first mode at $11\,\text{Hz}$ (figure ref:fig:modal_mode1_animation) indicates an issue with the lower granite. It turns out that four Airloc Levelers are used to level the lower granite (figure ref:fig:modal_airloc). These are difficult to adjust and can lead to a situation in which the granite is only supported by two of them; therefore, it has a low frequency "tilt mode". The levelers were then better adjusted.
The modal parameter extraction is made using a proprietary software8. For each mode $r$ (from $1$ to the number of considered modes $m=16$), it outputs the frequency $\omega_r$, the damping ratio $\xi_r$, the eigenvectors $\{\phi_{r}\}$ (vector of complex numbers with a size equal to the number of measured acrshort:dof $n=69$, see equation eqref:eq:modal_eigenvector) and a scaling factor $a_r$.
\begin{equation}\label{eq:modal_eigenvector} \{ɸ_i\} = \begin{Bmatrix} \phi_{i, 1_x} & \phi_{i, 1_y} & \phi_{i, 1_z} & \phi_{i, 2_x} & \dots & \phi_{i, 23_z} \end{Bmatrix}∫ercal
\end{equation}
The eigenvalues $s_r$ and $s_r^*$ can then be computed from equation eqref:eq:modal_eigenvalues.
\begin{equation}\label{eq:modal_eigenvalues} s_r = ω_r (-ξ_r + i \sqrt{1 - ξ_r^2}), \quad s_r^* = ω_r (-ξ_r - i \sqrt{1 - ξ_r^2})
\end{equation}
Verification of the modal model validity
<<ssec:modal_model_validity>>
To check the validity of the modal model, the complete $n \times n$ acrshort:frf matrix $\bm{H}_{\text{syn}}$ is first synthesized from the modal parameters. Then, the elements of this acrshort:frf matrix $\bm{H}_{\text{syn}}$ that were already measured can be compared to the measured acrshort:frf matrix $\bm{H}$.
In order to synthesize the full acrshort:frf matrix, the eigenvectors $\phi_r$ are first organized in matrix from as shown in equation eqref:eq:modal_eigvector_matrix. \begin{equation}\label{eq:modal_eigvector_matrix} \bm{Φ} = \begin{bmatrix} & & & & &\\ \phi_1 & \dots & \phi_N & \phi_1^* & \dots & \phi_N^* \\ & & & & & \end{bmatrix}n × 2m
\end{equation}
The full acrshort:frf matrix $\bm{H}_{\text{syn}}$ can be obtained using eqref:eq:modal_synthesized_frf.
\begin{equation}\label{eq:modal_synthesized_frf} ≤ft[\bm{H}_{\text{syn}}(ω)\right]n× n = ≤ft[\bm{Φ}\right]n×2m ≤ft[\bm{H}_{\text{mod}}(ω)\right]2m×2m ≤ft[\bm{Φ}\right]2m× n∫ercal
\end{equation}
With $\bm{H}_{\text{mod}}(\omega)$ a diagonal matrix representing the response of the different modes eqref:eq:modal_modal_resp. \begin{equation}\label{eq:modal_modal_resp} \bm{H}_{\text{mod}}(ω) = \text{diag}≤ft(\frac{1}{a_1 (jω - s_1)},\ …,\ \frac{1}{a_m (jω - s_m)}, \frac{1}{a_1^* (jω - s_1^*)},\ …,\ \frac{1}{a_m^* (jω - s_m^*)} \right)2m× 2m
\end{equation}
A comparison between original measured frequency response functions and synthesized ones from the modal model is presented in Figure ref:fig:modal_comp_acc_frf_modal. Whether the obtained match is good or bad is quite arbitrary. However, the modal model seems to be able to represent the coupling between different nodes and different directions, which is quite important from a control perspective. This can be seen in Figure ref:fig:modal_comp_acc_frf_modal_3 that shows the frequency response function from the force applied on node 11 (i.e. on the translation stage) in the $y$ direction to the measured acceleration at node $2$ (i.e. at the top of the micro-hexapod) in the $x$ direction.
Conclusion
<<sec:modal_conclusion>>
In this study, a modal analysis of the micro-station was performed. Thanks to an adequate choice of instrumentation and proper set of measurements, high quality frequency response functions can be obtained. The obtained frequency response functions indicate that the dynamics of the micro-station is complex, which is expected from a heavy stack stage architecture. It shows a lot of coupling between stages and different directions, and many modes.
By measuring 12 degrees of freedom on each "stage", it could be verified that in the frequency range of interest, each stage behaved as a rigid body. This confirms that a multi-body model can be used to properly model the micro-station.
Although a lot of effort was put into this experimental modal analysis of the micro-station, it was difficult to obtain an accurate modal model. However, the measurements are useful for tuning the parameters of the micro-station multi-body model.
Micro Station - Multi Body Model
<<sec:ustation>>
Introduction
From the start of this work, it became increasingly clear that an accurate micro-station model was necessary.
First, during the uniaxial study, it became clear that the micro-station dynamics affects the nano-hexapod dynamics. Then, using the 3-DoF rotating model, it was discovered that the rotation of the nano-hexapod induces gyroscopic effects that affect the system dynamics and should therefore be modeled. Finally, a modal analysis of the micro-station showed how complex the dynamics of the station is. The modal analysis also confirm that each stage behaves as a rigid body in the frequency range of interest. Therefore, a multi-body model is a good candidate to accurately represent the micro-station dynamics.
In this report, the development of such a multi-body model is presented.
First, each stage of the micro-station is described. The kinematics of the micro-station (i.e. how the motion of the stages are combined) is presented in Section ref:sec:ustation_kinematics.
Then, the multi-body model is presented and tuned to match the measured dynamics of the micro-station (Section ref:sec:ustation_modeling).
Disturbances affecting the positioning accuracy also need to be modeled properly. To do so, the effects of these disturbances were first measured experimental and then injected into the multi-body model (Section ref:sec:ustation_disturbances).
To validate the accuracy of the micro-station model, "real world" experiments are simulated and compared with measurements in Section ref:sec:ustation_experiments.
Micro-Station Kinematics
<<sec:ustation_kinematics>>
Introduction
The micro-station consists of 4 stacked positioning stages (Figure ref:fig:ustation_cad_view). From bottom to top, the stacked stages are the translation stage $D_y$, the tilt stage $R_y$, the rotation stage (Spindle) $R_z$ and the positioning hexapod. Such a stacked architecture allows high mobility, but the overall stiffness is reduced, and the dynamics is very complex.
There are different ways of modeling the stage dynamics in a multi-body model. The one chosen in this work consists of modeling each stage by two solid bodies connected by one 6-DoF joint. The stiffness and damping properties of the joint s can be tuned separately for each DoF.
The "controlled" DoF of each stage (for instance the $D_y$ direction for the translation stage) is modeled as infinitely rigid (i.e. its motion is imposed by a "setpoint") while the other DoFs have limited stiffness to model the different micro-station modes.
Motion Stages
<<ssec:ustation_stages>>
Translation Stage
The translation stage is used to position and scan the sample laterally with respect to the X-ray beam.
A linear motor was first used to enable fast and accurate scans. It was later replaced with a stepper motor and lead-screw, as the feedback control used for the linear motor was unreliable9. An optical linear encoder is used to measure the stage motion and for controlling the position.
Four cylindrical bearings10 are used to guide the motion (i.e. minimize the parasitic motions) and have high stiffness.
Tilt Stage
The tilt stage is guided by four linear motion guides11 which are placed such that the center of rotation coincide with the X-ray beam. Each linear guide is very stiff in radial directions such that the only DoF with low stiffness is in $R_y$.
This stage is mainly used in reflectivity experiments where the sample $R_y$ angle is scanned. This stage can also be used to tilt the rotation axis of the Spindle.
To precisely control the $R_y$ angle, a stepper motor and two optical encoders are used in a PID feedback loop.
\hfill
Spindle
Then, a rotation stage is used for tomography experiments. It is composed of an air bearing spindle12, whose angular position is controlled with a 3 phase synchronous motor based on the reading of 4 optical encoders.
Additional rotary unions and slip-rings are used to be able to pass electrical signals, fluids and gazes through the rotation stage.
Micro-Hexapod
Finally, a Stewart platform13 is used to position the sample. It includes a DC motor and an optical linear encoders in each of the six struts.
This stage is used to position the point of interest of the sample with respect to the spindle rotation axis. It can also be used to precisely position the PoI vertically with respect to the x-ray.
\hfill
Mathematical description of a rigid body motion
<<ssec:ustation_motion_description>>
Introduction
In this section, mathematical tools14 that are used to describe the motion of positioning stages are introduced.
First, the tools to describe the pose of a solid body (i.e. it's position and orientation) are introduced. The motion induced by a positioning stage is described by transformation matrices. Finally, the motions of all stacked stages are combined, and the sample's motion is computed from each stage motion.
Spatial motion representation
The pose of a solid body relative to a specific frame can be described by six independent parameters. Three parameters are typically used to describe its position, and three other parameters describe its orientation.
The position of a point $P$ with respect to a frame $\{A\}$ can be described by a $3 \times 1$ position vector eqref:eq:ustation_position. The name of the frame is usually added as a leading superscript: ${}^AP$ which reads as vector $P$ in frame $\{A\}$.
\begin{equation}\label{eq:ustation_position} {}^AP = \begin{bmatrix} P_x\\ P_y\\ P_z \end{bmatrix}
\end{equation}
A pure translation of a solid body (i.e., of a frame $\{B\}$ attached to the solid body) can be described by the position ${}^AP_{O_B}$ as shown in Figure ref:fig:ustation_translation.
The orientation of a rigid body is the same at all its points (by definition). Hence, the orientation of a rigid body can be viewed as that of a moving frame attached to the rigid body. It can be represented in several different ways: the rotation matrix, the screw axis representation, and the Euler angles are common descriptions.
The rotation matrix ${}^A\bm{R}_B$ is a $3 \times 3$ matrix containing the Cartesian unit vectors $[{}^A\hat{\bm{x}}_B,\ {}^A\hat{\bm{y}}_B,\ {}^A\hat{\bm{z}}_B]$ of frame $\{\bm{B}\}$ represented in frame $\{\bm{A}\}$ eqref:eq:ustation_rotation_matrix.
\begin{equation}\label{eq:ustation_rotation_matrix} {}^A\bm{R}_B = ≤ft[ {}^A\hat{\bm{x}}_B | {}^A\hat{\bm{y}}_B | {}^A\hat{\bm{z}}_B \right]
\end{equation}
Consider a pure rotation of a rigid body ($\{\bm{A}\}$ and $\{\bm{B}\}$ are coincident at their origins, as shown in Figure ref:fig:ustation_rotation). The rotation matrix can be used to express the coordinates of a point $P$ in a fixed frame $\{A\}$ (i.e. ${}^AP$) from its coordinate in the moving frame $\{B\}$ using Equation eqref:eq:ustation_rotation.
\begin{equation} \label{eq:ustation_rotation} {}^AP = {}^A\bm{R}_B {}^BP
\end{equation}
For rotations along $x$, $y$ or $z$ axis, the formulas of the corresponding rotation matrices are given in Equation eqref:eq:ustation_rotation_matrices_xyz.
\begin{subequations}\label{eq:ustation_rotation_matrices_xyz}
\begin{align} \bm{R}_x(\theta_x) &= \begin{bmatrix} 1 & 0 & 0 \\ 0 & \cos(\theta_x) & -\sin(\theta_x) \\ 0 & \sin(\theta_x) & \cos(\theta_x) \end{bmatrix} \\ \bm{R}_y(\theta_y) &= \begin{bmatrix} \cos(\theta_y) & 0 & \sin(\theta_y) \\ 0 & 1 & 0 \\ -\sin(\theta_y) & 0 & \cos(\theta_y) \end{bmatrix} \\ \bm{R}_z(\theta_z) &= \begin{bmatrix} \cos(\theta_z) & -\sin(\theta_z) & 0 \\ \sin(\theta_z) & \cos(\theta_z) & 0 \\ 0 & 0 & 1 \end{bmatrix} \end{align}\end{subequations}
Sometimes, it is useful to express a rotation as a combination of three rotations described by $\bm{R}_x$, $\bm{R}_y$ and $\bm{R}_z$. The order of rotation is very important15, therefore, in this study, rotations are expressed as three successive rotations about the coordinate axes of the moving frame eqref:eq:ustation_rotation_combination.
\begin{equation}\label{eq:ustation_rotation_combination} {}^A\bm{R}_B(α, β, γ) = \bm{R}_u(α) \bm{R}_v(β) \bm{R}_c(γ)
\end{equation}
Such rotation can be parameterized by three Euler angles $(\alpha,\ \beta,\ \gamma)$, which can be computed from a given rotation matrix using equations eqref:eq:ustation_euler_angles.
\begin{subequations}\label{eq:ustation_euler_angles}
\begin{align} \alpha &= \text{atan2}(-R_{23}/\cos(\beta),\ R_{33}/\cos(\beta)) \\ \beta &= \text{atan2}( R_{13},\ \sqrt{R_{11}^2 + R_{12}^2}) \\ \gamma &= \text{atan2}(-R_{12}/\cos(\beta),\ R_{11}/\cos(\beta)) \end{align}\end{subequations}
Motion of a Rigid Body
Since the relative positions of a rigid body with respect to a moving frame $\{B\}$ attached to it are fixed for all time, it is sufficient to know the position of the origin of the frame $O_B$ and the orientation of the frame $\{B\}$ with respect to the fixed frame $\{A\}$, to represent the position of any point $P$ in the space.
Therefore, the pose of a rigid body can be fully determined by:
- The position vector of point $O_B$ with respect to frame $\{A\}$ which is denoted ${}^AP_{O_B}$
- The orientation of the rigid body, or the moving frame $\{B\}$ attached to it with respect to the fixed frame $\{A\}$, that is represented by ${}^A\bm{R}_B$.
The position of any point $P$ of the rigid body with respect to the fixed frame $\{\bm{A}\}$, which is denoted ${}^A\bm{P}$ may be determined thanks to the Chasles' theorem, which states that if the pose of a rigid body $\{{}^A\bm{R}_B, {}^AP_{O_B}\}$ is given, then the position of any point $P$ of this rigid body with respect to $\{\bm{A}\}$ is given by Equation eqref:eq:ustation_chasles_therorem.
\begin{equation} \label{eq:ustation_chasles_therorem} {}^AP = {}^A\bm{R}_B {}^BP + {}^APO_B
\end{equation}
While equation eqref:eq:ustation_chasles_therorem can describe the motion of a rigid body, it can be written in a more convenient way using $4 \times 4$ homogeneous transformation matrices and $4 \times 1$ homogeneous coordinates. The homogeneous transformation matrix is composed of the rotation matrix ${}^A\bm{R}_B$ representing the orientation and the position vector ${}^AP_{O_B}$ representing the translation. It is partitioned as shown in Equation eqref:eq:ustation_homogeneous_transformation_parts.
\begin{equation}\label{eq:ustation_homogeneous_transformation_parts} {}^A\bm{T}_B = ≤ft[ \begin{array}{ccc|c} & & & \\ & {}^A\bm{R}_B & & {}^AP_{O_B} \\ & & & \cr \hline 0 & 0 & 0 & 1 \end{array} \right]
\end{equation}
Then, ${}^AP$ can be computed from ${}^BP$ and the homogeneous transformation matrix using eqref:eq:ustation_homogeneous_transformation.
\begin{equation}\label{eq:ustation_homogeneous_transformation} ≤ft[ \begin{array}{c} \\ {}^AP \\ \cr \hline 1 \end{array} \right] = \left[ \begin{array}{ccc|c} & & & \\ & {}^A\bm{R}_B & & {}^AP_{O_B} \\ & & & \cr \hline 0 & 0 & 0 & 1 \end{array} \right] \left[ \begin{array}{c} \\ {}^BP \\ \cr \hline 1 \end{array} \right] = ≤ft[ \begin{array}{ccc|c} & & & \\ & {}^A\bm{R}_B & & {}^AP_{O_B} \\ & & & \cr \hline 0 & 0 & 0 & 1 \end{array} \right] \left[ \begin{array}{c} \\ {}^BP \\ \cr \hline 1 \end{array} \right] ≤ft[ \begin{array}{c} \\ {}^BP \\ \cr \hline 1 \end{array} \right] \quad ⇒ \quad {}^AP = {}^A\bm{R}_B {}^BP + {}^APO_B
\end{equation}
One key advantage of homogeneous transformation is that it can easily be generalized for consecutive transformations. Let us consider the motion of a rigid body described at three locations (Figure ref:fig:ustation_combined_transformation). Frame $\{A\}$ represents the initial location, frame $\{B\}$ is an intermediate location, and frame $\{C\}$ represents the rigid body at its final location.

Furthermore, suppose the position vector of a point $P$ of the rigid body is given in the final location, that is ${}^CP$ is given, and the position of this point is to be found in the fixed frame $\{A\}$, that is ${}^AP$. Since the locations of the rigid body are known relative to each other, ${}^CP$ can be transformed to ${}^BP$ using ${}^B\bm{T}_C$ using ${}^BP = {}^B\bm{T}_C {}^CP$. Similarly, ${}^BP$ can be transformed into ${}^AP$ using ${}^AP = {}^A\bm{T}_B {}^BP$.
Combining the two relations, Equation eqref:eq:ustation_consecutive_transformations is obtained. This shows that combining multiple transformations is equivalent as to compute $4 \times 4$ matrix multiplications.
\begin{equation}\label{eq:ustation_consecutive_transformations} {}^AP = _brace{{}^A\bm{T}_B {}^B\bm{T}_C}_{{}^A\bm{T}_C} {}^CP
\end{equation}
Another key advantage of homogeneous transformation is the easy inverse transformation, which can be computed using Equation eqref:eq:ustation_inverse_homogeneous_transformation.
\begin{equation}\label{eq:ustation_inverse_homogeneous_transformation} {}^B\bm{T}_A = {}^A\bm{T}_B-1 = ≤ft[ \begin{array}{ccc|c} & & & \\ & {}^A\bm{R}_B^{\intercal} & & -{}^A \bm{R}_B^{\intercal} {}^AP_{O_B} \\ & & & \cr \hline 0 & 0 & 0 & 1 \\ \end{array} \right]
\end{equation}
Micro-Station Kinematics
<<ssec:ustation_kinematics>>
Each stage is described by two frames; one is attached to the fixed platform $\{A\}$ while the other is fixed to the mobile platform $\{B\}$. At "rest" position, the two have the same pose and coincide with the point of interest ($O_A = O_B$). An example of the tilt stage is shown in Figure ref:fig:ustation_stage_motion. The mobile frame of the translation stage is equal to the fixed frame of the tilt stage: $\{B_{D_y}\} = \{A_{R_y}\}$. Similarly, the mobile frame of the tilt stage is equal to the fixed frame of the spindle: $\{B_{R_y}\} = \{A_{R_z}\}$.

The motion induced by a positioning stage can be described by a homogeneous transformation matrix from frame $\{A\}$ to frame $\{B\}$ as explain in Section ref:ssec:ustation_kinematics. As any motion stage induces parasitic motion in all 6 DoF, the transformation matrix representing its induced motion can be written as in eqref:eq:ustation_translation_stage_errors.
\begin{equation}\label{eq:ustation_translation_stage_errors} {}^A\bm{T}_B(D_x, D_y, D_z, θ_x, θ_y, θ_z) = ≤ft[ \begin{array}{ccc|c} & & & D_x \\ & \bm{R}_x(\theta_x) \bm{R}_y(\theta_y) \bm{R}_z(\theta_z) & & D_y \\ & & & D_z \cr \hline 0 & 0 & 0 & 1 \end{array} \right]
\end{equation}
The homogeneous transformation matrix corresponding to the micro-station $\bm{T}_{\mu\text{-station}}$ is simply equal to the matrix multiplication of the homogeneous transformation matrices of the individual stages as shown in Equation eqref:eq:ustation_transformation_station.
\begin{equation}\label{eq:ustation_transformation_station} \bm{T}_{μ\text{-station}} = \bm{T}D_y ⋅ \bm{T}R_y ⋅ \bm{T}R_z ⋅ \bm{T}_{μ\text{-hexapod}}
\end{equation}
$\bm{T}_{\mu\text{-station}}$ represents the pose of the sample (supposed to be rigidly fixed on top of the positioning-hexapod) with respect to the granite.
If the transformation matrices of the individual stages are each representing a perfect motion (i.e. the stages are supposed to have no parasitic motion), $\bm{T}_{\mu\text{-station}}$ then represents the pose setpoint of the sample with respect to the granite. The transformation matrices for the translation stage, tilt stage, spindle, and positioning hexapod can be written as shown in Equation eqref:eq:ustation_transformation_matrices_stages. The setpoints are $D_y$ for the translation stage, $\theta_y$ for the tilt-stage, $\theta_z$ for the spindle, $[D_{\mu x},\ D_{\mu y}, D_{\mu z}]$ for the micro-hexapod translations and $[\theta_{\mu x},\ \theta_{\mu y}, \theta_{\mu z}]$ for the micro-hexapod rotations.
\begin{equation}\label{eq:ustation_transformation_matrices_stages}
\begin{align} \bm{T}_{D_y} &= \begin{bmatrix} 1 & 0 & 0 & 0 \\ 0 & 1 & 0 & D_y \\ 0 & 0 & 1 & 0 \\ 0 & 0 & 0 & 1 \end{bmatrix} \quad \bm{T}_{\mu\text{-hexapod}} = \left[ \begin{array}{ccc|c} & & & D_{\mu x} \\ & \bm{R}_x(\theta_{\mu x}) \bm{R}_y(\theta_{\mu y}) \bm{R}_{z}(\theta_{\mu z}) & & D_{\mu y} \\ & & & D_{\mu z} \cr \hline 0 & 0 & 0 & 1 \end{array} \right] \\ \bm{T}_{R_z} &= \begin{bmatrix} \cos(\theta_z) & -\sin(\theta_z) & 0 & 0 \\ \sin(\theta_z) & \cos(\theta_z) & 0 & 0 \\ 0 & 0 & 1 & 0 \\ 0 & 0 & 0 & 1 \end{bmatrix} \quad \bm{T}_{R_y} = \begin{bmatrix} \cos(\theta_y) & 0 & \sin(\theta_y) & 0 \\ 0 & 1 & 0 & 0 \\ -\sin(\theta_y) & 0 & \cos(\theta_y) & 0 \\ 0 & 0 & 0 & 1 \end{bmatrix} \end{align}\end{equation}
Micro-Station Dynamics
<<sec:ustation_modeling>>
Introduction
In this section, the multi-body model of the micro-station is presented. Such model consists of several rigid bodies connected by springs and dampers. The inertia of the solid bodies and the stiffness properties of the guiding mechanisms were first estimated based on the CAD model and data-sheets (Section ref:ssec:ustation_model_simscape).
The obtained dynamics is then compared with the modal analysis performed on the micro-station (Section ref:ssec:ustation_model_comp_dynamics).
As the dynamics of the nano-hexapod is impacted by the micro-station compliance, the most important dynamical characteristic that should be well modeled is the overall compliance of the micro-station. To do so, the 6-DoF compliance of the micro-station is measured and then compared with the 6-DoF compliance extracted from the multi-body model (Section ref:ssec:ustation_model_compliance).
Multi-Body Model
<<ssec:ustation_model_simscape>>
By performing a modal analysis of the micro-station, it was verified that in the frequency range of interest, each stage behaved as a rigid body. This confirms that a multi-body model can be used to properly model the micro-station.
A multi-body model consists of several solid bodies connected by joints. Each solid body can be represented by its inertia properties (most of the time computed automatically from the 3D model and material density). Joints are used to impose kinematic constraints between solid bodies and to specify dynamical properties (i.e. spring stiffness and damping coefficient). External forces can be used to model disturbances, and "sensors" can be used to measure the relative pose between two defined frames.
Therefore, the micro-station is modeled by several solid bodies connected by joints. A typical stage (here the tilt-stage) is modeled as shown in Figure ref:fig:ustation_simscape_stage_example where two solid bodies (the fixed part and the mobile part) are connected by a 6-DoF joint. One DoF of the 6-DoF joint is "imposed" by a setpoint (i.e. modeled as infinitely stiff), while the other 5 are each modeled by a spring and damper. Additional forces can be used to model disturbances induced by the stage motion. The obtained 3D representation of the multi-body model is shown in Figure ref:fig:ustation_simscape_model.
The ground is modeled by a solid body connected to the "world frame" through a joint only allowing 3 translations. The granite was then connected to the ground using a 6-DoF joint. The translation stage is connected to the granite by a 6-DoF joint, but the $D_y$ motion is imposed. Similarly, the tilt-stage and the spindle are connected to the stage below using a 6-DoF joint, with 1 imposed DoF each time. Finally, the positioning hexapod has 6-DoF.
The total number of "free" degrees of freedom is 27, so the model has 54 states. The springs and dampers values were first estimated from the joint/stage specifications and were later fined-tuned based on the measurements. The spring values are summarized in Table ref:tab:ustation_6dof_stiffness_values.
| Stage | $D_x$ | $D_y$ | $D_z$ | $R_x$ | $R_y$ | $R_z$ |
|---|---|---|---|---|---|---|
| Granite | $5\,kN/\mu m$ | $5\,kN/\mu m$ | $5\,kN/\mu m$ | $25\,Nm/\mu\text{rad}$ | $25\,Nm/\mu\text{rad}$ | $10\,Nm/\mu\text{rad}$ |
| Translation | $200\,N/\mu m$ | - | $200\,N/\mu m$ | $60\,Nm/\mu\text{rad}$ | $90\,Nm/\mu\text{rad}$ | $60\,Nm/\mu\text{rad}$ |
| Tilt | $380\,N/\mu m$ | $400\,N/\mu m$ | $380\,N/\mu m$ | $120\,Nm/\mu\text{rad}$ | - | $120\,Nm/\mu\text{rad}$ |
| Spindle | $700\,N/\mu m$ | $700\,N/\mu m$ | $2\,kN/\mu m$ | $10\,Nm/\mu\text{rad}$ | $10\,Nm/\mu\text{rad}$ | - |
| Hexapod | $10\,N/\mu m$ | $10\,N/\mu m$ | $100\,N/\mu m$ | $1.5\,Nm/rad$ | $1.5\,Nm/rad$ | $0.27\,Nm/rad$ |
Comparison with the measured dynamics
<<ssec:ustation_model_comp_dynamics>>
The dynamics of the micro-station was measured by placing accelerometers on each stage and by impacting the translation stage with an instrumented hammer in three directions. The obtained FRFs were then projected at the CoM of each stage.
To gain a first insight into the accuracy of the obtained model, the FRFs from the hammer impacts to the acceleration of each stage were extracted from the multi-body model and compared with the measurements in Figure ref:fig:ustation_comp_com_response.
Even though there is some similarity between the model and the measurements (similar overall shapes and amplitudes), it is clear that the multi-body model does not accurately represent the complex micro-station dynamics. Tuning the numerous model parameters to better match the measurements is a highly non-linear optimization problem that is difficult to solve in practice.
Micro-station compliance
<<ssec:ustation_model_compliance>>
As discussed in the previous section, the dynamics of the micro-station is complex, and tuning the multi-body model parameters to obtain a perfect match is difficult.
When considering the NASS, the most important dynamical characteristics of the micro-station is its compliance, as it can affect the plant dynamics. Therefore, the adopted strategy is to accurately model the micro-station compliance.
The micro-station compliance was experimentally measured using the setup illustrated in Figure ref:fig:ustation_compliance_meas. Four 3-axis accelerometers were fixed to the micro-hexapod top platform. The micro-hexapod top platform was impacted at 10 different points. For each impact position, 10 impacts were performed to average and improve the data quality.

To convert the 12 acceleration signals $a_{\mathcal{L}} = [a_{1x}\ a_{1y}\ a_{1z}\ a_{2x}\ \dots\ a_{4z}]$ to the acceleration expressed in the $\{\mathcal{X}\}$ frame $a_{\mathcal{X}} = [a_{dx}\ a_{dy}\ a_{dz}\ a_{rx}\ a_{ry}\ a_{rz}]$, a Jacobian matrix $\bm{J}_a$ is written based on the positions and orientations of the accelerometers eqref:eq:ustation_compliance_acc_jacobian.
\begin{equation}\label{eq:ustation_compliance_acc_jacobian} \bm{J}_a = ≤ft[\begin{smallmatrix} 1 & 0 & 0 & 0 & 0 &-d \\ 0 & 1 & 0 & 0 & 0 & 0 \\ 0 & 0 & 1 & d & 0 & 0 \\ 1 & 0 & 0 & 0 & 0 & 0 \\ 0 & 1 & 0 & 0 & 0 &-d \\ 0 & 0 & 1 & 0 & d & 0 \\ 1 & 0 & 0 & 0 & 0 & d \\ 0 & 1 & 0 & 0 & 0 & 0 \\ 0 & 0 & 1 &-d & 0 & 0 \\ 1 & 0 & 0 & 0 & 0 & 0 \\ 0 & 1 & 0 & 0 & 0 & d \\ 0 & 0 & 1 & 0 &-d & 0 \end{smallmatrix}\right]
\end{equation}
Then, the acceleration in the cartesian frame can be computed using eqref:eq:ustation_compute_cart_acc.
\begin{equation}\label{eq:ustation_compute_cart_acc} a_{\mathcal{X}} = \bm{J}_a-1 ⋅ a_{\mathcal{L}}
\end{equation}
Similar to what is done for the accelerometers, a Jacobian matrix $\bm{J}_F$ is computed eqref:eq:ustation_compliance_force_jacobian and used to convert the individual hammer forces $F_{\mathcal{L}}$ to force and torques $F_{\mathcal{X}}$ applied at the center of the micro-hexapod top plate (defined by frame $\{\mathcal{X}\}$ in Figure ref:fig:ustation_compliance_meas).
\begin{equation}\label{eq:ustation_compliance_force_jacobian} \bm{J}_F = ≤ft[\begin{smallmatrix} 0 & -1 & 0 & 0 & 0 & 0\\ 0 & 0 & -1 & -d & 0 & 0\\ 1 & 0 & 0 & 0 & 0 & 0\\ 0 & 0 & -1 & 0 & -d & 0\\ 0 & 1 & 0 & 0 & 0 & 0\\ 0 & 0 & -1 & d & 0 & 0\\ -1 & 0 & 0 & 0 & 0 & 0\\ 0 & 0 & -1 & 0 & d & 0\\ -1 & 0 & 0 & 0 & 0 & -d\\ -1 & 0 & 0 & 0 & 0 & d \end{smallmatrix}\right]
\end{equation}
The equivalent forces and torques applied at center of $\{\mathcal{X}\}$ are then computed using eqref:eq:ustation_compute_cart_force.
\begin{equation}\label{eq:ustation_compute_cart_force} F_{\mathcal{X}} = \bm{J}_F∫ercal ⋅ F_{\mathcal{L}}
\end{equation}
Using the two Jacobian matrices, the FRF from the 10 hammer impacts to the 12 accelerometer outputs can be converted to the FRF from 6 forces/torques applied at the origin of frame $\{\mathcal{X}\}$ to the 6 linear/angular accelerations of the top platform expressed with respect to $\{\mathcal{X}\}$. These FRFs were then used for comparison with the multi-body model.
The compliance of the micro-station multi-body model was extracted by computing the transfer function from forces/torques applied on the hexapod's top platform to the "absolute" motion of the top platform. These results are compared with the measurements in Figure ref:fig:ustation_frf_compliance_model. Considering the complexity of the micro-station compliance dynamics, the model compliance matches sufficiently well for the current application.
Estimation of Disturbances
<<sec:ustation_disturbances>>
Introduction
The goal of this section is to obtain a realistic representation of disturbances affecting the micro-station. These disturbance sources are then used during time domain simulations to accurately model the micro-station behavior. The focus is on stochastic disturbances because, in principle, it is possible to calibrate the repeatable part of disturbances. Such disturbances include ground motions and vibrations induce by scanning the translation stage and the spindle.
In the multi-body model, stage vibrations are modeled as internal forces applied in the stage joint. In practice, disturbance forces cannot be directly measured. Instead, the vibrations of the micro-station's top platform induced by the disturbances were measured (Section ref:ssec:ustation_disturbances_meas).
To estimate the equivalent disturbance force that induces such vibration, the transfer functions from disturbance sources (i.e. forces applied in the stages' joint) to the displacements of the micro-station's top platform with respect to the granite are extracted from the multi-body model (Section ref:ssec:ustation_disturbances_sensitivity). Finally, the obtained disturbance sources are compared in Section ref:ssec:ustation_disturbances_results.
Disturbance measurements
<<ssec:ustation_disturbances_meas>>
Introduction
In this section, ground motion is directly measured using geophones. Vibrations induced by scanning the translation stage and the spindle are also measured using dedicated setups.
The tilt stage and the micro-hexapod also have positioning errors; however, they are not modeled here because these two stages are only used for pre-positioning and not for scanning. Therefore, from a control perspective, they are not important.
Ground Motion
The ground motion was measured by using a sensitive 3-axis geophone shown in Figure ref:fig:ustation_geophone_picture placed on the ground. The generated voltages were recorded with a high resolution DAC, and converted to displacement using the Geophone sensitivity transfer function. The obtained ground motion displacement is shown in Figure ref:fig:ustation_ground_disturbance.
\hfill
Ty Stage
To measure the positioning errors of the translation stage, the setup shown in Figure ref:fig:ustation_errors_ty_setup is used. A special optical element (called a "straightness interferometer"16) is fixed on top of the micro-station, while a laser source17 and a straightness reflector are fixed on the ground. A similar setup was used to measure the horizontal deviation (i.e. in the $x$ direction), as well as the pitch and yaw errors of the translation stage.

Six scans were performed between $-4.5\,mm$ and $4.5\,mm$. The results for each individual scan are shown in Figure ref:fig:ustation_errors_dy_vertical. The measurement axis may not be perfectly aligned with the translation stage axis; this, a linear fit is removed from the measurement. The remaining vertical displacement is shown in Figure ref:fig:ustation_errors_dy_vertical_remove_mean. A vertical error of $\pm300\,nm$ induced by the translation stage is expected. Similar result is obtained for the $x$ lateral direction.
Spindle
To measure the positioning errors induced by the Spindle, a "Spindle error analyzer"18 is used as shown in Figure ref:fig:ustation_rz_meas_lion_setup. A specific target is fixed on top of the micro-station, which consists of two sphere with 1 inch diameter precisely aligned with the spindle rotation axis. Five capacitive sensors19 are pointing at the two spheres, as shown in Figure ref:fig:ustation_rz_meas_lion_zoom. From the 5 measured displacements $[d_1,\,d_2,\,d_3,\,d_4,\,d_5]$, the translations and rotations $[D_x,\,D_y,\,D_z,\,R_x,\,R_y]$ of the target can be estimated.
A measurement was performed during a constant rotational velocity of the spindle of 60rpm and during 10 turns. The obtained results are shown in Figure ref:fig:ustation_errors_spindle. A large fraction of the radial (Figure ref:fig:ustation_errors_spindle_radial) and tilt (Figure ref:fig:ustation_errors_spindle_tilt) errors is linked to the fact that the two spheres are not perfectly aligned with the rotation axis of the Spindle. This is displayed by the dashed circle. After removing the best circular fit from the data, the vibrations induced by the Spindle may be viewed as stochastic disturbances. However, some misalignment between the "point-of-interest" of the sample and the rotation axis will be considered because the alignment is not perfect in practice. The vertical motion induced by scanning the spindle is in the order of $\pm 30\,nm$ (Figure ref:fig:ustation_errors_spindle_axial).
Sensitivity to disturbances
<<ssec:ustation_disturbances_sensitivity>>
To compute the disturbance source (i.e. forces) that induced the measured vibrations in Section ref:ssec:ustation_disturbances_meas, the transfer function from the disturbance sources to the stage vibration (i.e. the "sensitivity to disturbances") needs to be estimated. This is achieved using the multi-body model presented in Section ref:sec:ustation_modeling. The obtained transfer functions are shown in Figure ref:fig:ustation_model_sensitivity.
Obtained disturbance sources
<<ssec:ustation_disturbances_results>>
From the measured effect of disturbances in Section ref:ssec:ustation_disturbances_meas and the sensitivity to disturbances extracted from the multi-body model in Section ref:ssec:ustation_disturbances_sensitivity, the power spectral density of the disturbance sources (i.e. forces applied in the stage's joint) can be estimated. The obtained power spectral density of the disturbances are shown in Figure ref:fig:ustation_dist_sources.
The disturbances are characterized by their power spectral densities, as shown in Figure ref:fig:ustation_dist_sources. However, to perform time domain simulations, disturbances must be represented by a time domain signal. To generate stochastic time-domain signals with a specific power spectral density, the discrete inverse Fourier transform is used, as explained in cite:&preumont94_random_vibrat_spect_analy chap. 12.11. Examples of the obtained time-domain disturbance signals are shown in Figure ref:fig:ustation_dist_sources_time.
Simulation of Scientific Experiments
<<sec:ustation_experiments>>
Introduction
To fully validate the micro-station multi-body model, two time-domain simulations corresponding to typical use cases were performed.
First, a tomography experiment (i.e. a constant Spindle rotation) was performed and was compared with experimental measurements (Section ref:sec:ustation_experiments_tomography). Second, a constant velocity scans with the translation stage was performed and also compared with the experimental data (Section ref:sec:ustation_experiments_ty_scans).
Tomography Experiment
<<sec:ustation_experiments_tomography>>
To simulate a tomography experiment, the setpoint of the Spindle is configured to perform a constant rotation with a rotational velocity of 60rpm. Both ground motion and spindle vibration disturbances were simulated based on what was computed in Section ref:sec:ustation_disturbances. A radial offset of $\approx 1\,\mu m$ between the "point-of-interest" and the spindle's rotation axis is introduced to represent what is experimentally observed. During the 10 second simulation (i.e. 10 spindle turns), the position of the "point-of-interest" with respect to the granite was recorded. Results are shown in Figure ref:fig:ustation_errors_model_spindle. A good correlation with the measurements is observed both for radial errors (Figure ref:fig:ustation_errors_model_spindle_radial) and axial errors (Figure ref:fig:ustation_errors_model_spindle_axial).
Scans with the translation stage
<<sec:ustation_experiments_ty_scans>>
A second experiment was performed in which the translation stage was scanned at constant velocity. The translation stage setpoint is configured to have a "triangular" shape with stroke of $\pm 4.5\, mm$. Both ground motion and translation stage vibrations were included in the simulation. Similar to what was performed for the tomography simulation, the PoI position with respect to the granite was recorded and compared with the experimental measurements in Figure ref:fig:ustation_errors_model_dy_vertical. A similar error amplitude was observed, thus indicating that the multi-body model with the included disturbances accurately represented the micro-station behavior in typical scientific experiments.
Conclusion
<<sec:ustation_conclusion>>
In this study, a multi-body model of the micro-station was developed. It was difficult to match the measured dynamics obtained from the modal analysis of the micro-station. However, the most important dynamical characteristic to be modeled is the compliance, as it affects the dynamics of the NASS. After tuning the model parameters, a good match with the measured compliance was obtained (Figure ref:fig:ustation_frf_compliance_model).
The disturbances affecting the sample position should also be well modeled. After experimentally estimating the disturbances (Section ref:sec:ustation_disturbances), the multi-body model was finally validated by performing a tomography simulation (Figure ref:fig:ustation_errors_model_spindle) as well as a simulation in which the translation stage was scanned (Figure ref:fig:ustation_errors_model_dy_vertical).
Nano Hexapod - Multi Body Model
<<sec:nhexa>>
Introduction
Building upon the validated multi-body model of the micro-station presented in previous sections, this section focuses on the development and integration of an active vibration platform model.
A review of existing active vibration platforms is given in Section ref:sec:nhexa_platform_review, leading to the selection of the Stewart platform architecture. This parallel manipulator architecture, described in Section ref:sec:nhexa_stewart_platform, requires specialized analytical tools for kinematic analysis. However, the complexity of its dynamic behavior poses significant challenges for purely analytical approaches.
Consequently, a multi-body modeling approach was adopted (Section ref:sec:nhexa_model), facilitating seamless integration with the existing micro-station model.
The control of the Stewart platform introduces additional complexity due to its multi-input multi-output (MIMO) nature. Section ref:sec:nhexa_control explores how the High Authority Control/Low Authority Control (HAC-LAC) strategy, previously validated on the uniaxial model, can be adapted to address the coupled dynamics of the Stewart platform. This adaptation requires fundamental decisions regarding both the control architecture (centralized versus decentralized) and the control frame (Cartesian versus strut space). Through careful analysis of system interactions and plant characteristics in different frames, a control architecture combining decentralized Integral Force Feedback for active damping with a centralized high authority controller for positioning was developed, with both controllers implemented in the frame of the struts.
Active Vibration Platforms
<<sec:nhexa_platform_review>>
Introduction
The conceptual phase started with the use of simplified models, such as uniaxial and three-degree-of-freedom rotating systems. These models were chosen for their ease of analysis, and despite their simplicity, the principles derived from them usually apply to more complex systems. However, the development of the Nano Active Stabilization System (NASS) now requires the use of a more accurate model that will be integrated with the multi-body representation of the micro-station. To develop this model, the architecture of the active platform must first be determined.
The selection of an appropriate architecture begins with a review of existing positioning stages that incorporate active platforms similar to NASS (Section ref:ssec:nhexa_sample_stages). This review reveals two distinctive features of the NASS that set it apart from existing systems: the fact that the active platform is continuously rotating and its requirement to accommodate variable payload masses. In existing systems, the sample mass is typically negligible compared to the stage mass, whereas in NASS, the sample mass significantly influences the system's dynamic behavior.
These distinctive requirements drive the selection of the active platform architecture. In Section ref:ssec:nhexa_active_platforms, different active platform configurations, including serial and parallel configurations, are evaluated, ultimately leading to the choice of a Stewart platform architecture.
Sample Stages with Active Control
<<ssec:nhexa_sample_stages>>
The positioning of samples with respect to X-ray beam, that can be focused to sizes below 100 nanometers, presents significant challenges, because mechanical positioning systems are typically limited to micron-scale accuracy. To overcome this limitation, external metrology systems have been implemented to measure sample positions with nanometer accuracy, enabling real-time feedback control for sample stabilization.
A review of existing sample stages with active vibration control reveals various approaches to implementing such feedback systems. In many cases, sample position control is limited to translational degrees of freedom. At NSLS-II, for instance, a system capable of $100\,\mu m$ stroke has been developed for payloads up to 500g, using interferometric measurements for position feedback (Figure ref:fig:nhexa_stages_nazaretski). Similarly, at the Sirius facility, a tripod configuration based on voice coil actuators has been implemented for XYZ position control, achieving feedback bandwidths of approximately 100 Hz (Figure ref:fig:nhexa_stages_sapoti).
The integration of $R_z$ rotational capability, which is necessary for tomography experiments, introduces additional complexity. At ESRF's ID16A beamline, a Stewart platform (whose architecture will be presented in Section ref:sec:nhexa_stewart_platform) using piezoelectric actuators has been positioned below the spindle (Figure ref:fig:nhexa_stages_villar). While this configuration enables the correction of spindle motion errors through 5-DoF control based on capacitive sensor measurements, the stroke is limited to $50\,\mu m$ due to the inherent constraints of piezoelectric actuators. In contrast, at PETRA III, an alternative approach places a XYZ-stacked stage above the spindle, offering $100\,\mu m$ stroke (Figure ref:fig:nhexa_stages_schroer). However, attempts to implement real-time feedback using YZ external metrology proved challenging, possibly due to the poor dynamical response of the serial stage configuration.
Table ref:tab:nhexa_sample_stages provides an overview of existing end-stations that incorporate feedback loops based on online metrology for sample positioning. Although direct performance comparisons between these systems are challenging due to their varying experimental requirements, scanning velocities, and specific use cases, several distinctive characteristics of the NASS can be identified.
| Stacked Stages | Specifications | Measured DoFs | Bandwidth | Reference |
|---|---|---|---|---|
| Sample | light | Interferometers | 3 PID, n/a | APS |
| XYZ stage (piezo) | $D_{xyz}: 0.05\,mm$ | $D_{xyz}$ | cite:&nazaretski15_pushin_limit | |
| Sample | light | Capacitive sensors | $\approx 10\,\text{Hz}$ | ESRF |
| Spindle | $R_z: \pm 90\,\text{deg}$ | $D_{xyz},\ R_{xy}$ | ID16a | |
| Hexapod (piezo) | $D_{xyz}: 0.05\,mm$ | cite:&villar18_nanop_esrf_id16a_nano_imagin_beaml | ||
| $R_{xy}: 500\,\mu\text{rad}$ | ||||
| Sample | light | Interferometers | n/a | PETRA III |
| XYZ stage (piezo) | $D_{xyz}: 0.1\,mm$ | $D_{yz}$ | P06 | |
| Spindle | $R_z: 180\,\text{deg}$ | cite:&schroer17_ptynam;&schropp20_ptynam | ||
| Sample | light | Interferometers | PID, n/a | PSI |
| Spindle | $R_z: \pm 182\,\text{deg}$ | $D_{yz},\ R_x$ | OMNY | |
| Tripod (piezo) | $D_{xyz}: 0.4\,mm$ | cite:&holler17_omny_pin_versat_sampl_holder;&holler18_omny_tomog_nano_cryo_stage | ||
| Sample | light | Interferometers | n/a | Soleil |
| (XY stage) | $D_{xyz},\ R_{xy}$ | Nanoprobe | ||
| Spindle | $R_z: 360\,\text{deg}$ | cite:&stankevic17_inter_charac_rotat_stages_x_ray_nanot;&engblom18_nanop_resul | ||
| XYZ linear motors | $D_{xyz}: 0.4\,mm$ | |||
| Sample | up to 0.5kg | Interferometers | n/a | NSLS |
| Spindle | $R_z: 360\,\text{deg}$ | $D_{xyz}$ | SRX | |
| XYZ stage (piezo) | $D_{xyz}: 0.1\,mm$ | cite:&nazaretski22_new_kirkp_baez_based_scann | ||
| Sample | up to 0.35kg | Interferometers | $\approx 100\,\text{Hz}$ | Diamond, I14 |
| Parallel XYZ VC | $D_{xyz}: 3\,mm$ | $D_{xyz}$ | cite:&kelly22_delta_robot_long_travel_nano | |
| Sample | light | Capacitive sensors | $\approx 100\,\text{Hz}$ | LNLS |
| Parallel XYZ VC | $D_{xyz}: 3\,mm$ | and interferometers | CARNAUBA | |
| (Spindle) | $R_z: \pm 110 \,\text{deg}$ | $D_{xyz}$ | cite:&geraldes23_sapot_carnaub_sirius_lnls | |
| Sample | up to 50kg | $D_{xyz},\ R_{xy}$ | ESRF | |
| Active Platform | ID31 | |||
| (Micro-Hexapod) | cite:&dehaeze18_sampl_stabil_for_tomog_exper;&dehaeze21_mechat_approac_devel_nano_activ_stabil_system | |||
| Spindle | $R_z: 360\,\text{deg}$ | |||
| Tilt-Stage | $R_y: \pm 3\,\text{deg}$ | |||
| Translation Stage | $D_y: \pm 10\,mm$ |
The first key distinction of the NASS is in the continuous rotation of the active vibration platform. This feature introduces significant complexity through gyroscopic effects and real-time changes in the platform orientation, which substantially impact both the system's kinematics and dynamics. In addition, NASS implements a unique Long-Stroke/Short-Stroke architecture. In conventional systems, active platforms typically correct spindle positioning errors - for example, unwanted translations or tilts that occur during rotation, whereas the intended rotational motion ($R_z$) is performed by the spindle itself and is not corrected. The NASS, however, faces a more complex task: it must compensate for positioning errors of the translation and tilt stages in real time during their operation, including corrections along their primary axes of motion. For instance, when the translation stage moves along Y, the active platform must not only correct for unwanted motions in other directions but also correct the position along Y, which necessitate some synchronization between the control of the long stroke stages and the control of the active platform.
The second major distinguishing feature of the NASS is its capability to handle payload masses up to 50 kg, exceeding typical capacities in the literature by two orders of magnitude. This substantial increase in payload mass fundamentally alters the system's dynamic behavior, as the sample mass significantly influences the overall system dynamics, in contrast to conventional systems where sample masses are negligible relative to the stage mass. This characteristic introduces significant control challenges, as the feedback system must remain stable and maintain performance across a wide range of payload masses (from a few kilograms to 50 kg), requiring robust control strategies to handle such large plant variations.
The NASS also distinguishes itself through its high mobility and versatility, which are achieved through the use of multiple stacked stages (translation stage, tilt stage, spindle, positioning hexapod) that enable a wide range of experimental configurations. The resulting mechanical structure exhibits complex dynamics with multiple resonance modes in the low frequency range. This dynamic complexity poses significant challenges for the design and control of the active platform.
The primary control requirements focus on $[D_y,\ D_z,\ R_y]$ motions; however, the continuous rotation of the active platform requires the control of $[D_x,\ D_y,\ D_z,\ R_x,\ R_y]$ in the active platform's reference frame.
Active Vibration Platform
<<ssec:nhexa_active_platforms>>
The choice of the active platform architecture for the NASS requires careful consideration of several critical specifications. The platform must provide control over five degrees of freedom ($D_x$, $D_y$, $D_z$, $R_x$, and $R_y$), with strokes exceeding $100\,\mu m$ to correct for micro-station positioning errors, while fitting within a cylindrical envelope of 300 mm diameter and 95 mm height. It must accommodate payloads up to 50 kg while maintaining high dynamical performance. For light samples, the typical design strategy of maximizing actuator stiffness works well because resonance frequencies in the kilohertz range can be achieved, enabling control bandwidths up to 100 Hz. However, achieving such resonance frequencies with a 50 kg payload would require unrealistic stiffness values of approximately $2000\,N/\mu m$. This limitation necessitates alternative control approaches, and the High Authority Control/Low Authority Control (HAC-LAC) strategy is proposed to address this challenge. To this purpose, the design includes force sensors for active damping. Compliant mechanisms must also be used to eliminate friction and backlash, which would otherwise compromise the nano-positioning capabilities.
Two primary categories of positioning platform architectures are considered: serial and parallel mechanisms. Serial robots, characterized by open-loop kinematic chains, typically dedicate one actuator per degree of freedom as shown in Figure ref:fig:nhexa_serial_architecture_kenton. While offering large workspaces and high maneuverability, serial mechanisms suffer from several inherent limitations. These include low structural stiffness, cumulative positioning errors along the kinematic chain, high mass-to-payload ratios due to actuator placement, and limited payload capacity cite:&taghirad13_paral. These limitations generally make serial architectures unsuitable for nano-positioning applications, except when handling very light samples, as was used in cite:&nazaretski15_pushin_limit and shown in Figure ref:fig:nhexa_stages_nazaretski.
In contrast, parallel mechanisms, which connect the mobile platform to the fixed base through multiple parallel struts, offer several advantages for precision positioning. Their closed-loop kinematic structure provides inherently higher structural stiffness, as the platform is simultaneously supported by multiple struts cite:&taghirad13_paral. Although parallel mechanisms typically exhibit limited workspace compared to serial architectures, this limitation is not critical for NASS given its modest stroke requirements. Numerous parallel kinematic architectures have been developed cite:dong07_desig_precis_compl_paral_posit to address various positioning requirements, with designs varying based on the desired degrees of freedom and specific application constraints. Furthermore, hybrid architectures combining both serial and parallel elements have been proposed cite:&shen19_dynam_analy_flexur_nanop_stage, as illustrated in Figure ref:fig:nhexa_serial_parallel_examples, offering potential compromises between the advantages of both approaches.
After evaluating the different options, the Stewart platform architecture was selected for several reasons. In addition to providing control over all required degrees of freedom, its compact design and predictable dynamic characteristics make it particularly suitable for nano-positioning when combined with flexible joints. Stewart platforms have been implemented in a wide variety of configurations, as illustrated in Figure ref:fig:nhexa_stewart_examples, which shows two distinct implementations: one implementing piezoelectric actuators for nano-positioning applications, and another based on voice coil actuators for vibration isolation. These examples demonstrate the architecture's versatility in terms of geometry, actuator selection, and scale, all of which can be optimized for specific applications. Furthermore, the successful implementation of Integral Force Feedback (IFF) control on Stewart platforms has been well documented cite:&abu02_stiff_soft_stewar_platf_activ;&hanieh03_activ_stewar;&preumont07_six_axis_singl_stage_activ, and the extensive body of research on this architecture enables thorough optimization specifically for the NASS.
The Stewart platform
<<sec:nhexa_stewart_platform>>
Introduction
The Stewart platform, first introduced by Stewart in 1965 cite:&stewart65_platf_with_six_degrees_freed for flight simulation applications, represents a significant milestone in parallel manipulator design. This mechanical architecture has evolved far beyond its original purpose, and has been applied across diverse field, from precision positioning systems to robotic surgery. The fundamental design consists of two platforms connected by six adjustable struts in parallel, creating a fully parallel manipulator capable of six degrees of freedom motion.
Unlike serial manipulators, in which errors worsen through the kinematic chain, parallel architectures distribute loads across multiple actuators, leading to enhanced mechanical stiffness and improved positioning accuracy. This parallel configuration also results in superior dynamic performance because the actuators directly contribute to the platform's motion without intermediate linkages. These characteristics make the Stewart platforms particularly valuable in applications requiring high precision and stiffness.
For the NASS application, the Stewart platform architecture offers three key advantages. First, as a fully parallel manipulator, all the motion errors of the micro-station can be compensated through the coordinated action of the six actuators. Second, its compact design compared to serial manipulators makes it ideal for integration on top micro-station where only $95\,mm$ of height is available. Third, the good dynamical properties should enable high-bandwidth positioning control.
While Stewart platforms excel in precision and stiffness, they typically exhibit a relatively limited workspace compared to serial manipulators. However, this limitation is not significant for the NASS application, as the required motion range corresponds to the positioning errors of the micro-station, which are in the order of $10\,\mu m$.
This section provides a comprehensive analysis of the Stewart platform's properties, focusing on aspects crucial for precision positioning applications. The analysis encompasses the platform's kinematic relationships (Section ref:ssec:nhexa_stewart_platform_kinematics), the use of the Jacobian matrix (Section ref:ssec:nhexa_stewart_platform_jacobian), static behavior (Section ref:ssec:nhexa_stewart_platform_static), and dynamic characteristics (Section ref:ssec:nhexa_stewart_platform_dynamics). These theoretical foundations form the basis for subsequent design decisions and control strategies, which will be elaborated in later sections.
Mechanical Architecture
<<ssec:nhexa_stewart_platform_architecture>>
The Stewart platform consists of two rigid platforms connected by six parallel struts (Figure ref:fig:nhexa_stewart_architecture). Each strut is modelled with an active prismatic joint that allows for controlled length variation, with its ends attached to the fixed and mobile platforms through joints. The typical configuration consists of a universal joint at one end and a spherical joint at the other, providing the necessary degrees of freedom20.
To facilitate the rigorous analysis of the Stewart platform, four reference frames were defined:
- The fixed base frame $\{F\}$, which is located at the center of the base platform's bottom surface, serves as the mounting reference for the support structure.
- The mobile frame $\{M\}$, which is located at the center of the top platform's upper platform, provides a reference for payload mounting.
- The point-of-interest frame $\{A\}$, fixed to the base but positioned at the workspace center.
- The moving point-of-interest frame $\{B\}$, attached to the mobile platform coincides with frame $\{A\}$ in the home position.
Frames $\{F\}$ and $\{M\}$ serve primarily to define the joint locations. In contrast, frames $\{A\}$ and $\{B\}$ are used to describe the relative motion of the two platforms through the position vector ${}^A\bm{P}_B$ of frame $\{B\}$ expressed in frame $\{A\}$ and the rotation matrix ${}^A\bm{R}_B$ expressing the orientation of $\{B\}$ with respect to $\{A\}$. For the nano-hexapod, frames $\{A\}$ and $\{B\}$ are chosen to be located at the theoretical focus point of the X-ray light which is $150\,mm$ above the top platform, i.e. above $\{M\}$.
The location of the joints and the orientation and length of the struts are crucial for subsequent kinematic, static, and dynamic analyses of the Stewart platform. The center of rotation for the joint fixed to the base is noted $\bm{a}_i$, while $\bm{b}_i$ is used for the top platform joints. The struts' orientations are represented by the unit vectors $\hat{\bm{s}}_i$ and their lengths are represented by the scalars $l_i$. This is summarized in Figure ref:fig:nhexa_stewart_notations.
Kinematic Analysis
<<ssec:nhexa_stewart_platform_kinematics>>
Loop Closure
The foundation of the kinematic analysis lies in the geometric constraints imposed by each strut, which can be expressed using loop closure equations. For each strut $i$ (illustrated in Figure ref:fig:nhexa_stewart_loop_closure), the loop closure equation eqref:eq:nhexa_loop_closure can be written.
\begin{equation}\label{eq:nhexa_loop_closure} {}^A\bm{P}_B = {}^A\bm{a}_i + l_i{}^A\hat{\bm{s}}_i - _brace{{}^B\bm{b}_i}_{{}^A\bm{R}_B {}^B\bm{b}_i} \quad \text{for } i=1 \text{ to } 6
\end{equation}
This equation links the pose21 variables ${}^A\bm{P}$ and ${}^A\bm{R}_B$, the position vectors describing the known geometry of the base and the moving platform, $\bm{a}_i$ and $\bm{b}_i$, and the strut vector $l_i {}^A\hat{\bm{s}}_i$:
Inverse Kinematics
The inverse kinematic problem involves determining the required strut lengths $\bm{\mathcal{L}} = \left[ l_1, l_2, \ldots, l_6 \right]^{\intercal}$ for a desired platform pose $\bm{\mathcal{X}}$ (i.e. position ${}^A\bm{P}$ and orientation ${}^A\bm{R}_B$). This problem can be solved analytically using the loop closure equations eqref:eq:nhexa_loop_closure. The obtained strut lengths are given by eqref:eq:nhexa_inverse_kinematics.
\begin{equation}\label{eq:nhexa_inverse_kinematics} l_i = \sqrt{{}^A\bm{P}∫ercal {}^A\bm{P} + {}^B\bm{b}_i∫ercal {}^B\bm{b}_i + {}^A\bm{a}_i∫ercal {}^A\bm{a}_i - 2 {}^A\bm{P}∫ercal {}^A\bm{a}_i + 2 {}^A\bm{P}∫ercal ≤ft[{}^A\bm{R}_B {}^B\bm{b}_i\right] - 2 ≤ft[{}^A\bm{R}_B {}^B\bm{b}_i\right]∫ercal {}^A\bm{a}_i}
\end{equation}
If the position and orientation of the platform lie in the feasible workspace, the solution is unique. While configurations outside this workspace yield complex numbers, this only becomes relevant for large displacements that far exceed the nano-hexapod's operating range.
Forward Kinematics
The forward kinematic problem seeks to determine the platform pose $\bm{\mathcal{X}}$ given a set of strut lengths $\bm{\mathcal{L}}$. Unlike inverse kinematics, this presents a significant challenge because it requires solving a system of nonlinear equations. Although various numerical methods exist for solving this problem, they can be computationally intensive and may not guarantee convergence to the correct solution.
For the nano-hexapod application, where displacements are typically small, an approximate solution based on linearization around the operating point provides a practical alternative. This approximation, which is developed in subsequent sections through the Jacobian matrix analysis, is particularly useful for real-time control applications.
The Jacobian Matrix
<<ssec:nhexa_stewart_platform_jacobian>>
Introduction
The Jacobian matrix plays a central role in analyzing the Stewart platform's behavior, providing a linear mapping between the platform and actuator velocities. While the previously derived kinematic relationships are essential for position analysis, the Jacobian enables velocity analysis and forms the foundation for both static and dynamic studies.
Jacobian Computation
As discussed in Section ref:ssec:nhexa_stewart_platform_kinematics, the strut lengths $\bm{\mathcal{L}}$ and the platform pose $\bm{\mathcal{X}}$ are related through a system of nonlinear algebraic equations representing the kinematic constraints imposed by the struts.
By taking the time derivative of the position loop close eqref:eq:nhexa_loop_closure, equation eqref:eq:nhexa_loop_closure_velocity is obtained22.
\begin{equation}\label{eq:nhexa_loop_closure_velocity} {}^A\bm{v}_p + {}^A \dot{\bm{R}}_B {}^B\bm{b}_i + {}^A\bm{R}_B _brace{{}^B\dot{\bm{b}_i}}=0 = \dot{l}_i {}^A\hat{\bm{s}}_i + l_i {}^A\dot{\hat{\bm{s}}}_i + _brace{{}^A\dot{\bm{a}}_i}=0
\end{equation}
Moreover, we have:
- ${}^A\dot{\bm{R}}_B {}^B\bm{b}_i = {}^A\bm{\omega} \times {}^A\bm{R}_B {}^B\bm{b}_i = {}^A\bm{\omega} \times {}^A\bm{b}_i$ in which ${}^A\bm{\omega}$ denotes the angular velocity of the moving platform expressed in the fixed frame $\{\bm{A}\}$.
- $l_i {}^A\dot{\hat{\bm{s}}}_i = l_i \left( {}^A\bm{\omega}_i \times \hat{\bm{s}}_i \right)$ in which ${}^A\bm{\omega}_i$ is the angular velocity of strut $i$ express in fixed frame $\{\bm{A}\}$.
By multiplying both sides by ${}^A\hat{\bm{s}}_i$, eqref:eq:nhexa_loop_closure_velocity_bis is obtained.
\begin{equation}\label{eq:nhexa_loop_closure_velocity_bis} {}^A\hat{\bm{s}}_i {}^A\bm{v}_p + _brace{{}^A\hat{\bm{s}}_i ({}^A\bm{ω} × {}^A\bm{b}_i)}_{=({}^A\bm{b}_i × {}^A\hat{\bm{s}}_i) {}^A\bm{ω}} = \dot{l}_i + _brace{{}^A\hat{s}_i l_i ≤ft( {}^A\bm{ω}_i × {}^A\hat{\bm{s}}_i \right)}=0
\end{equation}
Equation eqref:eq:nhexa_loop_closure_velocity_bis can be rearranged in matrix form to obtain eqref:eq:nhexa_jacobian_velocities, with $\dot{\bm{\mathcal{L}}} = [ \dot{l}_1 \ \dots \ \dot{l}_6 ]^{\intercal}$ the vector of strut velocities, and $\dot{\bm{\mathcal{X}}} = [{}^A\bm{v}_p ,\ {}^A\bm{\omega}]^{\intercal}$ the vector of platform velocity and angular velocity.
\begin{equation}\label{eq:nhexa_jacobian_velocities} \boxed{\dot{\bm{\mathcal{L}}} = \bm{J} \dot{\bm{\mathcal{X}}}}
\end{equation}
The matrix $\bm{J}$ is called the Jacobian matrix and is defined by eqref:eq:nhexa_jacobian, with ${}^A\hat{\bm{s}}_i$ the orientation of the struts expressed in $\{A\}$ and ${}^A\bm{b}_i$ the position of the joints with respect to $O_B$ and express in $\{A\}$.
\begin{equation}\label{eq:nhexa_jacobian}
\bm{J} = \begin{bmatrix}
{{}^A\hat{\bm{s}}_1}∫ercal & ({}^A\bm{b}_1 × {}^A\hat{\bm{s}}_1)∫ercal
{{}^A\hat{\bm{s}}_2}∫ercal & ({}^A\bm{b}_2 × {}^A\hat{\bm{s}}_2)∫ercal
{{}^A\hat{\bm{s}}_3}∫ercal & ({}^A\bm{b}_3 × {}^A\hat{\bm{s}}_3)∫ercal
{{}^A\hat{\bm{s}}_4}∫ercal & ({}^A\bm{b}_4 × {}^A\hat{\bm{s}}_4)∫ercal
{{}^A\hat{\bm{s}}_5}∫ercal & ({}^A\bm{b}_5 × {}^A\hat{\bm{s}}_5)∫ercal
{{}^A\hat{\bm{s}}_6}∫ercal & ({}^A\bm{b}_6 × {}^A\hat{\bm{s}}_6)∫ercal
\end{bmatrix}
\end{equation}
Therefore, the Jacobian matrix $\bm{J}$ links the rate of change of the strut length to the velocity and angular velocity of the top platform with respect to the fixed base through a set of linear equations. However, $\bm{J}$ needs to be recomputed for every Stewart platform pose because it depends on the actual pose of the manipulator.
Approximate solution to the Forward and Inverse Kinematic problems
For small displacements $\delta \bm{\mathcal{X}} = [\delta x, \delta y, \delta z, \delta \theta_x, \delta \theta_y, \delta \theta_z ]^{\intercal}$ around an operating point $\bm{\mathcal{X}}_0$ (for which the Jacobian was computed), the associated joint displacement $\delta\bm{\mathcal{L}} = [\delta l_1,\,\delta l_2,\,\delta l_3,\,\delta l_4,\,\delta l_5,\,\delta l_6]^{\intercal}$ can be computed using the Jacobian eqref:eq:nhexa_inverse_kinematics_approximate.
\begin{equation}\label{eq:nhexa_inverse_kinematics_approximate} \boxed{δ\bm{\mathcal{L}} = \bm{J} δ\bm{\mathcal{X}}}
\end{equation}
Similarly, for small joint displacements $\delta\bm{\mathcal{L}}$, it is possible to find the induced small displacement of the mobile platform eqref:eq:nhexa_forward_kinematics_approximate.
\begin{equation}\label{eq:nhexa_forward_kinematics_approximate} \boxed{δ\bm{\mathcal{X}} = \bm{J}-1 δ\bm{\mathcal{L}}}
\end{equation}
These two relations solve the forward and inverse kinematic problems for small displacement in a approximate way. While this approximation offers limited value for inverse kinematics, which can be solved analytically, it proves particularly useful for the forward kinematic problem where exact analytical solutions are difficult to obtain.
Range validity of the approximate inverse kinematics
The accuracy of the Jacobian-based forward kinematics solution was estimated by a simple analysis. For a series of platform positions, the exact strut lengths are computed using the analytical inverse kinematics equation eqref:eq:nhexa_inverse_kinematics. These strut lengths are then used with the Jacobian to estimate the platform pose eqref:eq:nhexa_forward_kinematics_approximate, from which the error between the estimated and true poses can be calculated, both in terms of position $\epsilon_D$ and orientation $\epsilon_R$.
For motion strokes from $1\,\mu m$ to $10\,mm$, the errors are estimated for all direction of motion, and the worst case errors are shown in Figure ref:fig:nhexa_forward_kinematics_approximate_errors. The results demonstrate that for displacements up to approximately $1\,\%$ of the hexapod's size (which corresponds to $100\,\mu m$ as the size of the Stewart platform is here $\approx 100\,mm$), the Jacobian approximation provides excellent accuracy.
Since the maximum required stroke of the nano-hexapod ($\approx 100\,\mu m$) is three orders of magnitude smaller than its overall size ($\approx 100\,mm$), the Jacobian matrix can be considered constant throughout the workspace. It can be computed once at the rest position and used for both forward and inverse kinematics with high accuracy.
Static Forces
The static force analysis of the Stewart platform can be performed using the principle of virtual work. This principle states that for a system in static equilibrium, the total virtual work of all forces acting on the system must be zero for any virtual displacement compatible with the system's constraints.
Let $\bm{f} = [f_1, f_2, \cdots, f_6]^{\intercal}$ represent the vector of actuator forces applied in each strut, and $\bm{\mathcal{F}} = [\bm{F}, \bm{n}]^{\intercal}$ denote the external wrench (combined force $\bm{F}$ and torque $\bm{n}$) acting on the mobile platform at point $\bm{O}_B$. The virtual work $\delta W$ consists of two contributions:
- The work performed by the actuator forces through virtual strut displacements $\delta \bm{\mathcal{L}}$: $\bm{f}^{\intercal} \delta \bm{\mathcal{L}}$
- The work performed by the external wrench through virtual platform displacements $\delta \bm{\mathcal{X}}$: $-\bm{\mathcal{F}}^{\intercal} \delta \bm{\mathcal{X}}$
Thus, the principle of virtual work can be expressed as:
\begin{equation} \delta W = \bm{f}^{\intercal} \delta \bm{\mathcal{L}} - \bm{\mathcal{F}}^{\intercal} \delta \bm{\mathcal{X}} = 0 \end{equation}Using the Jacobian relationship that links virtual displacements eqref:eq:nhexa_inverse_kinematics_approximate, this equation becomes:
\begin{equation} \left( \bm{f}^{\intercal} \bm{J} - \bm{\mathcal{F}}^{\intercal} \right) \delta \bm{\mathcal{X}} = 0 \end{equation}Because this equation must hold for any virtual displacement $\delta \bm{\mathcal{X}}$, the force mapping relationships eqref:eq:nhexa_jacobian_forces can be derived.
\begin{equation}\label{eq:nhexa_jacobian_forces} \bm{f}∫ercal \bm{J} - \bm{\mathcal{F}}∫ercal = 0 \quad ⇒ \quad \boxed{\bm{\mathcal{F}} = \bm{J}∫ercal \bm{f}} \quad \text{and} \quad \boxed{\bm{f} = \bm{J}-∫ercal \bm{\mathcal{F}}}
\end{equation}
These equations establish that the transpose of the Jacobian matrix maps actuator forces to platform forces and torques, while its inverse transpose maps platform forces and torques to required actuator forces.
Static Analysis
<<ssec:nhexa_stewart_platform_static>>
The static stiffness characteristics of the Stewart platform play a crucial role in its performance, particularly for precision positioning applications. These characteristics are fundamentally determined by both the actuator properties and the platform geometry.
Starting from the individual actuators, the relationship between applied force $f_i$ and resulting displacement $\delta l_i$ for each strut $i$ is characterized by its stiffness $k_i$:
\begin{equation} f_i = k_i \delta l_i, \quad i = 1,\ \dots,\ 6 \end{equation}These individual relationships can be combined into a matrix form using the diagonal stiffness matrix $\bm{\mathcal{K}}$:
\begin{equation} \bm{f} = \bm{\mathcal{K}} \cdot \delta \bm{\mathcal{L}}, \quad \bm{\mathcal{K}} = \text{diag}\left[ k_1,\ \dots,\ k_6 \right] \end{equation}By applying the force mapping relationships eqref:eq:nhexa_jacobian_forces derived in the previous section and the Jacobian relationship for small displacements eqref:eq:nhexa_forward_kinematics_approximate, the relationship between applied wrench $\bm{\mathcal{F}}$ and resulting platform displacement $\delta \bm{\mathcal{X}}$ is obtained eqref:eq:nhexa_stiffness_matrix.
\begin{equation}\label{eq:nhexa_stiffness_matrix} \bm{\mathcal{F}} = _brace{\bm{J}∫ercal \bm{\mathcal{K}} \bm{J}}_{\bm{K}} ⋅ δ \bm{\mathcal{X}}
\end{equation} where $\bm{K} = \bm{J}^{\intercal} \bm{\mathcal{K}} \bm{J}$ is identified as the platform stiffness matrix.
The inverse relationship is given by the compliance matrix $\bm{C}$:
\begin{equation} \delta \bm{\mathcal{X}} = \underbrace{(\bm{J}^{\intercal} \bm{\mathcal{K}} \bm{J})^{-1}}_{\bm{C}} \bm{\mathcal{F}} \end{equation}These relationships reveal that the overall platform stiffness and compliance characteristics are determined by two factors:
- The individual actuator stiffnesses represented by $\bm{\mathcal{K}}$
- The geometric configuration embodied in the Jacobian matrix $\bm{J}$
This geometric dependency means that the platform's stiffness varies throughout its workspace, as the Jacobian matrix changes with the platform's position and orientation. For the NASS application, where the workspace is small compared to the platform dimensions, these variations can be considered negligible. However, the initial geometric configuration significantly affects the overall stiffness characteristics. The relationship between maximum stroke and stiffness presents another important design consideration. As both parameters are influenced by the geometric configuration, their optimization involves inherent trade-offs that must be carefully balanced based on the application requirements. The optimization of this configuration to achieve the desired stiffness while having sufficient stroke will be addressed during the detailed design phase.
Dynamical Analysis
<<ssec:nhexa_stewart_platform_dynamics>>
For initial analysis, a simplified representation of the system has been developed. This model assumes perfectly rigid bodies for both the platform and base, connected by massless struts through ideal joints that exhibit neither friction nor compliance.
Under these assumptions, the system dynamics can be expressed in Cartesian space as:
\begin{equation} \bm{M} s^2 \bm{\mathcal{X}} = \Sigma \bm{\mathcal{F}} \end{equation}where $\bm{M}$ represents the platform mass matrix, $\bm{\mathcal{X}}$ the platform pose, and $\Sigma \bm{\mathcal{F}}$ the sum of forces acting on the platform.
The primary forces acting on the system are actuator forces $\bm{f}$, elastic forces due to strut stiffness $-\bm{\mathcal{K}} \bm{\mathcal{L}}$ and damping forces in the struts $\bm{\mathcal{C}} \dot{\bm{\mathcal{L}}}$.
\begin{equation} \Sigma \bm{\mathcal{F}} = \bm{J}^{\intercal} (\bm{f} - \bm{\mathcal{K}} \bm{\mathcal{L}} - s \bm{\mathcal{C}} \bm{\mathcal{L}}), \quad \bm{\mathcal{K}} = \text{diag}(k_1\,\dots\,k_6),\ \bm{\mathcal{C}} = \text{diag}(c_1\,\dots\,c_6) \end{equation}Combining these forces and using eqref:eq:nhexa_forward_kinematics_approximate yields the complete dynamic equation eqref:eq:nhexa_dynamical_equations.
\begin{equation}\label{eq:nhexa_dynamical_equations} \bm{M} s^2 \bm{\mathcal{X}} = \bm{\mathcal{F}} - \bm{J}∫ercal \bm{\mathcal{K}} \bm{J} \bm{\mathcal{X}} - \bm{J}∫ercal \bm{\mathcal{C}} \bm{J} s \bm{\mathcal{X}}
\end{equation}
The transfer function matrix in the Cartesian frame becomes eqref:eq:nhexa_transfer_function_cart.
\begin{equation}\label{eq:nhexa_transfer_function_cart} \frac{{\mathcal{X}}}{\bm{\mathcal{F}}}(s) = ( \bm{M} s^2 + \bm{J}∫ercal \bm{\mathcal{C}} \bm{J} s + \bm{J}∫ercal \bm{\mathcal{K}} \bm{J} )-1
\end{equation}
Through coordinate transformation using the Jacobian matrix, the dynamics in the actuator space is obtained eqref:eq:nhexa_transfer_function_struts.
\begin{equation}\label{eq:nhexa_transfer_function_struts} \frac{\bm{\mathcal{L}}}{\bm{f}}(s) = ( \bm{J}-∫ercal \bm{M} \bm{J}-1 s^2 + \bm{\mathcal{C}} + \bm{\mathcal{K}} )-1
\end{equation}
Although this simplified model provides useful insights, real Stewart platforms exhibit more complex behaviors. Several factors can significantly increase the model complexity, such as:
- Strut dynamics, including mass distribution and internal resonances cite:&afzali-far16_inert_matrix_hexap_strut_joint_space;&chen04_decoup_contr_flexur_joint_hexap
- Joint compliance and friction effects cite:&mcinroy00_desig_contr_flexur_joint_hexap;&mcinroy02_model_desig_flexur_joint_stewar
- Supporting structure dynamics and payload dynamics, which are both very critical for NASS
These additional effects render analytical modeling impractical for complete system analysis.
Conclusion
The fundamental characteristics of the Stewart platform have been analyzed in this chapter. Essential kinematic relationships were developed through loop closure equations, from which both exact and approximate solutions for the inverse and forward kinematic problems were derived. The Jacobian matrix was established as a central mathematical tool through which crucial insights into velocity relationships, static force transmission, and dynamic behavior of the platform were obtained.
For the NASS application, where displacements are typically limited to the micrometer range, the accuracy of linearized models using a constant Jacobian matrix has been demonstrated, by which both analysis and control can be significantly simplified. However, additional complexities such as strut masses, joint compliance, and supporting structure dynamics must be considered in the full dynamic behavior. This will be performed in the next section using a multi-body model.
All these characteristics (maneuverability, stiffness, dynamics, etc.) are fundamentally determined by the platform's geometry. While a reasonable geometric configuration will be used to validate the NASS during the conceptual phase, the optimization of these geometric parameters will be explored during the detailed design phase.
Multi-Body Model
<<sec:nhexa_model>>
Introduction
The dynamic modeling of Stewart platforms has traditionally relied on analytical approaches. However, these analytical models become increasingly complex when the dynamical behaviors of struts and joints must be captured. To overcome these limitations, a flexible multi-body approach was developed that can be readily integrated into the broader NASS model. Through this multi-body modeling approach, each component model (including joints, actuators, and sensors) can be progressively refined.
The analysis is structured as follows. First, the multi-body model is developed, and the geometric parameters, inertial properties, and actuator characteristics are established (Section ref:ssec:nhexa_model_def). The model is then validated through comparison with the analytical equations in a simplified configuration (Section ref:ssec:nhexa_model_validation). Finally, the validated model is employed to analyze the nano-hexapod dynamics, from which insights for the control system design are derived (Section ref:ssec:nhexa_model_dynamics).
Model Definition
<<ssec:nhexa_model_def>>
Geometry
The Stewart platform's geometry is defined by two principal coordinate frames (Figure ref:fig:nhexa_stewart_model_def): a fixed base frame $\{F\}$ and a moving platform frame $\{M\}$. The joints connecting the actuators to these frames are located at positions ${}^F\bm{a}_i$ and ${}^M\bm{b}_i$ respectively. The point of interest, denoted by frame $\{A\}$, is situated $150\,mm$ above the moving platform frame $\{M\}$.
The geometric parameters of the nano-hexapod are summarized in Table ref:tab:nhexa_stewart_model_geometry. These parameters define the positions of all connection points in their respective coordinate frames. From these parameters, key kinematic properties can be derived: the strut orientations $\hat{\bm{s}}_i$, strut lengths $l_i$, and the system's Jacobian matrix $\bm{J}$.
\hfill
| $\bm{x}$ | $\bm{y}$ | $\bm{z}$ | |
|---|---|---|---|
| ${}^M\bm{O}_B$ | $0$ | $0$ | $150$ |
| ${}^F\bm{O}_M$ | $0$ | $0$ | $95$ |
| ${}^F\bm{a}_1$ | $-92$ | $-77$ | $20$ |
| ${}^F\bm{a}_2$ | $92$ | $-77$ | $20$ |
| ${}^F\bm{a}_3$ | $113$ | $-41$ | $20$ |
| ${}^F\bm{a}_4$ | $21$ | $118$ | $20$ |
| ${}^F\bm{a}_5$ | $-21$ | $118$ | $20$ |
| ${}^F\bm{a}_6$ | $-113$ | $-41$ | $20$ |
| ${}^M\bm{b}_1$ | $-28$ | $-106$ | $-20$ |
| ${}^M\bm{b}_2$ | $28$ | $-106$ | $-20$ |
| ${}^M\bm{b}_3$ | $106$ | $28$ | $-20$ |
| ${}^M\bm{b}_4$ | $78$ | $78$ | $-20$ |
| ${}^M\bm{b}_5$ | $-78$ | $78$ | $-20$ |
| ${}^M\bm{b}_6$ | $-106$ | $28$ | $-20$ |
Inertia of Plates
The fixed base and moving platform were modeled as solid cylindrical bodies. The base platform was characterized by a radius of $120\,mm$ and thickness of $15\,mm$, matching the dimensions of the micro-hexapod's top platform. The moving platform was similarly modeled with a radius of $110\,mm$ and thickness of $15\,mm$. Both platforms were assigned a mass of $5\,kg$.
Joints
The platform's joints play a crucial role in its dynamic behavior. At both the upper and lower connection points, various degrees of freedom can be modeled, including universal joints, spherical joints, and configurations with additional axial and lateral stiffness components. For each degree of freedom, stiffness characteristics can be incorporated into the model.
In the conceptual design phase, a simplified joint configuration is employed: the bottom joints are modeled as two-degree-of-freedom universal joints, while the top joints are represented as three-degree-of-freedom spherical joints. These joints are considered massless and exhibit no stiffness along their degrees of freedom.
Actuators
The actuator model comprises several key elements (Figure ref:fig:nhexa_actuator_model). At its core, each actuator is modeled as a prismatic joint with internal stiffness $k_a$ and damping $c_a$, driven by a force source $f$. Similarly to what was found using the rotating 3-DoF model, a parallel stiffness $k_p$ is added in parallel with the force sensor to ensure stability when considering spindle rotation effects.
Each actuator is equipped with two sensors: a force sensor providing measurements $f_n$ and a relative motion sensor that measures the strut length $l_i$. The actuator parameters used in the conceptual phase are listed in Table ref:tab:nhexa_actuator_parameters.
This modular approach to actuator modeling allows for future refinements as the design evolves, enabling the incorporation of additional dynamic effects or sensor characteristics as needed.
\hfill
| Value | |
|---|---|
| $k_a$ | $1\,N/\mu m$ |
| $c_a$ | $50\,N/(m/s)$ |
| $k_p$ | $0.05\,N/\mu m$ |
Validation of the multi-body model
<<ssec:nhexa_model_validation>>
The developed multi-body model of the Stewart platform is represented schematically in Figure ref:fig:nhexa_stewart_model_input_outputs, highlighting the key inputs and outputs: actuator forces $\bm{f}$, force sensor measurements $\bm{f}_n$, and relative displacement measurements $\bm{\mathcal{L}}$. The frames $\{F\}$ and $\{M\}$ serve as interfaces for integration with other elements in the multi-body system. A three-dimensional visualization of the model is presented in Figure ref:fig:nhexa_simscape_screenshot.
\hfill
The validation of the multi-body model was performed using the simplest Stewart platform configuration, enabling direct comparison with the analytical transfer functions derived in Section ref:ssec:nhexa_stewart_platform_dynamics. This configuration consists of massless universal joints at the base, massless spherical joints at the top platform, and massless struts with stiffness $k_a = 1\,\text{N}/\mu\text{m}$ and damping $c_a = 10\,\text{N}/({\text{m}/\text{s}})$. The geometric parameters remain as specified in Table ref:tab:nhexa_actuator_parameters.
While the moving platform itself is considered massless, a $10\,\text{kg}$ cylindrical payload is mounted on top with a radius of $r = 110\,mm$ and a height $h = 300\,mm$.
For the analytical model, the stiffness, damping, and mass matrices are defined in eqref:eq:nhexa_analytical_matrices.
\begin{subequations}\label{eq:nhexa_analytical_matrices}
\begin{align} \bm{\mathcal{K}} &= \text{diag}(k_a,\ k_a,\ k_a,\ k_a,\ k_a,\ k_a) \\ \bm{\mathcal{C}} &= \text{diag}(c_a,\ c_a,\ c_a,\ c_a,\ c_a,\ c_a) \\ \bm{M} &= \text{diag}\left(m,\ m,\ m,\ \frac{1}{12}m(3r^2 + h^2),\ \frac{1}{12}m(3r^2 + h^2),\ \frac{1}{2}mr^2\right) \end{align}\end{subequations}
The transfer functions from the actuator forces to the strut displacements are computed using these matrices according to equation eqref:eq:nhexa_transfer_function_struts. These analytical transfer functions are then compared with those extracted from the multi-body model. The developed multi-body model yields a state-space representation with 12 states, corresponding to the six degrees of freedom of the moving platform.
Figure ref:fig:nhexa_comp_multi_body_analytical presents a comparison between the analytical and multi-body transfer functions, specifically showing the response from the first actuator force to all six strut displacements. The close agreement between both approaches across the frequency spectrum validates the multi-body model's accuracy in capturing the system's dynamic behavior.
Nano Hexapod Dynamics
<<ssec:nhexa_model_dynamics>>
Following the validation of the multi-body model, a detailed analysis of the nano-hexapod dynamics was performed. The model parameters were set according to the specifications outlined in Section ref:ssec:nhexa_model_def, with a payload mass of $10\,kg$. The transfer functions from actuator forces $\bm{f}$ to both strut displacements $\bm{\mathcal{L}}$ and force measurements $\bm{f}_n$ were derived from the multi-body model.
The transfer functions relating actuator forces to strut displacements are presented in Figure ref:fig:nhexa_multi_body_plant_dL. Due to the system's symmetrical design and identical strut configurations, all diagonal terms (transfer functions from force $f_i$ to displacement $l_i$ of the same strut) exhibit identical behavior. While the system has six degrees of freedom, only four distinct resonance frequencies were observed in the frequency response. This reduction from six to four observable modes is attributed to the system's symmetry, where two pairs of resonances occur at identical frequencies.
The system's behavior can be characterized in three frequency regions. At low frequencies, well below the first resonance, the plant demonstrates good decoupling between actuators, with the response dominated by the strut stiffness: $\bm{G}(j\omega) \xrightarrow[\omega \to 0]{} \bm{\mathcal{K}}^{-1}$. In the mid-frequency range, the system exhibits coupled dynamics through its resonant modes, reflecting the complex interactions between the platform's degrees of freedom. At high frequencies, above the highest resonance, the response is governed by the payload's inertia mapped to the strut coordinates: $\bm{G}(j\omega) \xrightarrow[\omega \to \infty]{} \bm{J} \bm{M}^{-\intercal} \bm{J}^{\intercal} \frac{-1}{\omega^2}$
The force sensor transfer functions, shown in Figure ref:fig:nhexa_multi_body_plant_fm, display characteristics typical of collocated actuator-sensor pairs. Each actuator's transfer function to its associated force sensor exhibits alternating complex conjugate poles and zeros. The inclusion of parallel stiffness introduces an additional complex conjugate zero at low frequency, which was previously observed in the three-degree-of-freedom rotating model.
Conclusion
The multi-body modeling approach presented in this section provides a comprehensive framework for analyzing the dynamics of the nano-hexapod system. Through comparison with analytical solutions in a simplified configuration, the model's accuracy has been validated, demonstrating its ability to capture the essential dynamic behavior of the Stewart platform.
A key advantage of this modeling approach lies in its flexibility for future refinements. While the current implementation employs idealized joints for the conceptual design phase, the framework readily accommodates the incorporation of joint stiffness and other non-ideal effects. The joint stiffness, which is known to impact the performance of decentralized IFF control strategy cite:&preumont07_six_axis_singl_stage_activ, will be studied and optimized during the detailed design phase. The validated multi-body model will serve as a valuable tool for predicting system behavior and evaluating control performance throughout the design process.
Control of Stewart Platforms
<<sec:nhexa_control>>
Introduction
The control of Stewart platforms presents distinct challenges compared to the uniaxial model due to their multi-input multi-output nature. Although the uniaxial model demonstrated the effectiveness of the HAC-LAC strategy, its extension to Stewart platforms requires careful considerations discussed in this section.
First, the distinction between centralized and decentralized control approaches is discussed in Section ref:ssec:nhexa_control_centralized_decentralized. The impact of the control space selection - either Cartesian or strut space - is then analyzed in Section ref:ssec:nhexa_control_space, highlighting the trade-offs between direction-specific tuning and implementation simplicity.
Building on these analyses, a decentralized active damping strategy using Integral Force Feedback is developed in Section ref:ssec:nhexa_control_iff, followed by the implementation of a centralized High Authority Control for positioning in Section ref:ssec:nhexa_control_hac_lac. This architecture, while simple, will be used to demonstrate the feasibility of the NASS concept and will provide a foundation for more sophisticated control strategies to be developed during the detailed design phase.
Centralized and Decentralized Control
<<ssec:nhexa_control_centralized_decentralized>>
In the control of MIMO systems, and more specifically of Stewart platforms, a fundamental architectural decision lies in the choice between centralized and decentralized control strategies.
In decentralized control, each actuator operates based on feedback from its associated sensor only, creating independent control loops, as illustrated in Figure ref:fig:nhexa_stewart_decentralized_control. While mechanical coupling between the struts exists, control decisions are made locally, with each controller processing information from a single sensor-actuator pair. This approach offers simplicity in implementation and reduces computational requirements.
Conversely, centralized control uses information from all sensors to determine the control action of each actuator. This strategy potentially enables better performance by explicitly accounting for the mechanical coupling between the struts, though at the cost of increased complexity in both design and implementation.
The choice between these approaches depends significantly on the degree of interaction between the different control channels, and also on the available sensors and actuators. For instance, when using external metrology systems that measure the platform's global position, centralized control becomes necessary because each sensor measurement depends on all actuator inputs.
In the context of the nano-hexapod, two distinct control strategies were examined during the conceptual phase:
- Decentralized Integral Force Feedback (IFF), which uses collocated force sensors to implement independent control loops for each strut (Section ref:ssec:nhexa_control_iff)
- High-Authority Control (HAC), which employs a centralized approach to achieve precise positioning based on external metrology measurements (Section ref:ssec:nhexa_control_hac_lac)
Choice of the Control Space
<<ssec:nhexa_control_space>>
When controlling a Stewart platform using external metrology that measures the pose of frame $\{B\}$ with respect to $\{A\}$, denoted as $\bm{\mathcal{X}}$, the control architecture can be implemented in either Cartesian or strut space. This choice affects both the control design and the obtained performance.
Control in the Strut space
In this approach, as illustrated in Figure ref:fig:nhexa_control_strut, the control is performed in the space of the struts. The Jacobian matrix is used to solve the inverse kinematics in real-time by mapping position errors from Cartesian space $\bm{\epsilon}_{\mathcal{X}}$ to strut space $\bm{\epsilon}_{\mathcal{L}}$. A diagonal controller then processes these strut-space errors to generate force commands for each actuator.
The main advantage of this approach emerges from the plant characteristics in the strut space, as shown in Figure ref:fig:nhexa_plant_frame_struts. The diagonal terms of the plant (transfer functions from force to displacement of the same strut, as measured by the external metrology) are identical due to the system's symmetry. This simplifies the control design because only one controller needs to be tuned. Furthermore, at low frequencies, the plant exhibits good decoupling between the struts, allowing for effective independent control of each axis.
Control in Cartesian Space
Alternatively, control can be implemented directly in Cartesian space, as illustrated in Figure ref:fig:nhexa_control_cartesian. Here, the controller processes Cartesian errors $\bm{\epsilon}_{\mathcal{X}}$ to generate forces and torques $\bm{\mathcal{F}}$, which are then mapped to actuator forces using the transpose of the inverse Jacobian matrix eqref:eq:nhexa_jacobian_forces.
The plant behavior in Cartesian space, illustrated in Figure ref:fig:nhexa_plant_frame_cartesian, reveals interesting characteristics. Some degrees of freedom, particularly the vertical translation and rotation about the vertical axis, exhibit simpler second-order dynamics. A key advantage of this approach is that the control performance can be tuned individually for each direction. This is particularly valuable when performance requirements differ between degrees of freedom - for instance, when higher positioning accuracy is required vertically than horizontally, or when certain rotational degrees of freedom can tolerate larger errors than others.
However, significant coupling exists between certain degrees of freedom, particularly between rotations and translations (e.g., $\epsilon_{R_x}/\mathcal{F}_y$ or $\epsilon_{D_y}/\bm\mathcal{M}_x$).
For the conceptual validation of the nano-hexapod, control in the strut space was selected due to its simpler implementation and the beneficial decoupling properties observed at low frequencies. More sophisticated control strategies will be explored during the detailed design phase.
Active Damping with Decentralized IFF
<<ssec:nhexa_control_iff>>
The decentralized Integral Force Feedback (IFF) control strategy is implemented using independent control loops for each strut, similarly to what is shown in Figure ref:fig:nhexa_stewart_decentralized_control, but using force sensors instead of relative motion sensors.
The corresponding block diagram of the control loop is shown in Figure ref:fig:nhexa_decentralized_iff_schematic, in which the controller $\bm{K}_{\text{IFF}}(s)$ is a diagonal matrix, where each diagonal element is a pure integrator eqref:eq:nhexa_kiff.
\begin{equation}\label{eq:nhexa_kiff} \bm{K}_{\text{IFF}}(s) = g ⋅ \begin{bmatrix} K_{\text{IFF}}(s) & & 0 \\ & \ddots & \\ 0 & & K_{\text{IFF}}(s) \end{bmatrix}, \quad K_{\text{IFF}}(s) = \frac{1}{s}
\end{equation}
In this section, the stiffness in parallel with the force sensor was omitted since the Stewart platform is not subjected to rotation. The effect of this parallel stiffness is examined in the next section when the platform is integrated into the complete NASS.
Root Locus analysis, shown in Figure ref:fig:nhexa_decentralized_iff_root_locus, reveals the evolution of the closed-loop poles as the controller gain $g$ varies from $0$ to $\infty$. A key characteristic of force feedback control with collocated sensor-actuator pairs is observed: all closed-loop poles are bounded to the left-half plane, indicating guaranteed stability cite:&preumont08_trans_zeros_struc_contr_with. This property is particularly valuable because the coupling is very large around resonance frequencies, enabling control of modes that would be difficult to include within the bandwidth using position feedback alone.
The bode plot of an individual loop gain (i.e. the loop gain of $K_{\text{IFF}}(s) \cdot \frac{f_{ni}}{f_i}(s)$), presented in Figure ref:fig:nhexa_decentralized_iff_loop_gain, exhibits the typical characteristics of integral force feedback of having a phase bounded between $-90^o$ and $+90^o$. The loop-gain is high around the resonance frequencies, indicating that the decentralized IFF provides significant control authority over these modes. This high gain, combined with the bounded phase, enables effective damping of the resonant modes while maintaining stability.
MIMO High-Authority Control - Low-Authority Control
<<ssec:nhexa_control_hac_lac>>
The design of the High Authority Control positioning loop is now examined. The complete HAC-IFF control architecture is illustrated in Figure ref:fig:nhexa_hac_iff_schematic, where the reference signal $\bm{r}_{\mathcal{X}}$ represents the desired pose, and $\bm{\mathcal{X}}$ is the measured pose by the external metrology system.
Following the analysis from Section ref:ssec:nhexa_control_space, the control is implemented in the strut space. The Jacobian matrix $\bm{J}^{-1}$ performs (approximate) real-time approximate inverse kinematics to map position errors from Cartesian space $\bm{\epsilon}_{\mathcal{X}}$ to strut space $\bm{\epsilon}_{\mathcal{L}}$. A diagonal High Authority Controller $\bm{K}_{\text{HAC}}$ then processes these errors in the frame of the struts.
The effect of decentralized IFF on the plant dynamics can be observed by comparing two sets of transfer functions. Figure ref:fig:nhexa_decentralized_hac_iff_plant_undamped shows the original transfer functions from actuator forces $\bm{f}$ to strut errors $\bm{\epsilon}_{\mathcal{L}}$, which are characterized by pronounced resonant peaks. When the decentralized IFF is implemented, the transfer functions from modified inputs $\bm{f}^{\prime}$ to strut errors $\bm{\epsilon}_{\mathcal{L}}$ exhibit significantly attenuated resonances (Figure ref:fig:nhexa_decentralized_hac_iff_plant_damped). This damping of structural resonances serves two purposes: it reduces vibrations near resonances and simplifies the design of the high authority controller by providing simpler plant dynamics.
Based upon the damped plant dynamics shown in Figure ref:fig:nhexa_decentralized_hac_iff_plant_damped, a high authority controller was designed with the structure given in eqref:eq:nhexa_khac. The controller combines three elements: an integrator providing high gain at low frequencies, a lead compensator improving stability margins, and a low-pass filter for robustness against unmodeled high-frequency dynamics. The loop gain of an individual control channel is shown in Figure ref:fig:nhexa_decentralized_hac_iff_loop_gain.
\begin{equation}\label{eq:nhexa_khac} \bm{K}_{\text{HAC}}(s) = \begin{bmatrix} K_{\text{HAC}}(s) & & 0 \\ & \ddots & \\ 0 & & K_{\text{HAC}}(s) \end{bmatrix}, \quad K_{\text{HAC}}(s) = g_0 ⋅ _brace{\frac{ω_c}{s}}_{\text{int}} ⋅ _brace{\frac{1}{\sqrt{α}}\frac{1 + \frac{s}{ω_c/\sqrt{α}}}{1 + \frac{s}{ω_c\sqrt{α}}}}_{\text{lead}} ⋅ _brace{\frac{1}{1 + \frac{s}{ω_0}}}_{\text{LPF}}
\end{equation}
The stability of the MIMO feedback loop is analyzed through the characteristic loci method. Such characteristic loci represent the eigenvalues of the loop gain matrix $\bm{G}(j\omega)\bm{K}(j\omega)$ plotted in the complex plane as the frequency varies from $0$ to $\infty$. For MIMO systems, this method generalizes the classical Nyquist stability criterion: with the open-loop system being stable, the closed-loop system is stable if none of the characteristic loci encircle the -1 point cite:&skogestad07_multiv_feedb_contr. As shown in Figure ref:fig:nhexa_decentralized_hac_iff_root_locus, all loci remain to the right of the $-1$ point, validating the stability of the closed-loop system. Additionally, the distance of the loci from the $-1$ point provides information about stability margins of the coupled system.
Conclusion
The control architecture developed for the uniaxial and the rotating models was adapted for the Stewart platform.
Two fundamental choices were first addressed: the selection between centralized and decentralized approaches and the choice of control space. While control in Cartesian space enables direction-specific performance tuning, implementation in strut space was selected for the conceptual design phase due to two key advantages: good decoupling at low frequencies and identical diagonal terms in the plant transfer functions, allowing a single controller design to be replicated across all struts.
The HAC-LAC strategy was then implemented. The inner loop implements decentralized Integral Force Feedback for active damping. The collocated nature of the force sensors ensures stability despite strong coupling between struts at resonance frequencies, enabling effective damping of structural modes. The outer loop implements High Authority Control, enabling precise positioning of the mobile platform.
Conclusion
<<sec:nhexa_conclusion>>
After evaluating various architectures, the Stewart platform was selected for the active platform. The parallel kinematic structure offers superior dynamical characteristics, and its compact design satisfies the strict space constraints of the NASS. The extensive literature on Stewart platforms, including kinematic analysis, dynamic modeling and control, provides a robust theoretical foundation for this choice.
A configurable multi-body model of the Stewart platform was developed and validated against analytical equations. The modular nature of the model allows for progressive refinement of individual components (plates, joints and actuators) and geometry, making it a valuable tool throughout the development process. The validated model will be integrated into the broader multi-body representation of the micro-station, enabling comprehensive analysis of the complete NASS.
The use of this model extends beyond the current conceptual phase. It will serve as a crucial tool during the detailed design phase, where it will be used to optimize the design and guide the development of sophisticated control strategies. Furthermore, during the experimental phase, it will provide a theoretical framework for comparing and understanding measured dynamics.
The control aspects of the Stewart platform were addressed with particular attention to the challenges posed by its multi-input multi-output nature. Although the coupled dynamics of the system suggest the potential benefit of advanced control strategies, a simplified architecture was proposed for the validation of the NASS concept. This approach combines decentralized Integral Force Feedback for active damping with High Authority Control for positioning, which was implemented in the strut space to leverage the natural decoupling observed at low frequencies.
This study establishes the theoretical framework necessary for the subsequent development and validation of the NASS.
Validation of the Concept
<<sec:nass>>
Introduction
The previous chapters have established crucial foundational elements for the development of the Nano Active Stabilization System (NASS). The uniaxial model study demonstrated that very stiff nano-hexapod configurations should be avoided due to their high coupling with the micro-station dynamics. A rotating three-degree-of-freedom model revealed that soft nano-hexapod designs prove unsuitable due to gyroscopic effect induced by the spindle rotation. To further improve the model accuracy, a multi-body model of the micro-station was developed, which was carefully tuned using experimental modal analysis. Furthermore, a multi-body model of the nano-hexapod was created, that can then be seamlessly integrated with the micro-station model, as illustrated in Figure ref:fig:nass_simscape_model.
Building upon these foundations, this chapter presents the validation of the NASS concept. The investigation begins with the previously established nano-hexapod model with actuator stiffness $k_a = 1\,N/\mu m$. A thorough examination of the control kinematics is presented in Section ref:sec:nass_kinematics, detailing how both external metrology and nano-hexapod internal sensors are used in the control architecture. The control strategy is then implemented in two steps: first, the decentralized IFF is used for active damping (Section ref:sec:nass_active_damping), then a High Authority Control is develop to stabilize the sample's position in a large bandwidth (Section ref:sec:nass_hac).
The robustness of the proposed control scheme was evaluated under various operational conditions. Particular attention was paid to system performance under changing payload masses and varying spindle rotational velocities.
This chapter concludes the conceptual design phase, with the simulation of tomography experiments providing strong evidence for the viability of the proposed NASS architecture.
Control Kinematics
<<sec:nass_kinematics>>
Introduction
Figure ref:fig:nass_concept_schematic presents a schematic overview of the NASS. This section focuses on the components of the "Instrumentation and Real-Time Control" block.
As established in the previous section on Stewart platforms, the proposed control strategy combines Decentralized Integral Force Feedback with a High Authority Controller performed in the frame of the struts.
For the Nano Active Stabilization System, computing the positioning errors in the frame of the struts involves three key steps. First, desired sample pose with respect to a fixed reference frame is computed using the micro-station kinematics as detailed in Section ref:ssec:nass_ustation_kinematics. This fixed frame is located at the X-ray beam focal point, as it is where the point of interest needs to be positioned. Second, it measures the actual sample pose relative to the same fix frame, described in Section ref:ssec:nass_sample_pose_error. Finally, it determines the sample pose error and maps these errors to the nano-hexapod struts, as explained in Section ref:ssec:nass_error_struts.
The complete control architecture is described in Section ref:ssec:nass_control_architecture.
Micro Station Kinematics
<<ssec:nass_ustation_kinematics>>
The micro-station kinematics enables the computation of the desired sample pose from the reference signals of each micro-station stage. These reference signals consist of the desired lateral position $r_{D_y}$, tilt angle $r_{R_y}$, and spindle angle $r_{R_z}$. The micro-hexapod pose is defined by six parameters: three translations ($r_{D_{\mu x}}$, $r_{D_{\mu y}}$, $r_{D_{\mu z}}$) and three rotations ($r_{\theta_{\mu x}}$, $r_{\theta_{\mu y}}$, $r_{\theta_{\mu z}}$).
Using these reference signals, the desired sample position relative to the fixed frame is expressed through the homogeneous transformation matrix $\bm{T}_{\mu\text{-station}}$, as defined in equation eqref:eq:nass_sample_ref.
\begin{equation}\label{eq:nass_sample_ref} \bm{T}_{μ\text{-station}} = \bm{T}D_y ⋅ \bm{T}R_y ⋅ \bm{T}R_z ⋅ \bm{T}_{μ\text{-hexapod}}
\end{equation}
\begin{equation}\label{eq:nass_ustation_matrices}
\begin{align} \bm{T}_{D_y} &= \begin{bmatrix} 1 & 0 & 0 & 0 \\ 0 & 1 & 0 & r_{D_y} \\ 0 & 0 & 1 & 0 \\ 0 & 0 & 0 & 1 \end{bmatrix} \quad \bm{T}_{\mu\text{-hexapod}} = \left[ \begin{array}{ccc|c} & & & r_{D_{\mu x}} \\ & \bm{R}_x(r_{\theta_{\mu x}}) \bm{R}_y(r_{\theta_{\mu y}}) \bm{R}_{z}(r_{\theta_{\mu z}}) & & r_{D_{\mu y}} \\ & & & r_{D_{\mu z}} \cr \hline 0 & 0 & 0 & 1 \end{array} \right] \\ \bm{T}_{R_z} &= \begin{bmatrix} \cos(r_{R_z}) & -\sin(r_{R_z}) & 0 & 0 \\ \sin(r_{R_z}) & \cos(r_{R_z}) & 0 & 0 \\ 0 & 0 & 1 & 0 \\ 0 & 0 & 0 & 1 \end{bmatrix} \quad \bm{T}_{R_y} = \begin{bmatrix} \cos(r_{R_y}) & 0 & \sin(r_{R_y}) & 0 \\ 0 & 1 & 0 & 0 \\ -\sin(r_{R_y}) & 0 & \cos(r_{R_y}) & 0 \\ 0 & 0 & 0 & 1 \end{bmatrix} \end{align}\end{equation}
Computation of the sample's pose error
<<ssec:nass_sample_pose_error>>
The external metrology system measures the sample position relative to the fixed granite. Due to the system's symmetry, this metrology provides measurements for five degrees of freedom: three translations ($D_x$, $D_y$, $D_z$) and two rotations ($R_x$, $R_y$).
The sixth degree of freedom ($R_z$) is still required to compute the errors in the frame of the nano-hexapod struts (i.e. to compute the nano-hexapod inverse kinematics). This $R_z$ rotation is estimated by combining measurements from the spindle encoder and the nano-hexapod's internal metrology, which consists of relative motion sensors in each strut (note that the micro-hexapod is not used for $R_z$ rotation, and is therefore ignored for $R_z$ estimation).
The measured sample pose is represented by the homogeneous transformation matrix $\bm{T}_{\text{sample}}$, as shown in equation eqref:eq:nass_sample_pose.
\begin{equation}\label{eq:nass_sample_pose} \bm{T}_{\text{sample}} = ≤ft[ \begin{array}{ccc|c} & & & D_{x} \\ & \bm{R}_x(R_{x}) \bm{R}_y(R_{y}) \bm{R}_{z}(R_{z}) & & D_{y} \\ & & & D_{z} \cr \hline 0 & 0 & 0 & 1 \end{array} \right]
\end{equation}
Position error in the frame of the struts
<<ssec:nass_error_struts>>
The homogeneous transformation formalism enables straightforward computation of the sample position error. This computation involves the previously computed homogeneous $4 \times 4$ matrices: $\bm{T}_{\mu\text{-station}}$ representing the desired pose, and $\bm{T}_{\text{sample}}$ representing the measured pose. Their combination yields $\bm{T}_{\text{error}}$, which expresses the position error of the sample in the frame of the rotating nano-hexapod, as shown in equation eqref:eq:nass_transformation_error.
\begin{equation}\label{eq:nass_transformation_error} \bm{T}_{\text{error}} = \bm{T}_{μ\text{-station}}-1 ⋅ \bm{T}_{\text{sample}}
\end{equation}
The known structure of the homogeneous transformation matrix facilitates efficient real-time inverse computation. From $\bm{T}_{\text{error}}$, the position and orientation errors $\bm{\epsilon}_{\mathcal{X}} = [\epsilon_{D_x},\ \epsilon_{D_y},\ \epsilon_{D_z},\ \epsilon_{R_x},\ \epsilon_{R_y},\ \epsilon_{R_z}]$ of the sample are extracted using equation eqref:eq:nass_compute_errors:
\begin{equation}\label{eq:nass_compute_errors}
\begin{align} \epsilon_{D_x} & = \bm{T}_{\text{error}}(1,4) \\ \epsilon_{D_y} & = \bm{T}_{\text{error}}(2,4) \\ \epsilon_{D_z} & = \bm{T}_{\text{error}}(3,4) \\ \epsilon_{R_y} & = \text{atan2}(\bm{T}_{\text{error}}(1,3), \sqrt{\bm{T}_{\text{error}}(1,1)^2 + \bm{T}_{\text{error}}(1,2)^2}) \\ \epsilon_{R_x} & = \text{atan2}(-\bm{T}_{\text{error}}(2,3)/\cos(\epsilon_{R_y}), \bm{T}_{\text{error}}(3,3)/\cos(\epsilon_{R_y})) \\ \epsilon_{R_z} & = \text{atan2}(-\bm{T}_{\text{error}}(1,2)/\cos(\epsilon_{R_y}), \bm{T}_{\text{error}}(1,1)/\cos(\epsilon_{R_y})) \\ \end{align}\end{equation}
Finally, these errors are mapped to the strut space using the nano-hexapod Jacobian matrix eqref:eq:nass_inverse_kinematics.
\begin{equation}\label{eq:nass_inverse_kinematics} \bm{ε}_{\mathcal{L}} = \bm{J} ⋅ \bm{ε}_{\mathcal{X}}
\end{equation}
Control Architecture - Summary
<<ssec:nass_control_architecture>>
The complete control architecture is summarized in Figure ref:fig:nass_control_architecture. The sample pose is measured using external metrology for five degrees of freedom, while the sixth degree of freedom (Rz) is estimated by combining measurements from the nano-hexapod encoders and spindle encoder.
The sample reference pose is determined by the reference signals of the translation stage, tilt stage, spindle, and micro-hexapod. The position error computation follows a two-step process: first, homogeneous transformation matrices are used to determine the error in the nano-hexapod frame. Then, the Jacobian matrix $\bm{J}$ maps these errors to individual strut coordinates.
For control purposes, force sensors mounted on each strut are used in a decentralized manner for active damping, as detailed in Section ref:sec:nass_active_damping. Then, the high authority controller uses the computed errors in the frame of the struts to provides real-time stabilization of the sample position (Section ref:sec:nass_hac).
Decentralized Active Damping
<<sec:nass_active_damping>>
Introduction
Building on the uniaxial model study, this section implements decentralized Integral Force Feedback (IFF) as the first component of the HAC-LAC strategy. The springs in parallel to the force sensors were used to guarantee the control robustness, as observed with the 3DoF rotating model. The objective here is to design a decentralized IFF controller that provides good damping of the nano-hexapod modes across payload masses ranging from $1$ to $50\,\text{kg}$ and rotational velocity up to $360\,\text{deg/s}$. The payloads used for validation have a cylindrical shape with 250 mm height and with masses of 1 kg, 25 kg, and 50 kg.
IFF Plant
<<ssec:nass_active_damping_plant>>
Transfer functions from actuator forces $f_i$ to force sensor measurements $f_{mi}$ are computed using the multi-body model. Figure ref:fig:nass_iff_plant_effect_kp examines how parallel stiffness affects plant dynamics, with identification performed at maximum spindle velocity $\Omega_z = 360\,\text{deg/s}$ and with a payload mass of 25 kg.
Without parallel stiffness (Figure ref:fig:nass_iff_plant_no_kp), the plant dynamics exhibits non-minimum phase zeros at low frequency, confirming predictions from the three-degree-of-freedom rotating model. Adding parallel stiffness (Figure ref:fig:nass_iff_plant_kp) transforms these into minimum phase complex conjugate zeros, enabling unconditionally stable decentralized IFF implementation.
Although both cases show significant coupling around the resonances, stability is guaranteed by the collocated arrangement of the actuators and sensors cite:&preumont08_trans_zeros_struc_contr_with.
The effect of rotation, as shown in Figure ref:fig:nass_iff_plant_effect_rotation, is negligible as the actuator stiffness ($k_a = 1\,N/\mu m$) is large compared to the negative stiffness induced by gyroscopic effects (estimated from the 3DoF rotating model).
Figure ref:fig:nass_iff_plant_effect_payload illustrate the effect of payload mass on the plant dynamics. The poles and zeros shift in frequency as the payload mass varies. However, their alternating pattern is preserved, which ensures the phase remains bounded between 0 and 180 degrees, thus maintaining robust stability properties.
Controller Design
<<ssec:nass_active_damping_control>>
The previous analysis using the 3DoF rotating model showed that decentralized Integral Force Feedback (IFF) with pure integrators is unstable due to the gyroscopic effects caused by spindle rotation. This finding was also confirmed with the multi-body model of the NASS: the system was unstable when using pure integrators and without parallel stiffness.
This instability can be mitigated by introducing sufficient stiffness in parallel with the force sensors. However, as illustrated in Figure ref:fig:nass_iff_plant_kp, adding parallel stiffness increases the low frequency gain. Using pure integrators would result in high loop gain at low frequencies, adversely affecting the damped plant dynamics, which is undesirable. To resolve this issue, a second-order high-pass filter is introduced to limit the low frequency gain, as shown in Equation eqref:eq:nass_kiff.
\begin{equation}\label{eq:nass_kiff} \bm{K}_{\text{IFF}}(s) = g ⋅ \begin{bmatrix} K_{\text{IFF}}(s) & & 0 \\ & \ddots & \\ 0 & & K_{\text{IFF}}(s) \end{bmatrix}, \quad K_{\text{IFF}}(s) = \frac{1}{s} ⋅ \frac{\frac{s^2}{ω_z^2}}{\frac{s^2}{ω_z^2} + 2 ξ_z \frac{s}{ω_z} + 1}
\end{equation}
The cut-off frequency of the second-order high-pass filter was tuned to be below the frequency of the complex conjugate zero for the highest mass, which is at $5\,\text{Hz}$. The overall gain was then increased to obtain a large loop gain around the resonances to be damped, as illustrated in Figure ref:fig:nass_iff_loop_gain.
To verify stability, the root loci for the three payload configurations were computed, as shown in Figure ref:fig:nass_iff_root_locus. The results demonstrate that the closed-loop poles remain within the left-half plane, indicating the robust stability of the applied decentralized IFF.
Centralized Active Vibration Control
<<sec:nass_hac>>
Introduction
The implementation of high-bandwidth position control for the nano-hexapod presents several technical challenges. The plant dynamics exhibits complex behavior influenced by multiple factors, including payload mass, rotational velocity, and the mechanical coupling between the nano-hexapod and the micro-station. This section presents the development and validation of a centralized control strategy designed to achieve precise sample positioning during high-speed tomography experiments.
First, a comprehensive analysis of the plant dynamics is presented in Section ref:ssec:nass_hac_plant, examining the effects of spindle rotation, payload mass variation, and the implementation of Integral Force Feedback (IFF). Section ref:ssec:nass_hac_stiffness validates previous modeling predictions that both overly stiff and compliant nano-hexapod configurations lead to degraded performance. Building upon these findings, Section ref:ssec:nass_hac_controller presents the design of a robust high-authority controller that maintains stability across varying payload masses while achieving the desired control bandwidth.
The performance of the developed control strategy was validated through simulations of tomography experiments in Section ref:ssec:nass_hac_tomography. These simulations included realistic disturbance sources and were used to evaluate the system performance against the stringent positioning requirements imposed by future beamline specifications. Particular attention was paid to the system's behavior under maximum rotational velocity conditions and its ability to accommodate varying payload masses, demonstrating the practical viability of the proposed control approach.
HAC Plant
<<ssec:nass_hac_plant>>
The plant dynamics from force inputs $\bm{f}$ to the strut errors $\bm{\epsilon}_{\mathcal{L}}$ were first extracted from the multi-body model without the implementation of the decentralized IFF. The influence of spindle rotation on plant dynamics was investigated, and the results are presented in Figure ref:fig:nass_undamped_plant_effect_Wz. While rotational motion introduces coupling effects at low frequencies, these effects remain minimal at operational velocities, owing to the high stiffness characteristics of the nano-hexapod assembly.
Payload mass emerged as a significant parameter affecting system behavior, as illustrated in Figure ref:fig:nass_undamped_plant_effect_mass. As expected, increasing the payload mass decreased the resonance frequencies while amplifying coupling at low frequency. These mass-dependent dynamic changes present considerable challenges for control system design, particularly for configurations with high payload masses.
Additional operational parameters were systematically evaluated, including the $R_y$ tilt angle, $R_z$ spindle position, and micro-hexapod position. These factors were found to exert negligible influence on the plant dynamics, which can be attributed to the effective mechanical decoupling achieved between the plant and micro-station dynamics. This decoupling characteristic ensures consistent performance across various operational configurations. This also validates the developed control strategy.
The Decentralized Integral Force Feedback was implemented in the multi-body model, and transfer functions from force inputs $\bm{f}^\prime$ of the damped plant to the strut errors $\bm{\epsilon}_{\mathcal{L}}$ were extracted from this model.
The effectiveness of the IFF implementation was first evaluated with a $1\,\text{kg}$ payload, as demonstrated in Figure ref:fig:nass_comp_undamped_damped_plant_m1. The results indicate successful damping of the nano-hexapod resonance modes, although a minor increase in low-frequency coupling was observed. This trade-off was considered acceptable, given the overall improvement in system behavior.
The benefits of IFF implementation were further assessed across the full range of payload configurations, and the results are presented in Figure ref:fig:nass_hac_plants. For all tested payloads ($1\,\text{kg}$, $25\,\text{kg}$ and $50\,\text{kg}$), the decentralized IFF significantly damped the nano-hexapod modes and therefore simplified the system dynamics. More importantly, in the vicinity of the desired high authority control bandwidth (i.e. between $10\,\text{Hz}$ and $50\,\text{Hz}$), the damped dynamics (shown in red) exhibited minimal gain and phase variations with frequency. For the undamped plants (shown in blue), achieving robust control with bandwidth above 10Hz while maintaining stability across different payload masses would be practically impossible.
The coupling between the nano-hexapod and the micro-station was evaluated through a comparative analysis of plant dynamics under two mounting conditions. In the first configuration, the nano-hexapod was mounted on an ideally rigid support, while in the second configuration, it was installed on the micro-station with finite compliance.
As illustrated in Figure ref:fig:nass_effect_ustation_compliance, the complex dynamics of the micro-station were found to have little impact on the plant dynamics. The only observable difference manifests as additional alternating poles and zeros above 100Hz, a frequency range sufficiently beyond the control bandwidth to avoid interference with the system performance. This result confirms effective dynamic decoupling between the nano-hexapod and the supporting micro-station structure.
Effect of Nano-Hexapod Stiffness on System Dynamics
<<ssec:nass_hac_stiffness>>
The influence of nano-hexapod stiffness was investigated to validate earlier findings from simplified uniaxial and three-degree-of-freedom (3DoF) models. These models suggest that a moderate stiffness of approximately $1\,N/\mu m$ would provide better performance than either very stiff or very soft configurations.
For the stiff nano-hexapod analysis, a system with an actuator stiffness of $100\,N/\mu m$ was simulated with a $25\,\text{kg}$ payload. The transfer function from $\bm{f}$ to $\bm{\epsilon}_{\mathcal{L}}$ was evaluated under two conditions: mounting on an infinitely rigid base and mounting on the micro-station. As shown in Figure ref:fig:nass_stiff_nano_hexapod_coupling_ustation, significant coupling was observed between the nano-hexapod and micro-station dynamics. This coupling introduces complex behavior that is difficult to model and predict accurately, thus corroborating the predictions of the simplified uniaxial model.
The soft nano-hexapod configuration was evaluated using a stiffness of $0.01\,N/\mu m$ with a $25\,\text{kg}$ payload. The dynamic response was characterized at three rotational velocities: 0, 36, and 360 deg/s. Figure ref:fig:nass_soft_nano_hexapod_effect_Wz demonstrates that rotation substantially affects system dynamics, manifesting as instability at high rotational velocities, increased coupling due to gyroscopic effects, and rotation-dependent resonance frequencies. The current approach of controlling the position in the strut frame is inadequate for soft nano-hexapods; but even shifting control to a frame matching the payload's center of mass would not overcome the substantial coupling and dynamic variations induced by gyroscopic effects.
Controller design
<<ssec:nass_hac_controller>>
A high authority controller was designed to meet two key requirements: stability for all payload masses (i.e. for all the damped plants of Figure ref:fig:nass_hac_plants), and achievement of sufficient bandwidth (targeted at 10Hz) for high performance operation. The controller structure is defined in Equation eqref:eq:nass_robust_hac, incorporating an integrator term for low frequency performance, a lead compensator for phase margin improvement, and a low-pass filter for robustness against high frequency modes.
\begin{equation}\label{eq:nass_robust_hac} K_{\text{HAC}}(s) = g_0 ⋅ _brace{\frac{ω_c}{s}}_{\text{int}} ⋅ _brace{\frac{1}{\sqrt{α}}\frac{1 + \frac{s}{ω_c/\sqrt{α}}}{1 + \frac{s}{ω_c\sqrt{α}}}}_{\text{lead}} ⋅ _brace{\frac{1}{1 + \frac{s}{ω_0}}}_{\text{LPF}}, \quad ≤ft( ω_c = 2π10\,\text{rad/s},\ α = 2,\ ω_0 = 2π80\,\text{rad/s} \right)
\end{equation}
The controller performance was evaluated through two complementary analyses. First, the decentralized loop gain shown in Figure ref:fig:nass_hac_loop_gain, confirms the achievement of the desired 10Hz bandwidth. Second, the characteristic loci analysis presented in Figure ref:fig:nass_hac_loci demonstrates robustness for all payload masses, with adequate stability margins maintained throughout the operating envelope.
Tomography experiment
<<ssec:nass_hac_tomography>>
The Nano Active Stabilization System concept was validated through time-domain simulations of scientific experiments, with a particular focus on tomography scanning because of its demanding performance requirements. Simulations were conducted at the maximum operational rotational velocity of $\Omega_z = 360\,\text{deg/s}$ to evaluate system performance under the most challenging conditions.
Performance metrics were established based on anticipated future beamline specifications, which specify a beam size of 200nm (horizontal) by 100nm (vertical). The primary requirement stipulates that the point of interest must remain within beam dimensions throughout operation. The simulation included two principal disturbance sources: ground motion and spindle vibrations. Additional noise sources, including measurement noise and electrical noise from DAC and voltage amplifiers, were not included in this analysis, as these parameters will be optimized during the detailed design phase.
Figure ref:fig:nass_tomo_1kg_60rpm presents a comparative analysis of positioning errors under both open-loop and closed-loop conditions for a lightweight sample configuration (1kg). The results demonstrate the system's capability to maintain the sample's position within the specified beam dimensions, thus validating the fundamental concept of the stabilization system.
The robustness of the NASS to payload mass variation was evaluated through additional tomography scan simulations with 25 and 50kg payloads, complementing the initial 1kg test case. As illustrated in Figure ref:fig:nass_tomography_hac_iff, system performance exhibits some degradation with increasing payload mass, which is consistent with predictions from the control analysis. While the positioning accuracy for heavier payloads is outside the specified limits, it remains within acceptable bounds for typical operating conditions.
It should be noted that the maximum rotational velocity of 360deg/s is primarily intended for lightweight payload applications. For higher mass configurations, rotational velocities are expected to be below 36deg/s.
Conclusion
<<sec:nass_conclusion>>
The development and analysis presented in this chapter have successfully validated the Nano Active Stabilization System concept, marking the completion of the conceptual design phase. A comprehensive control strategy has been established, effectively combining external metrology with nano-hexapod sensor measurements to achieve precise position control. The control strategy implements a High Authority Control - Low Authority Control architecture - a proven approach that has been specifically adapted to meet the unique requirements of the rotating NASS.
The decentralized Integral Force Feedback component has been demonstrated to provide robust active damping under various operating conditions. The addition of parallel springs to the force sensors has been shown to ensure stability during spindle rotation. The centralized High Authority Controller, operating in the frame of the struts for simplicity, has successfully achieved the desired performance objectives of maintaining a bandwidth of $10\,\text{Hz}$ while maintaining robustness against payload mass variations. This investigation has confirmed that the moderate actuator stiffness of $1\,N/\mu m$ represents an adequate choice for the nano-hexapod, as both very stiff and very compliant configurations introduce significant performance limitations.
Simulations of tomography experiments have been performed, with positioning accuracy requirements defined by the expected minimum beam dimensions of $200\,\text{nm}$ by $100\,\text{nm}$. The system has demonstrated excellent performance at maximum rotational velocity with lightweight samples. While some degradation in positioning accuracy has been observed with heavier payloads, as anticipated by the control analysis, the overall performance remains sufficient to validate the fundamental concept of the NASS.
Conceptual Design - Conclusion
<<sec:concept_conclusion>>
The conceptual design phase of the Nano Active Stabilization System (NASS) has been successfully completed, establishing a robust foundation for the subsequent detailed design phase. Through a systematic progression from simplified to increasingly complex models, several critical findings have been established.
Using the simple uniaxial model revealed that a very stiff stabilization stage was unsuitable due to its strong coupling with the complex micro-station dynamics. Conversely, the three-degree-of-freedom rotating model demonstrated that very soft stabilization stage designs are equally problematic due to the gyroscopic effects induced by spindle rotation. A moderate stiffness of approximately $1\,N/\mu m$ was identified as the optimal configuration, providing an effective balance between decoupling from micro-station dynamics, insensitivity to spindle's rotation, and good disturbance rejection.
The multi-body modeling approach proved essential for capturing the complex dynamics of both the micro-station and the nano-hexapod. This model was tuned based on extensive modal analysis and vibration measurements. The Stewart platform architecture was selected for the active platform due to its good dynamical properties, compact design, and the ability to satisfy the strict space constraints of the NASS.
The HAC-LAC control strategy was successfully adapted to address the unique challenges presented by the rotating NASS. Decentralized Integral Force Feedback with parallel springs demonstrated robust active damping capabilities across different payload masses and rotational velocities. The centralized High Authority Controller, implemented in the frame of the struts, achieved the desired $10\,\text{Hz}$ bandwidth with good robustness properties.
Simulations of tomography experiments validated the NASS concept, with positioning accuracy meeting the requirements defined by the expected minimum beam dimensions ($200\,nm \times 100\,nm$) for lightweight samples at maximum rotational velocity. As anticipated by the control analysis, some performance degradation was observed with heavier payloads, but the overall performance remained sufficient to validate the fundamental concept.
Detailed Design
<<chap:detail>> minitoc
Abstract
Following the validation of the Nano Active Stabilization System concept in the previous chapter through simulated tomography experiments, this chapter addresses the refinement of the preliminary conceptual model into an optimized implementation. The initial validation used a nano-hexapod with arbitrary geometry, where components such as flexible joints and actuators were modeled as ideal elements, employing simplified control strategies without consideration for instrumentation noise. This detailed design phase aims to optimize each component while ensuring none will limit the system's overall performance.
This chapter begins by determining the optimal geometric configuration for the nano-hexapod (Section ref:sec:detail_kinematics). To this end, a review of existing Stewart platform designs is first presented, followed by an analysis of how geometric parameters influence the system's properties—mobility, stiffness, and dynamical response—with a particular emphasis on the cubic architecture. The chapter concludes by specifying the chosen nano-hexapod geometry and the associated actuator stroke and flexible joint angular travel requirements to achieve the desired mobility.
Section ref:sec:detail_fem introduces a hybrid modeling methodology that combines finite element analysis with multi-body dynamics to optimize critical nano-hexapod components. This approach is first experimentally validated using an Amplified Piezoelectric Actuator, establishing confidence in the modeling technique. The methodology is then applied to two key elements: the actuators (Section ref:sec:detail_fem_actuator) and the flexible joints (Section ref:sec:detail_fem_joint), enabling detailed optimization while maintaining computational efficiency for system-level simulations.
The control strategy is refined in Section ref:sec:detail_control, where three critical aspects are addressed. First, various approaches for optimally combining multiple sensors are examined, with particular emphasis on sensor fusion techniques. Second, different decoupling strategies for parallel manipulators are compared—an analysis notably lacking in the literature. Third, the optimization of controllers for decoupled plants is discussed, introducing a novel method for shaping closed-loop transfer functions using complementary filters.
Section ref:sec:detail_instrumentation focuses on instrumentation selection using a dynamic error budgeting approach to establish maximum acceptable noise specifications for each component. The selected instrumentation is then experimentally characterized to verify compliance with these specifications, ensuring that the combined effect of all noise sources remains within acceptable limits.
The chapter concludes with a concise presentation of the obtained optimized nano-hexapod design in Section ref:sec:detail_design, summarizing how the various optimizations contribute to a system that balances the competing requirements of precision positioning, vibration isolation, and practical implementation constraints. With the detailed design completed and components procured, the project advances to the experimental validation phase, which will be addressed in the subsequent chapter.
Optimal Geometry
<<sec:detail_kinematics>>
Introduction
The performance of a Stewart platform depends on its geometric configuration, especially the orientation of its struts and the positioning of its joints. During the conceptual design phase of the nano-hexapod, a preliminary geometry was selected based on general principles without detailed optimization. As the project advanced to the detailed design phase, a rigorous analysis of how geometry influences system performance became essential to ensure that the final design would meet the demanding requirements of the Nano Active Stabilization System (NASS).
In this chapter, the nano-hexapod geometry is optimized through careful analysis of how design parameters influence critical performance aspects: attainable workspace, mechanical stiffness, strut-to-strut coupling for decentralized control strategies, and dynamic response in Cartesian coordinates.
The chapter begins with a comprehensive review of existing Stewart platform designs in Section ref:sec:detail_kinematics_stewart_review, surveying various approaches to geometry, actuation, sensing, and joint design from the literature. Section ref:sec:detail_kinematics_geometry develops the analytical framework that connects geometric parameters to performance characteristics, establishing quantitative relationships that guide the optimization process. Section ref:sec:detail_kinematics_cubic examines the cubic configuration, a specific architecture that has gathered significant attention, to evaluate its suitability for the nano-hexapod application. Finally, Section ref:sec:detail_kinematics_nano_hexapod presents the optimized nano-hexapod geometry derived from these analyses and demonstrates how it addresses the specific requirements of the NASS.
Review of Stewart platforms
<<sec:detail_kinematics_stewart_review>>
The first parallel platform similar to the Stewart platform was built in 1954 by Gough cite:&gough62_univer_tyre_test_machin, for a tyre test machine (shown in Figure ref:fig:detail_geometry_gough_paper). Subsequently, Stewart proposed a similar design for a flight simulator (shown in Figure ref:fig:detail_geometry_stewart_flight_simulator) in a 1965 publication cite:&stewart65_platf_with_six_degrees_freed. Since then, the Stewart platform (sometimes referred to as the Stewart-Gough platform) has been used across diverse applications cite:&dasgupta00_stewar_platf_manip, including large telescopes cite:&kazezkhan14_dynam_model_stewar_platf_nansh_radio_teles;&yun19_devel_isotr_stewar_platf_teles_secon_mirror, machine tools cite:&russo24_review_paral_kinem_machin_tools, and Synchrotron instrumentation cite:&marion04_hexap_esrf;&villar18_nanop_esrf_id16a_nano_imagin_beaml.
As explained in the conceptual phase, Stewart platforms comprise the following key elements: two plates connected by six struts, with each strut composed of a joint at each end, an actuator, and one or several sensors.
The specific geometry (i.e., position of joints and orientation of the struts) can be selected based on the application requirements, resulting in numerous designs throughout the literature. This discussion focuses primarily on Stewart platforms designed for nano-positioning and vibration control, which necessitates the use of flexible joints. The implementation of these flexible joints, will be discussed when designing the nano-hexapod flexible joints. Long stroke Stewart platforms are not addressed here as their design presents different challenges, such as singularity-free workspace and complex kinematics cite:&merlet06_paral_robot.
In terms of actuation, mainly two types are used: voice coil actuators and piezoelectric actuators. Voice coil actuators, providing stroke ranges from $0.5\,mm$ to $10\,mm$, are commonly implemented in cubic architectures (as illustrated in Figures ref:fig:detail_kinematics_jpl, ref:fig:detail_kinematics_uw_gsp and ref:fig:detail_kinematics_pph) and are mainly used for vibration isolation cite:&spanos95_soft_activ_vibrat_isolat;&rahman98_multiax;&thayer98_stewar;&mcinroy99_dynam;&preumont07_six_axis_singl_stage_activ. For applications requiring short stroke (typically smaller than $500\,\mu m$), piezoelectric actuators present an interesting alternative, as shown in cite:&agrawal04_algor_activ_vibrat_isolat_spacec;&furutani04_nanom_cuttin_machin_using_stewar;&yang19_dynam_model_decoup_contr_flexib. Examples of piezoelectric-actuated Stewart platforms are presented in Figures ref:fig:detail_kinematics_ulb_pz, ref:fig:detail_kinematics_uqp and ref:fig:detail_kinematics_yang19. Although less frequently encountered, magnetostrictive actuators have been successfully implemented in cite:&zhang11_six_dof (Figure ref:fig:detail_kinematics_zhang11).
The sensors integrated in these platforms are selected based on specific control requirements, as different sensors offer distinct advantages and limitations cite:&hauge04_sensor_contr_space_based_six. Force sensors are typically integrated within the struts in a collocated arrangement with actuators to enhance control robustness. Stewart platforms incorporating force sensors are frequently used for vibration isolation cite:&spanos95_soft_activ_vibrat_isolat;&rahman98_multiax and active damping applications cite:&geng95_intel_contr_system_multip_degree;&abu02_stiff_soft_stewar_platf_activ, as exemplified in Figure ref:fig:detail_kinematics_ulb_pz.
Inertial sensors (accelerometers and geophones) are commonly employed in vibration isolation applications cite:&chen03_payload_point_activ_vibrat_isolat;&chi15_desig_exper_study_vcm_based. These sensors are predominantly aligned with the struts cite:&hauge04_sensor_contr_space_based_six;&li01_simul_fault_vibrat_isolat_point;&thayer02_six_axis_vibrat_isolat_system;&zhang11_six_dof;&jiao18_dynam_model_exper_analy_stewar;&tang18_decen_vibrat_contr_voice_coil, although they may also be fixed to the top platform cite:&wang16_inves_activ_vibrat_isolat_stewar.
For high-precision positioning applications, various displacement sensors are implemented, including LVDTs cite:&thayer02_six_axis_vibrat_isolat_system;&kim00_robus_track_contr_desig_dof_paral_manip;&li01_simul_fault_vibrat_isolat_point;&thayer98_stewar, capacitive sensors cite:&ting07_measur_calib_stewar_microm_system;&ting13_compos_contr_desig_stewar_nanos_platf, eddy current sensors cite:&chen03_payload_point_activ_vibrat_isolat;&furutani04_nanom_cuttin_machin_using_stewar, and strain gauges cite:&du14_piezo_actuat_high_precis_flexib. Notably, some designs incorporate external sensing methodologies rather than integrating sensors within the struts cite:&li01_simul_fault_vibrat_isolat_point;&chen03_payload_point_activ_vibrat_isolat;&ting13_compos_contr_desig_stewar_nanos_platf. A recent design cite:&naves21_desig_optim_large_strok_flexur_mechan, although not strictly speaking a Stewart platform, has demonstrated the use of 3-phase rotary motors with rotary encoders for achieving long-stroke and highly repeatable positioning, as illustrated in Figure ref:fig:detail_kinematics_naves.
Two primary categories of Stewart platform geometry can be identified. The first is cubic architecture (examples presented in Figure ref:fig:detail_kinematics_stewart_examples_cubic), wherein struts are positioned along six sides of a cube (and therefore oriented orthogonally to each other). This architecture represents the most prevalent configuration for vibration isolation applications in the literature. Its distinctive properties will be examined in Section ref:sec:detail_kinematics_cubic. The second category comprises non-cubic architectures (Figure ref:fig:detail_kinematics_stewart_examples_non_cubic), where strut orientation and joint positioning can be optimized according to defined performance criteria. The influence of strut orientation and joint positioning on Stewart platform properties is analyzed in Section ref:sec:detail_kinematics_geometry.
Effect of geometry on Stewart platform properties
<<sec:detail_kinematics_geometry>>
Introduction
As was demonstrated during the conceptual phase, the geometry of the Stewart platform impacts the stiffness and compliance characteristics, the mobility (or workspace), the force authority, and the dynamics of the manipulator. It is therefore essential to understand how the geometry impacts these properties, and to develop methodologies for optimizing the geometry for specific applications.
A useful analytical tool for this study is the Jacobian matrix, which depends on $\bm{b}_i$ (joints' position with respect to the top platform) and $\hat{\bm{s}}_i$ (struts' orientation). The choice of $\{A\}$ and $\{B\}$ frames, independently of the physical Stewart platform geometry, impacts the obtained kinematics and stiffness matrix, as these are defined for forces and motion evaluated at the chosen frame.
Platform Mobility / Workspace
<<ssec:detail_kinematics_geometry_mobility>>
Introduction
The mobility of the Stewart platform (or any manipulator) is defined as the range of motion that it can perform. It corresponds to the set of possible poses (i.e., combined translation and rotation) of frame $\{B\}$ with respect to frame $\{A\}$. This represents a six-dimensional property which is difficult to represent. Depending on the applications, only the translation mobility (i.e., fixed orientation workspace) or the rotation mobility may be represented. This approach is equivalent to projecting the six-dimensional value into a three-dimensional space, which is easier to represent.
Mobility of parallel manipulators is inherently difficult to study as the translational and orientation workspace are coupled cite:&merlet02_still. The analysis is significantly simplified when considering small motions, as the Jacobian matrix can be used to link the strut motion to the motion of frame $\{B\}$ with respect to $\{A\}$ through eqref:eq:detail_kinematics_jacobian, which is a linear equation.
\begin{equation}\label{eq:detail_kinematics_jacobian} \begin{bmatrix} \delta l_1 \\ \delta l_2 \\ \delta l_3 \\ \delta l_4 \\ \delta l_5 \\ \delta l_6 \end{bmatrix} = \underbrace{\begin{bmatrix} {{}^A\hat{\bm{s}}_1}^{\intercal} & ({}^A\bm{b}_1 \times {}^A\hat{\bm{s}}_1)^{\intercal} \\ {{}^A\hat{\bm{s}}_2}^{\intercal} & ({}^A\bm{b}_2 \times {}^A\hat{\bm{s}}_2)^{\intercal} \\ {{}^A\hat{\bm{s}}_3}^{\intercal} & ({}^A\bm{b}_3 \times {}^A\hat{\bm{s}}_3)^{\intercal} \\ {{}^A\hat{\bm{s}}_4}^{\intercal} & ({}^A\bm{b}_4 \times {}^A\hat{\bm{s}}_4)^{\intercal} \\ {{}^A\hat{\bm{s}}_5}^{\intercal} & ({}^A\bm{b}_5 \times {}^A\hat{\bm{s}}_5)^{\intercal} \\ {{}^A\hat{\bm{s}}_6}^{\intercal} & ({}^A\bm{b}_6 \times {}^A\hat{\bm{s}}_6)^{\intercal} \end{bmatrix}}_{\bm{J}} \begin{bmatrix} \delta x \\ \delta y \\ \delta z \\ \delta \theta_x \\ \delta \theta_y \\ \delta \theta_z \end{bmatrix} = _brace{\begin{bmatrix} {{}^A\hat{\bm{s}}_1}^{\intercal} & ({}^A\bm{b}_1 \times {}^A\hat{\bm{s}}_1)^{\intercal} \\ {{}^A\hat{\bm{s}}_2}^{\intercal} & ({}^A\bm{b}_2 \times {}^A\hat{\bm{s}}_2)^{\intercal} \\ {{}^A\hat{\bm{s}}_3}^{\intercal} & ({}^A\bm{b}_3 \times {}^A\hat{\bm{s}}_3)^{\intercal} \\ {{}^A\hat{\bm{s}}_4}^{\intercal} & ({}^A\bm{b}_4 \times {}^A\hat{\bm{s}}_4)^{\intercal} \\ {{}^A\hat{\bm{s}}_5}^{\intercal} & ({}^A\bm{b}_5 \times {}^A\hat{\bm{s}}_5)^{\intercal} \\ {{}^A\hat{\bm{s}}_6}^{\intercal} & ({}^A\bm{b}_6 \times {}^A\hat{\bm{s}}_6)^{\intercal} \end{bmatrix}}_{\bm{J}} \begin{bmatrix} \delta x \\ \delta y \\ \delta z \\ \delta \theta_x \\ \delta \theta_y \\ \delta \theta_z \end{bmatrix}}_{\bm{J}} \begin{bmatrix} \delta x \\ \delta y \\ \delta z \\ \delta \theta_x \\ \delta \theta_y \\ \delta \theta_z \end{bmatrix}
\end{equation}
Therefore, the mobility of the Stewart platform (defined as the set of achievable $[\delta x\ \delta y\ \delta z\ \delta \theta_x\ \delta \theta_y\ \delta \theta_z]$) depends on two key factors: the stroke of each strut and the geometry of the Stewart platform (embodied in the Jacobian matrix). More specifically, the XYZ mobility only depends on the $\hat{\bm{s}}_i$ (orientation of struts), while the mobility in rotation also depends on $\bm{b}_i$ (position of top joints).
Mobility in translation
For simplicity, only translations are first considered (i.e., the Stewart platform is considered to have fixed orientation). In the general case, the translational mobility can be represented by a 3D shape having 12 faces, where each actuator limits the stroke along its axis in positive and negative directions. The faces are therefore perpendicular to the strut direction. The obtained mobility for the Stewart platform geometry shown in Figure ref:fig:detail_kinematics_mobility_trans_arch is computed and represented in Figure ref:fig:detail_kinematics_mobility_trans_result.
With the previous interpretations of the 12 faces making the translational mobility 3D shape, it can be concluded that for a strut stroke of $\pm d$, a sphere with radius $d$ is contained in the 3D shape and touches it in directions defined by the strut axes, as illustrated in Figure ref:fig:detail_kinematics_mobility_trans_result. This means that the mobile platform can be translated in any direction with a stroke equal to the strut stroke.
To better understand how the geometry of the Stewart platform impacts the translational mobility, two configurations are compared with struts oriented vertically (Figure ref:fig:detail_kinematics_stewart_mobility_vert_struts) and struts oriented horizontally (Figure ref:fig:detail_kinematics_stewart_mobility_hori_struts). The vertically oriented struts configuration leads to greater stroke in the horizontal direction and reduced stroke in the vertical direction (Figure ref:fig:detail_kinematics_mobility_translation_strut_orientation). Conversely, horizontal oriented struts configuration provides more stroke in the vertical direction.
It may seem counterintuitive that less stroke is available in the direction of the struts. This phenomenon occurs because the struts form a lever mechanism that amplifies the motion. The amplification factor increases when the struts have a high angle with the direction of motion and equals one (i.e. is minimal) when aligned with the direction of motion.
Mobility in rotation
As shown by equation eqref:eq:detail_kinematics_jacobian, the rotational mobility depends both on the orientation of the struts and on the location of the top joints. Similarly to the translational case, to increase the rotational mobility in one direction, it is advantageous to have the struts more perpendicular to the rotational direction.
For instance, having the struts more vertical (Figure ref:fig:detail_kinematics_stewart_mobility_vert_struts) provides less rotational stroke along the vertical direction than having the struts oriented more horizontally (Figure ref:fig:detail_kinematics_stewart_mobility_hori_struts).
Two cases are considered with the same strut orientation but with different top joint positions: struts positioned close to each other (Figure ref:fig:detail_kinematics_stewart_mobility_close_struts) and struts positioned further apart (Figure ref:fig:detail_kinematics_stewart_mobility_space_struts). The mobility for pure rotations is compared in Figure ref:fig:detail_kinematics_mobility_angle_strut_distance. Having struts further apart decreases the "lever arm" and therefore reduces the rotational mobility.
Combined translations and rotations
It is possible to consider combined translations and rotations, although displaying such mobility becomes more complex. For a fixed geometry and a desired mobility (combined translations and rotations), it is possible to estimate the required minimum actuator stroke. This analysis is conducted in Section ref:sec:detail_kinematics_nano_hexapod to estimate the required actuator stroke for the nano-hexapod geometry.
Stiffness
<<ssec:detail_kinematics_geometry_stiffness>>
Introduction
The stiffness matrix defines how the top platform of the Stewart platform (i.e. frame $\{B\}$) deforms with respect to its fixed base (i.e. frame $\{A\}$) due to static forces/torques applied between frames $\{A\}$ and $\{B\}$. It depends on the Jacobian matrix (i.e., the geometry) and the strut axial stiffness as shown in equation eqref:eq:detail_kinematics_stiffness_matrix. The contribution of joints stiffness is not considered here, as the joints were optimized after the geometry was fixed. However, theoretical frameworks for evaluating flexible joint contribution to the stiffness matrix have been established in the literature cite:&mcinroy00_desig_contr_flexur_joint_hexap;&mcinroy02_model_desig_flexur_joint_stewar.
\begin{equation}\label{eq:detail_kinematics_stiffness_matrix} \bm{K} = \bm{J}∫ercal \bm{\mathcal{K}} \bm{J}
\end{equation}
It is assumed that the stiffness of all struts is the same: $\bm{\mathcal{K}} = k \cdot \bm{I}_6$. In that case, the obtained stiffness matrix linearly depends on the strut stiffness $k$, and is structured as shown in equation eqref:eq:detail_kinematics_stiffness_matrix_simplified.
\begin{equation}\label{eq:detail_kinematics_stiffness_matrix_simplified}
\bm{K} = k \bm{J}∫ercal \bm{J} =
k ≤ft[
\begin{array}{c|c}
Σi = 06 \hat{\bm{s}}_i ⋅ \hat{\bm{s}}_i∫ercal & Σi = 06 \bm{\hat{s}}_i ⋅ ({}^A\bm{b}_i × {}^A\hat{\bm{s}}_i)∫ercal
\hline
Σi = 06 ({}^A\bm{b}_i × {}^A\hat{\bm{s}}_i) ⋅ \hat{\bm{s}}_i∫ercal & Σi = 06 ({}^A\bm{b}_i × {}^A\hat{\bm{s}}_i) ⋅ ({}^A\bm{b}_i × {}^A\hat{\bm{s}}_i)∫ercal\\
\end{array} \right]
\end{equation}
Translation Stiffness
As shown by equation eqref:eq:detail_kinematics_stiffness_matrix_simplified, the translation stiffnesses (the $3 \times 3$ top left terms of the stiffness matrix) only depend on the orientation of the struts and not their location: $\hat{\bm{s}}_i \cdot \hat{\bm{s}}_i^{\intercal}$. In the extreme case where all struts are vertical ($s_i = [0\ 0\ 1]$), a vertical stiffness of $6k$ is achieved, but with null stiffness in the horizontal directions. If two struts are aligned with the X axis, two struts with the Y axis, and two struts with the Z axis, then $\hat{\bm{s}}_i \cdot \hat{\bm{s}}_i^{\intercal} = 2 \bm{I}_3$, resulting in well-distributed stiffness along all directions. This configuration corresponds to the cubic architecture presented in Section ref:sec:detail_kinematics_cubic.
When the struts are oriented more vertically, as shown in Figure ref:fig:detail_kinematics_stewart_mobility_vert_struts, the vertical stiffness increases while the horizontal stiffness decreases. Additionally, $R_x$ and $R_y$ stiffness increases while $R_z$ stiffness decreases. The opposite conclusions apply if struts are oriented more horizontally, illustrated in Figure ref:fig:detail_kinematics_stewart_mobility_hori_struts.
Rotational Stiffness
The rotational stiffnesses depend both on the orientation of the struts and on the location of the top joints with respect to the considered center of rotation (i.e., the location of frame $\{A\}$). With the same orientation but increased distances to the frame $\{A\}$ by a factor of 2, the rotational stiffness is increased by a factor of 4. Therefore, the compact Stewart platform depicted in Figure ref:fig:detail_kinematics_stewart_mobility_close_struts has less rotational stiffness than the Stewart platform shown in Figure ref:fig:detail_kinematics_stewart_mobility_space_struts.
Diagonal Stiffness Matrix
Having a diagonal stiffness matrix $\bm{K}$ can be beneficial for control purposes as it would make the plant in the Cartesian frame decoupled at low frequency. This property depends on both the geometry and the chosen $\{A\}$ frame. For specific geometry and choice of $\{A\}$ frame, it is possible to achieve a diagonal $K$ matrix. This is discussed in Section ref:ssec:detail_kinematics_cubic_static.
Dynamical properties
<<ssec:detail_kinematics_geometry_dynamics>>
The dynamical equations (both in the Cartesian frame and in the frame of the struts) for the Stewart platform were derived during the conceptual phase with simplifying assumptions (massless struts and perfect joints). The dynamics depends both on the geometry (Jacobian matrix) and on the payload being placed on top of the platform.
Under very specific conditions, the equations of motion in the Cartesian frame, given by equation eqref:eq:detail_kinematics_transfer_function_cart, can be decoupled. These conditions are studied in Section ref:ssec:detail_kinematics_cubic_dynamic.
\begin{equation}\label{eq:detail_kinematics_transfer_function_cart} \frac{{\mathcal{X}}}{\bm{\mathcal{F}}}(s) = ( \bm{M} s^2 + \bm{J}∫ercal \bm{\mathcal{C}} \bm{J} s + \bm{J}∫ercal \bm{\mathcal{K}} \bm{J} )-1
\end{equation}
In the frame of the struts, the equations of motion eqref:eq:detail_kinematics_transfer_function_struts are well decoupled at low frequency. This is why most Stewart platforms are controlled in the frame of the struts: below the resonance frequency, the system is well decoupled and SISO control may be applied for each strut, independently of the payload being used.
\begin{equation}\label{eq:detail_kinematics_transfer_function_struts} \frac{\bm{\mathcal{L}}}{\bm{f}}(s) = ( \bm{J}-∫ercal \bm{M} \bm{J}-1 s^2 + \bm{\mathcal{C}} + \bm{\mathcal{K}} )-1
\end{equation}
Coupling between sensors (force sensors, relative position sensors or inertial sensors) in different struts may also be important for decentralized control. In section ref:ssec:detail_kinematics_decentralized_control, it will be studied whether the Stewart platform geometry can be optimized to have lower coupling between the struts.
Conclusion
The effects of two changes in the manipulator's geometry, namely the position and orientation of the struts, are summarized in Table ref:tab:detail_kinematics_geometry. These results could have been easily deduced based on mechanical principles, but thanks to the kinematic analysis, they can be quantified. These trade-offs provide important guidelines when choosing the Stewart platform geometry.
| Struts | Vertically Oriented | Increased separation |
|---|---|---|
| Vertical stiffness | $\nearrow$ | $=$ |
| Horizontal stiffness | $\searrow$ | $=$ |
| Vertical rotation stiffness | $\searrow$ | $\nearrow$ |
| Horizontal rotation stiffness | $\nearrow$ | $\nearrow$ |
| Vertical mobility | $\searrow$ | $=$ |
| Horizontal mobility | $\nearrow$ | $=$ |
| Vertical rotation mobility | $\nearrow$ | $\searrow$ |
| Horizontal rotation mobility | $\searrow$ | $\searrow$ |
The Cubic Architecture
<<sec:detail_kinematics_cubic>>
Introduction
The Cubic configuration for the Stewart platform was first proposed by Dr. Gough in a comment to the original paper by Dr. Stewart cite:&stewart65_platf_with_six_degrees_freed. This configuration is characterized by active struts arranged in a mutually orthogonal configuration connecting the corners of a cube, as shown in Figure ref:fig:detail_kinematics_cubic_architecture_example.
Typically, the struts have similar length to the cube's edges, as illustrated in Figure ref:fig:detail_kinematics_cubic_architecture_example. Practical implementations of such configurations can be observed in Figures ref:fig:detail_kinematics_jpl, ref:fig:detail_kinematics_uw_gsp and ref:fig:detail_kinematics_uqp. It is also possible to implement designs with strut lengths smaller than the cube's edges (Figure ref:fig:detail_kinematics_cubic_architecture_example_small), as exemplified in Figure ref:fig:detail_kinematics_ulb_pz.
Several advantageous properties attributed to the cubic configuration have contributed to its widespread adoption cite:&geng94_six_degree_of_freed_activ;&preumont07_six_axis_singl_stage_activ;&jafari03_orthog_gough_stewar_platf_microm: simplified kinematics relationships and dynamical analysis cite:&geng94_six_degree_of_freed_activ; uniform stiffness in all directions cite:&hanieh03_activ_stewar; uniform mobility cite:&preumont18_vibrat_contr_activ_struc_fourt_edition, chapt.8.5.2; and minimization of the cross coupling between actuators and sensors in different struts cite:&preumont07_six_axis_singl_stage_activ. This minimization is attributed to the fact that the struts are orthogonal to each other, and is said to facilitate collocated sensor-actuator control system design, i.e., the implementation of decentralized control cite:&geng94_six_degree_of_freed_activ;&thayer02_six_axis_vibrat_isolat_system.
These properties are examined in this section to assess their relevance for the nano-hexapod. The mobility and stiffness properties of the cubic configuration are analyzed in Section ref:ssec:detail_kinematics_cubic_static. Dynamical decoupling is investigated in Section ref:ssec:detail_kinematics_cubic_dynamic, while decentralized control, crucial for the NASS, is examined in Section ref:ssec:detail_kinematics_decentralized_control. Given that the cubic architecture imposes strict geometric constraints, alternative designs are proposed in Section ref:ssec:detail_kinematics_cubic_design. The ultimate objective is to determine the suitability of the cubic architecture for the nano-hexapod.
Static Properties
<<ssec:detail_kinematics_cubic_static>>
Stiffness matrix for the Cubic architecture
Consider the cubic architecture shown in Figure ref:fig:detail_kinematics_cubic_schematic_full. The unit vectors corresponding to the edges of the cube are described by equation eqref:eq:detail_kinematics_cubic_s.
\begin{equation}\label{eq:detail_kinematics_cubic_s} \hat{\bm{s}}_1 = \begin{bmatrix} \frac{\sqrt{2}}{\sqrt{3}} \\ 0 \\ \frac{1}{\sqrt{3}} \end{bmatrix} \quad \hat{\bm{s}}_2 = \begin{bmatrix} \frac{-1}{\sqrt{6}} \\ \frac{-1}{\sqrt{2}} \\ \frac{1}{\sqrt{3}} \end{bmatrix} \quad \hat{\bm{s}}_3 = \begin{bmatrix} \frac{-1}{\sqrt{6}} \\ \frac{ 1}{\sqrt{2}} \\ \frac{1}{\sqrt{3}} \end{bmatrix} \quad \hat{\bm{s}}_4 = \begin{bmatrix} \frac{\sqrt{2}}{\sqrt{3}} \\ 0 \\ \frac{1}{\sqrt{3}} \end{bmatrix} \quad \hat{\bm{s}}_5 = \begin{bmatrix} \frac{-1}{\sqrt{6}} \\ \frac{-1}{\sqrt{2}} \\ \frac{1}{\sqrt{3}} \end{bmatrix} \quad \hat{\bm{s}}_6 = \begin{bmatrix} \frac{-1}{\sqrt{6}} \\ \frac{ 1}{\sqrt{2}} \\ \frac{1}{\sqrt{3}} \end{bmatrix} \quad \hat{\bm{s}}_2 = \begin{bmatrix} \frac{-1}{\sqrt{6}} \\ \frac{-1}{\sqrt{2}} \\ \frac{1}{\sqrt{3}} \end{bmatrix} \quad \hat{\bm{s}}_3 = \begin{bmatrix} \frac{-1}{\sqrt{6}} \\ \frac{ 1}{\sqrt{2}} \\ \frac{1}{\sqrt{3}} \end{bmatrix} \quad \hat{\bm{s}}_4 = \begin{bmatrix} \frac{\sqrt{2}}{\sqrt{3}} \\ 0 \\ \frac{1}{\sqrt{3}} \end{bmatrix} \quad \hat{\bm{s}}_5 = \begin{bmatrix} \frac{-1}{\sqrt{6}} \\ \frac{-1}{\sqrt{2}} \\ \frac{1}{\sqrt{3}} \end{bmatrix} \quad \hat{\bm{s}}_6 = \begin{bmatrix} \frac{-1}{\sqrt{6}} \\ \frac{ 1}{\sqrt{2}} \\ \frac{1}{\sqrt{3}} \end{bmatrix} \quad \hat{\bm{s}}_3 = \begin{bmatrix} \frac{-1}{\sqrt{6}} \\ \frac{ 1}{\sqrt{2}} \\ \frac{1}{\sqrt{3}} \end{bmatrix} \quad \hat{\bm{s}}_4 = \begin{bmatrix} \frac{\sqrt{2}}{\sqrt{3}} \\ 0 \\ \frac{1}{\sqrt{3}} \end{bmatrix} \quad \hat{\bm{s}}_5 = \begin{bmatrix} \frac{-1}{\sqrt{6}} \\ \frac{-1}{\sqrt{2}} \\ \frac{1}{\sqrt{3}} \end{bmatrix} \quad \hat{\bm{s}}_6 = \begin{bmatrix} \frac{-1}{\sqrt{6}} \\ \frac{ 1}{\sqrt{2}} \\ \frac{1}{\sqrt{3}} \end{bmatrix} \quad \hat{\bm{s}}_4 = \begin{bmatrix} \frac{\sqrt{2}}{\sqrt{3}} \\ 0 \\ \frac{1}{\sqrt{3}} \end{bmatrix} \quad \hat{\bm{s}}_5 = \begin{bmatrix} \frac{-1}{\sqrt{6}} \\ \frac{-1}{\sqrt{2}} \\ \frac{1}{\sqrt{3}} \end{bmatrix} \quad \hat{\bm{s}}_6 = \begin{bmatrix} \frac{-1}{\sqrt{6}} \\ \frac{ 1}{\sqrt{2}} \\ \frac{1}{\sqrt{3}} \end{bmatrix} \quad \hat{\bm{s}}_5 = \begin{bmatrix} \frac{-1}{\sqrt{6}} \\ \frac{-1}{\sqrt{2}} \\ \frac{1}{\sqrt{3}} \end{bmatrix} \quad \hat{\bm{s}}_6 = \begin{bmatrix} \frac{-1}{\sqrt{6}} \\ \frac{ 1}{\sqrt{2}} \\ \frac{1}{\sqrt{3}} \end{bmatrix} \quad \hat{\bm{s}}_6 = \begin{bmatrix} \frac{-1}{\sqrt{6}} \\ \frac{ 1}{\sqrt{2}} \\ \frac{1}{\sqrt{3}} \end{bmatrix}
\end{equation}
Coordinates of the cube's vertices relevant for the top joints, expressed with respect to the cube's center, are shown in equation eqref:eq:detail_kinematics_cubic_vertices.
\begin{equation}\label{eq:detail_kinematics_cubic_vertices} ~{\bm{b}}_1 = ~{\bm{b}}_2 = H_c \begin{bmatrix} \frac{1}{\sqrt{2}} \\ \frac{-\sqrt{3}}{\sqrt{2}} \\ \frac{1}{2} \end{bmatrix}, \quad \tilde{\bm{b}}_3 = \tilde{\bm{b}}_4 = H_c \begin{bmatrix} \frac{1}{\sqrt{2}} \\ \frac{ \sqrt{3}}{\sqrt{2}} \\ \frac{1}{2} \end{bmatrix}, \quad \tilde{\bm{b}}_5 = \tilde{\bm{b}}_6 = H_c \begin{bmatrix} \frac{-2}{\sqrt{2}} \\ 0 \\ \frac{1}{2} \end{bmatrix}, \quad ~{\bm{b}}_3 = ~{\bm{b}}_4 = H_c \begin{bmatrix} \frac{1}{\sqrt{2}} \\ \frac{ \sqrt{3}}{\sqrt{2}} \\ \frac{1}{2} \end{bmatrix}, \quad \tilde{\bm{b}}_5 = \tilde{\bm{b}}_6 = H_c \begin{bmatrix} \frac{-2}{\sqrt{2}} \\ 0 \\ \frac{1}{2} \end{bmatrix}, \quad ~{\bm{b}}_5 = ~{\bm{b}}_6 = H_c \begin{bmatrix} \frac{-2}{\sqrt{2}} \\ 0 \\ \frac{1}{2} \end{bmatrix}
\end{equation}
In the case where top joints are positioned at the cube's vertices, a diagonal stiffness matrix is obtained as shown in equation eqref:eq:detail_kinematics_cubic_stiffness. Translation stiffness is twice the stiffness of the struts, and rotational stiffness is proportional to the square of the cube's size $H_c$.
\begin{equation}\label{eq:detail_kinematics_cubic_stiffness}
\bm{K}_{\{B\} = \{C\}} = k \begin{bmatrix}
2 & 0 & 0 & 0 & 0 & 0
0 & 2 & 0 & 0 & 0 & 0
0 & 0 & 2 & 0 & 0 & 0
0 & 0 & 0 & \frac{3}{2} H_c^2 & 0 & 0
0 & 0 & 0 & 0 & \frac{3}{2} H_c^2 & 0
0 & 0 & 0 & 0 & 0 & 6 H_c^2 \\
\end{bmatrix}
\end{equation}
However, typically, the top joints are not placed at the cube's vertices but at positions along the cube's edges (Figure ref:fig:detail_kinematics_cubic_schematic). In that case, the location of the top joints can be expressed by equation eqref:eq:detail_kinematics_cubic_edges, yet the computed stiffness matrix remains identical to Equation eqref:eq:detail_kinematics_cubic_stiffness.
\begin{equation}\label{eq:detail_kinematics_cubic_edges} \bm{b}_i = ~{\bm{b}}_i + α \hat{\bm{s}}_i
\end{equation}
The stiffness matrix is therefore diagonal when the considered $\{B\}$ frame is located at the center of the cube (shown by frame $\{C\}$). This means that static forces (resp torques) applied at the cube's center will induce pure translations (resp rotations around the cube's center). This specific location where the stiffness matrix is diagonal is referred to as the "Center of Stiffness" (analogous to the "Center of Mass" where the mass matrix is diagonal).
Effect of having frame $\{B\}$ off-centered
When the reference frames $\{A\}$ and $\{B\}$ are shifted from the cube's center, off-diagonal elements emerge in the stiffness matrix.
Considering a vertical shift as shown in Figure ref:fig:detail_kinematics_cubic_schematic, the stiffness matrix transforms into that shown in Equation eqref:eq:detail_kinematics_cubic_stiffness_off_centered. Off-diagonal elements increase proportionally with the height difference between the cube's center and the considered $\{B\}$ frame.
\begin{equation}\label{eq:detail_kinematics_cubic_stiffness_off_centered}
\bm{K}_{\{B\} ≠ \{C\}} = k \begin{bmatrix}
2 & 0 & 0 & 0 & -2 H & 0
0 & 2 & 0 & 2 H & 0 & 0
0 & 0 & 2 & 0 & 0 & 0
0 & 2 H & 0 & \frac{3}{2} H_c^2 + 2 H^2 & 0 & 0
-2 H & 0 & 0 & 0 & \frac{3}{2} H_c^2 + 2 H^2 & 0
0 & 0 & 0 & 0 & 0 & 6 H_c^2 \\
\end{bmatrix}
\end{equation}
This stiffness matrix structure is characteristic of Stewart platforms exhibiting symmetry, and is not an exclusive property of cubic architectures. Therefore, the stiffness characteristics of the cubic architecture are only distinctive when considering a reference frame located at the cube's center. This poses a practical limitation, as in most applications, the relevant frame (where motion is of interest and forces are applied) is located above the top platform.
It should be noted that for the stiffness matrix to be diagonal, the cube's center doesn't need to coincide with the geometric center of the Stewart platform. This observation leads to the interesting alternative architectures presented in Section ref:ssec:detail_kinematics_cubic_design.
Uniform Mobility
The translational mobility of the Stewart platform with constant orientation was analyzed. Considering limited actuator stroke (elongation of each strut), the maximum achievable positions in XYZ space were estimated. The resulting mobility in X, Y, and Z directions for the cubic architecture is illustrated in Figure ref:fig:detail_kinematics_cubic_mobility_translations.
The translational workspace analysis reveals that for the cubic architecture, the achievable positions form a cube whose axes align with the struts, with the cube's edge length corresponding to the strut axial stroke. These findings suggest that the mobility pattern is more subtle than sometimes described in the literature cite:&mcinroy00_desig_contr_flexur_joint_hexap, exhibiting uniformity primarily along directions aligned with the cube's edges rather than uniform spherical distribution in all XYZ directions. This configuration still offers more consistent mobility characteristics compared to alternative architectures illustrated in Figure ref:fig:detail_kinematics_mobility_trans.
The rotational mobility, illustrated in Figure ref:fig:detail_kinematics_cubic_mobility_rotations, exhibits greater achievable angular stroke in the $R_x$ and $R_y$ directions compared to the $R_z$ direction. Furthermore, an inverse relationship exists between the cube's dimension and rotational mobility, with larger cube sizes corresponding to more limited angular displacement capabilities.
Dynamical Decoupling
<<ssec:detail_kinematics_cubic_dynamic>>
Introduction
This section examines the dynamics of the cubic architecture in the Cartesian frame which corresponds to the transfer function from forces and torques $\bm{\mathcal{F}}$ to translations and rotations $\bm{\mathcal{X}}$ of the top platform. When relative motion sensors are integrated in each strut (measuring $\bm{\mathcal{L}}$), the pose $\bm{\mathcal{X}}$ is computed using the Jacobian matrix as shown in Figure ref:fig:detail_kinematics_centralized_control.

Low frequency and High frequency coupling
As derived during the conceptual design phase, the dynamics from $\bm{\mathcal{F}}$ to $\bm{\mathcal{X}}$ is described by Equation eqref:eq:detail_kinematics_transfer_function_cart. At low frequency, the behavior of the platform depends on the stiffness matrix eqref:eq:detail_kinematics_transfer_function_cart_low_freq.
\begin{equation}\label{eq:detail_kinematics_transfer_function_cart_low_freq} \frac{{\mathcal{X}}}{\bm{\mathcal{F}}}(j ω) \xrightarrow[ω → 0]{} \bm{K}-1
\end{equation}
In Section ref:ssec:detail_kinematics_cubic_static, it was demonstrated that for the cubic configuration, the stiffness matrix is diagonal if frame $\{B\}$ is positioned at the cube's center. In this case, the "Cartesian" plant is decoupled at low frequency. At high frequency, the behavior is governed by the mass matrix (evaluated at frame $\{B\}$) eqref:eq:detail_kinematics_transfer_function_high_freq.
\begin{equation}\label{eq:detail_kinematics_transfer_function_high_freq} \frac{{\mathcal{X}}}{\bm{\mathcal{F}}}(j ω) \xrightarrow[ω → ∞]{} - ω^2 \bm{M}-1
\end{equation}
To achieve a diagonal mass matrix, the center of mass of the mobile components must coincide with the $\{B\}$ frame, and the principal axes of inertia must align with the axes of the $\{B\}$ frame.
To verify these properties, a cubic Stewart platform with a cylindrical payload was analyzed (Figure ref:fig:detail_kinematics_cubic_payload). Transfer functions from $\bm{\mathcal{F}}$ to $\bm{\mathcal{X}}$ were computed for two specific locations of the $\{B\}$ frames. When the $\{B\}$ frame was positioned at the center of mass, coupling at low frequency was observed due to the non-diagonal stiffness matrix (Figure ref:fig:detail_kinematics_cubic_cart_coupling_com). Conversely, when positioned at the center of stiffness, coupling occurred at high frequency due to the non-diagonal mass matrix (Figure ref:fig:detail_kinematics_cubic_cart_coupling_cok).
Payload's CoM at the cube's center
An effective strategy for improving dynamical performances involves aligning the cube's center (center of stiffness) with the center of mass of the moving components cite:&li01_simul_fault_vibrat_isolat_point. This can be achieved by positioning the payload below the top platform, such that the center of mass of the moving body coincides with the cube's center (Figure ref:fig:detail_kinematics_cubic_centered_payload). This approach was physically implemented in several studies cite:&mcinroy99_dynam;&jafari03_orthog_gough_stewar_platf_microm, as shown in Figure ref:fig:detail_kinematics_uw_gsp. The resulting dynamics are indeed well-decoupled (Figure ref:fig:detail_kinematics_cubic_cart_coupling_com_cok), taking advantage from diagonal stiffness and mass matrices. The primary limitation of this approach is that, for many applications including the nano-hexapod, the payload must be positioned above the top platform. If a design similar to Figure ref:fig:detail_kinematics_cubic_centered_payload were employed for the nano-hexapod, the X-ray beam would intersect with the struts during spindle rotation.
Conclusion
The analysis of dynamical properties of the cubic architecture yields several important conclusions. Static decoupling, characterized by a diagonal stiffness matrix, is achieved when reference frames $\{A\}$ and $\{B\}$ are positioned at the cube's center. Note that this property can also be obtained with non-cubic architectures that exhibit symmetrical strut arrangements. Dynamic decoupling requires both static decoupling and coincidence of the mobile platform's center of mass with reference frame $\{B\}$. While this configuration offers powerful control advantages, it requires positioning the payload at the cube's center, which is highly restrictive and often impractical.
Decentralized Control
<<ssec:detail_kinematics_decentralized_control>>
Introduction
The orthogonal arrangement of struts in the cubic architecture suggests a potential minimization of inter-strut coupling, which could theoretically create favorable conditions for decentralized control. Two sensor types integrated in the struts are considered: displacement sensors and force sensors. The control architecture is illustrated in Figure ref:fig:detail_kinematics_decentralized_control, where $\bm{K}_{\mathcal{L}}$ represents a diagonal transfer function matrix.

The obtained plant dynamics in the frame of the struts are compared for two Stewart platforms. The first employs a cubic architecture shown in Figure ref:fig:detail_kinematics_cubic_payload. The second uses a non-cubic Stewart platform shown in Figure ref:fig:detail_kinematics_non_cubic_payload, featuring identical payload and strut dynamics but with struts oriented more vertically to differentiate it from the cubic architecture.
Relative Displacement Sensors
The transfer functions from actuator force in each strut to the relative motion of the struts are presented in Figure ref:fig:detail_kinematics_decentralized_dL. As anticipated from the equations of motion from $\bm{f}$ to $\bm{\mathcal{L}}$ eqref:eq:detail_kinematics_transfer_function_struts, the $6 \times 6$ plant is decoupled at low frequency. At high frequency, coupling is observed as the mass matrix projected in the strut frame is not diagonal.
No significant advantage is evident for the cubic architecture (Figure ref:fig:detail_kinematics_cubic_decentralized_dL) compared to the non-cubic architecture (Figure ref:fig:detail_kinematics_non_cubic_decentralized_dL). The resonance frequencies differ between the two cases because the more vertical strut orientation in the non-cubic architecture alters the stiffness properties of the Stewart platform, consequently shifting the frequencies of various modes.
Force Sensors
Similarly, the transfer functions from actuator force to force sensors in each strut were analyzed for both cubic and non-cubic Stewart platforms. The results are presented in Figure ref:fig:detail_kinematics_decentralized_fn. The system demonstrates good decoupling at high frequency in both cases, with no clear advantage for the cubic architecture.
Conclusion
The presented results do not demonstrate the pronounced decoupling advantages often associated with cubic architectures in the literature. Both the cubic and non-cubic configurations exhibited similar coupling characteristics, suggesting that the benefits of orthogonal strut arrangement for decentralized control is less obvious than often reported in the literature.
Cubic architecture with Cube's center above the top platform
<<ssec:detail_kinematics_cubic_design>>
Introduction
As demonstrated in Section ref:ssec:detail_kinematics_cubic_dynamic, the cubic architecture can exhibit advantageous dynamical properties when the center of mass of the moving body coincides with the cube's center, resulting in diagonal mass and stiffness matrices. As shown in Section ref:ssec:detail_kinematics_cubic_static, the stiffness matrix is diagonal when the considered $\{B\}$ frame is located at the cube's center. However, the $\{B\}$ frame is typically positioned above the top platform where forces are applied and displacements are measured.
This section proposes modifications to the cubic architecture to enable positioning the payload above the top platform while still leveraging the advantageous dynamical properties of the cubic configuration.
Three key parameters define the geometry of the cubic Stewart platform: $H$, the height of the Stewart platform (distance from fixed base to mobile platform); $H_c$, the height of the cube, as shown in Figure ref:fig:detail_kinematics_cubic_schematic_full; and $H_{CoM}$, the height of the center of mass relative to the mobile platform (coincident with the cube's center).
Depending on the cube's size $H_c$ in relation to $H$ and $H_{CoM}$, different designs emerge. In the following examples, $H = 100\,mm$ and $H_{CoM} = 20\,mm$.
Small cube
When the cube size $H_c$ is smaller than twice the height of the CoM $H_{CoM}$ eqref:eq:detail_kinematics_cube_small, the resulting design is shown in Figure ref:fig:detail_kinematics_cubic_above_small.
\begin{equation}\label{eq:detail_kinematics_cube_small} H_c < 2 HCoM
\end{equation}
This configuration is similar to that described in cite:&furutani04_nanom_cuttin_machin_using_stewar, although they do not explicitly identify it as a cubic configuration. Adjacent struts are parallel to each other, differing from the typical architecture where parallel struts are positioned opposite to each other.
This approach yields a compact architecture, but the small cube size may result in insufficient rotational stiffness.
Medium sized cube
Increasing the cube's size such that eqref:eq:detail_kinematics_cube_medium is verified produces an architecture with intersecting struts (Figure ref:fig:detail_kinematics_cubic_above_medium).
\begin{equation}\label{eq:detail_kinematics_cube_medium} 2 HCoM < H_c < 2 (HCoM + H)
\end{equation}
This configuration resembles the design proposed in cite:&yang19_dynam_model_decoup_contr_flexib (Figure ref:fig:detail_kinematics_yang19), although their design is not strictly cubic.
Large cube
When the cube's height exceeds twice the sum of the platform height and CoM height eqref:eq:detail_kinematics_cube_large, the architecture shown in Figure ref:fig:detail_kinematics_cubic_above_large is obtained.
\begin{equation}\label{eq:detail_kinematics_cube_large} 2 (HCoM + H) < H_c
\end{equation}
Platform size
For the proposed configuration, the top joints $\bm{b}_i$ (resp. the bottom joints $\bm{a}_i$) and are positioned on a circle with radius $R_{b_i}$ (resp. $R_{a_i}$) described by Equation eqref:eq:detail_kinematics_cube_joints.
\begin{subequations}\label{eq:detail_kinematics_cube_joints}
\begin{align} R_{b_i} &= \sqrt{\frac{3}{2} H_c^2 + 2 H_{CoM}^2} \label{eq:detail_kinematics_cube_top_joints} \\ R_{a_i} &= \sqrt{\frac{3}{2} H_c^2 + 2 (H_{CoM} + H)^2} \label{eq:detail_kinematics_cube_bot_joints} \end{align}\end{subequations}
Since the rotational stiffness for the cubic architecture scales with the square of the cube's height eqref:eq:detail_kinematics_cubic_stiffness, the cube's size can be determined based on rotational stiffness requirements. Subsequently, using Equation eqref:eq:detail_kinematics_cube_joints, the dimensions of the top and bottom platforms can be calculated.
Conclusion
The analysis of the cubic architecture for Stewart platforms yielded several important findings. While the cubic configuration provides uniform stiffness in the XYZ directions, it stiffness property becomes particularly advantageous when forces and torques are applied at the cube's center. Under these conditions, the stiffness matrix becomes diagonal, resulting in a decoupled Cartesian plant at low frequencies.
Regarding mobility, the translational capabilities of the cubic configuration exhibit uniformity along the directions of the orthogonal struts, rather than complete uniformity in the Cartesian space. This understanding refines the characterization of cubic architecture mobility commonly presented in literature.
The analysis of decentralized control in the frame of the struts revealed more nuanced results than expected. While cubic architectures are frequently associated with reduced coupling between actuators and sensors, this study showed that these benefits may be more subtle or context-dependent than commonly described. Under the conditions analyzed, the coupling characteristics of cubic and non-cubic configurations, in the frame of the struts, appeared similar.
Fully decoupled dynamics in the Cartesian frame can be achieved when the center of mass of the moving body coincides with the cube's center. However, this arrangement presents practical challenges, as the cube's center is traditionally located between the top and bottom platforms, making payload placement problematic for many applications.
To address this limitation, modified cubic architectures have been proposed with the cube's center positioned above the top platform. Three distinct configurations have been identified, each with different geometric arrangements but sharing the common characteristic that the cube's center is positioned above the top platform. This structural modification enables the alignment of the moving body's center of mass with the center of stiffness, resulting in beneficial decoupling properties in the Cartesian frame.
Nano Hexapod
<<sec:detail_kinematics_nano_hexapod>>
Introduction
Based on previous analysis, this section aims to determine the nano-hexapod optimal geometry. For the NASS, the chosen reference frames $\{A\}$ and $\{B\}$ coincide with the sample's point of interest, which is positioned $150\,mm$ above the top platform. This is the location where precise control of the sample's position is required, as it is where the x-ray beam is focused.
Requirements
<<ssec:detail_kinematics_nano_hexapod_requirements>>
The design of the nano-hexapod must satisfy several constraints. The device should fit within a cylinder with radius of $120\,mm$ and height of $95\,mm$. Based on the measured errors of all stages of the micro-stations, and incorporating safety margins, the required mobility should enable combined translations in any direction of $\pm 50\,\mu m$. At any position, the system should be capable of performing $R_x$ and $R_y$ rotations of $\pm 50\,\mu \text{rad}$. Regarding stiffness, the resonance frequencies should be well above the maximum rotational velocity of $2\pi\,\text{rad/s}$ to minimize gyroscopic effects, while remaining below the problematic modes of the micro-station to ensure decoupling from its complex dynamics. In terms of dynamics, the design should facilitate implementation of Integral Force Feedback (IFF) in a decentralized manner, and provide good decoupling for the high authority controller in the frame of the struts.
Obtained Geometry
<<ssec:detail_kinematics_nano_hexapod_geometry>>
Based on the previous analysis of Stewart platform configurations, while the geometry can be optimized to achieve the desired trade-off between stiffness and mobility in different directions, the wide range of potential payloads, with masses ranging from 1kg to 50kg, makes it impossible to develop a single geometry that provides optimal dynamical properties for all possible configurations.
For the nano-hexapod design, the struts were oriented more vertically compared to a cubic architecture due to several considerations. First, the performance requirements in the vertical direction are more stringent than in the horizontal direction. This vertical strut orientation decreases the amplification factor in the vertical direction, providing greater resolution and reducing the effects of actuator noise. Second, the micro-station's vertical modes exhibit higher frequencies than its lateral modes. Therefore, higher resonance frequencies of the nano-hexapod in the vertical direction compared to the horizontal direction enhance the decoupling properties between the micro-station and the nano-hexapod.
Regarding dynamical properties, particularly for control in the frame of the struts, no specific optimization was implemented since the analysis revealed that strut orientation has minimal impact on the resulting coupling characteristics.
Consequently, the geometry was selected according to practical constraints. The height between the two plates is maximized and set at $95\,mm$. Both platforms take the maximum available size, with joints offset by $15\,mm$ from the plate surfaces and positioned along circles with radii of $120\,mm$ for the fixed joints and $110\,mm$ for the mobile joints. The positioning angles, as shown in Figure ref:fig:detail_kinematics_nano_hexapod_top, are $[255,\ 285,\ 15,\ 45,\ 135,\ 165]$ degrees for the top joints and $[220,\ 320,\ 340,\ 80,\ 100,\ 200]$ degrees for the bottom joints.
The resulting geometry is illustrated in Figure ref:fig:detail_kinematics_nano_hexapod. While minor refinements may occur during detailed mechanical design to address manufacturing and assembly considerations, the fundamental geometry will remain consistent with this configuration. This geometry serves as the foundation for estimating required actuator stroke (Section ref:ssec:detail_kinematics_nano_hexapod_actuator_stroke), determining flexible joint stroke requirements (Section ref:ssec:detail_kinematics_nano_hexapod_joint_stroke), performing noise budgeting for instrumentation selection, and developing control strategies.
Implementing a cubic architecture as proposed in Section ref:ssec:detail_kinematics_cubic_design was considered. However, positioning the cube's center $150\,mm$ above the top platform would have resulted in platform dimensions exceeding the maximum available size. Additionally, to benefit from the cubic configuration's dynamical properties, each payload would require careful calibration of inertia before placement on the nano-hexapod, ensuring that its center of mass coincides with the cube's center. Given the impracticality of consistently aligning the center of mass with the cube's center, the cubic architecture was deemed unsuitable for the nano-hexapod application.
Required Actuator stroke
<<ssec:detail_kinematics_nano_hexapod_actuator_stroke>>
With the geometry established, the actuator stroke necessary to achieve the desired mobility can be determined.
The required mobility parameters include combined translations in the XYZ directions of $\pm 50\,\mu m$ (essentially a cubic workspace). Additionally, at any point within this workspace, combined $R_x$ and $R_y$ rotations of $\pm 50\,\mu \text{rad}$, with $R_z$ maintained at 0, should be possible.
Calculations based on the selected geometry indicate that an actuator stroke of $\pm 94\,\mu m$ is required to achieve the desired mobility. This specification will be used during the actuator selection process in Section ref:sec:detail_fem_actuator.
Figure ref:fig:detail_kinematics_nano_hexapod_mobility illustrates both the desired mobility (represented as a cube) and the calculated mobility envelope of the nano-hexapod with an actuator stroke of $\pm 94\,\mu m$. The diagram confirms that the required workspace fits within the system's capabilities.
Required Joint angular stroke
<<ssec:detail_kinematics_nano_hexapod_joint_stroke>>
With the nano-hexapod geometry and mobility requirements established, the flexible joint angular stroke necessary to avoid limiting the achievable workspace can be determined.
This analysis focuses solely on bending stroke, as the torsional stroke of the flexible joints is expected to be minimal given the absence of vertical rotation requirements. The required angular stroke for both fixed and mobile joints is estimated to be equal to $1\,\text{mrad}$. This specification will guide the design of the flexible joints in Section ref:sec:detail_fem_joint.
Conclusion
<<sec:detail_kinematics_conclusion>>
This chapter has explored the optimization of the nano-hexapod geometry for the Nano Active Stabilization System (NASS).
First, a review of existing Stewart platforms revealed two main geometric categories: cubic architectures, characterized by mutually orthogonal struts arranged along the edges of a cube, and non-cubic architectures with varied strut orientations. While cubic architectures are prevalent in the literature and attributed with beneficial properties such as simplified kinematics, uniform stiffness, and reduced cross-coupling, the performed analysis revealed that some of these advantages should be more nuanced or context-dependent than commonly described.
The analytical relationships between Stewart platform geometry and its mechanical properties were established, enabling a better understanding of the trade-offs between competing requirements such as mobility and stiffness along different axes. These insights were useful during the nano-hexapod geometry optimization.
For the cubic configuration, complete dynamical decoupling in the Cartesian frame can be achieved when the center of mass of the moving body coincides with the cube's center, but this arrangement is often impractical for real-world applications. Modified cubic architectures with the cube's center positioned above the top platform were proposed as a potential solution, but proved unsuitable for the nano-hexapod due to size constraints and the impracticality of ensuring that different payloads' centers of mass would consistently align with the cube's center.
For the nano-hexapod design, a key challenge was addressing the wide range of potential payloads (1 to 50kg), which made it impossible to optimize the geometry for consistent dynamic performance across all usage scenarios. This led to a practical design approach where struts were oriented more vertically than in cubic configurations to address several application-specific needs: achieving higher resolution in the vertical direction by reducing amplification factors and better matching the micro-station's modal characteristics with higher vertical resonance frequencies.
Component Optimization
<<sec:detail_fem>>
Introduction
During the nano-hexapod's detailed design phase, a hybrid modeling approach combining finite element analysis with multi-body dynamics was developed. This methodology, using reduced-order flexible bodies, was created to enable both detailed component optimization and efficient system-level simulation, addressing the impracticality of a full FEM for real-time control scenarios.
The theoretical foundations and implementation are presented in Section ref:sec:detail_fem_super_element, where experimental validation was performed using an Amplified Piezoelectric Actuator. The framework was then applied to optimize two critical nano-hexapod elements: the actuators (Section ref:sec:detail_fem_actuator) and the flexible joints (Section ref:sec:detail_fem_joint). Through this approach, system-level dynamic behavior under closed-loop control conditions could be successfully predicted while detailed component-level optimization was facilitated.
Reduced order flexible bodies
<<sec:detail_fem_super_element>>
Introduction
Components exhibiting complex dynamical behavior are frequently found to be unsuitable for direct implementation within multi-body models. These components are traditionally analyzed using Finite Element Analysis (FEA) software. However, a methodological bridge between these two analytical approaches has been established, whereby components whose dynamical properties have been determined through FEA can be successfully integrated into multi-body models cite:&hatch00_vibrat_matlab_ansys. This combined multibody-FEA modeling approach presents significant advantages, as it enables the accurate FE modeling to specific elements while maintaining the computational efficiency of multi-body analysis for the broader system cite:&rankers98_machin.
The investigation of this hybrid modeling approach is structured in three sections. First, the fundamental principles and methodological approaches of this modeling framework are introduced (Section ref:ssec:detail_fem_super_element_theory). It is then illustrated through its practical application to the modelling of an Amplified Piezoelectric Actuator (APA) (Section ref:ssec:detail_fem_super_element_example). Finally, the validity of this modeling approach is demonstrated through experimental validation, wherein the obtained dynamics from the hybrid modelling approach is compared with measurements (Section ref:ssec:detail_fem_super_element_validation).
Procedure
<<ssec:detail_fem_super_element_theory>>
In this modeling approach, some components within the multi-body framework are represented as reduced-order flexible bodies, wherein their modal behavior is characterized through reduced mass and stiffness matrices derived from finite element analysis (FEA) models. These matrices are generated via modal reduction techniques, specifically through the application of component mode synthesis (CMS), thus establishing this design approach as a combined multibody-FEA methodology.
Standard FEA implementations typically involve thousands or even hundreds of thousands of DoF, rendering direct integration into multi-body simulations computationally prohibitive. The objective of modal reduction is therefore to substantially decrease the number of DoF while preserving the essential dynamic characteristics of the component.
The procedure for implementing this reduction involves several distinct stages. Initially, the component is modeled in a finite element software with appropriate material properties and boundary conditions. Subsequently, interface frames are defined at locations where the multi-body model will establish connections with the component. These frames serve multiple functions, including connecting to other parts, applying forces and torques, and measuring relative motion between defined frames.
Following the establishment of these interface parameters, modal reduction is performed using the Craig-Bampton method cite:&craig68_coupl_subst_dynam_analy (also known as the "fixed-interface method"), a technique that significantly reduces the number of DoF while while still presenting the main dynamical characteristics. This transformation typically reduces the model complexity from hundreds of thousands to fewer than 100 DoF. The number of degrees of freedom in the reduced model is determined by eqref:eq:detail_fem_model_order where $n$ represents the number of defined frames and $p$ denotes the number of additional modes to be modeled. The outcome of this procedure is an $m \times m$ set of reduced mass and stiffness matrices, $m$ being the total retained number of degrees of freedom, which can subsequently be incorporated into the multi-body model to represent the component's dynamic behavior.
\begin{equation}\label{eq:detail_fem_model_order} m = 6 × n + p
\end{equation}
Example with an Amplified Piezoelectric Actuator
<<ssec:detail_fem_super_element_example>>
Introduction
The presented modeling framework was first applied to an Amplified Piezoelectric Actuator (APA) for several reasons. Primarily, this actuator represents an excellent candidate for implementation within the nano-hexapod, as will be elaborated in Section ref:sec:detail_fem_actuator. Additionally, an Amplified Piezoelectric Actuator (the APA95ML shown in Figure ref:fig:detail_fem_apa95ml_picture) was available in the laboratory for experimental testing.
The APA consists of multiple piezoelectric stacks arranged horizontally (depicted in blue in Figure ref:fig:detail_fem_apa95ml_picture) and of an amplifying shell structure (shown in red) that serves two purposes: the application of pre-stress to the piezoelectric elements and the amplification of their displacement in the vertical direction cite:&claeyssen07_amplif_piezoel_actuat. The selection of the APA for validation purposes was further justified by its capacity to simultaneously demonstrate multiple aspects of the modeling framework. The specific design of the APA allows for the simultaneous modeling of a mechanical structure analogous to a flexible joint, piezoelectric actuation, and piezoelectric sensing, thereby encompassing the principal elements requiring validation.
\hfill
| Parameter | Value |
|---|---|
| Nominal Stroke | $100\,\mu m$ |
| Blocked force | $2100\,N$ |
| Stiffness | $21\,N/\mu m$ |
Finite Element Model
The development of the finite element model for the APA95ML required the knowledge of the material properties, as summarized in Table ref:tab:detail_fem_material_properties. The finite element mesh, shown in Figure ref:fig:detail_fem_apa95ml_mesh, was then generated.
| $E$ | $\nu$ | $\rho$ | |
|---|---|---|---|
| Stainless Steel | $190\,GPa$ | $0.31$ | $7800\,\text{kg}/m^3$ |
| Piezoelectric Ceramics (PZT) | $49.5\,GPa$ | $0.31$ | $7800\,\text{kg}/m^3$ |
The definition of interface frames constitutes a critical aspect of the model preparation. Seven frames were established: one frame at the two ends of each piezoelectric stack to facilitate strain measurement and force application, and additional frames at the top and bottom of the structure to enable connection with external elements in the multi-body simulation.
Six additional modes were considered, resulting in total model order of $48$. The modal reduction procedure was then executed, yielding the reduced mass and stiffness matrices that form the foundation of the component's representation in the multi-body simulation environment.
Super Element in the Multi-Body Model
Previously computed reduced order mass and stiffness matrices were imported in a multi-body model block called "Reduced Order Flexible Solid". This block has several interface frames corresponding to the ones defined in the FEA software. Frame $\{4\}$ was connected to the "world" frame, while frame $\{6\}$ was coupled to a vertically guided payload. In this example, two piezoelectric stacks were used for actuation while one piezoelectric stack was used as a force sensor. Therefore, a force source $F_a$ operating between frames $\{3\}$ and $\{2\}$ was used, while a displacement sensor $d_L$ between frames $\{1\}$ and $\{7\}$ was used for the sensor stack. This is illustrated in Figure ref:fig:detail_fem_apa_model_schematic.
However, to have access to the physical voltage input of the actuators stacks $V_a$ and to the generated voltage by the force sensor $V_s$, conversion between the electrical and mechanical domains need to be determined.
Sensor and Actuator "constants"
To link the electrical domain to the mechanical domain, an "actuator constant" $g_a$ and a "sensor constant" $g_s$ were introduced as shown in Figure ref:fig:detail_fem_apa_model_schematic.
From cite:&fleming14_desig_model_contr_nanop_system p. 123, the relation between relative displacement $d_L$ of the sensor stack and generated voltage $V_s$ is given by eqref:eq:detail_fem_dl_to_vs.
\begin{equation}\label{eq:detail_fem_dl_to_vs} V_s = g_s ⋅ d_L, \quad g_s = \frac{d33}{ε^T s^D n}
\end{equation}
From cite:&fleming10_integ_strain_force_feedb_high the relation between the force $F_a$ and the applied voltage $V_a$ is given by eqref:eq:detail_fem_va_to_fa.
\begin{equation}\label{eq:detail_fem_va_to_fa} F_a = g_a ⋅ V_a, \quad g_a = d33 n k_a, \quad k_a = \frac{cE A}{L}
\end{equation}
Unfortunately, it is difficult to know exactly which material is used for the piezoelectric stacks23. Yet, based on the available properties of the stacks in the data-sheet (summarized in Table ref:tab:detail_fem_stack_parameters), the soft Lead Zirconate Titanate "THP5H" from Thorlabs seemed to match quite well the observed properties.
| Parameter | Value |
|---|---|
| Nominal Stroke | $20\,\mu m$ |
| Blocked force | $4700\,N$ |
| Stiffness | $235\,N/\mu m$ |
| Voltage Range | $-20/150\,V$ |
| Capacitance | $4.4\,\mu F$ |
| Length | $20\,mm$ |
| Stack Area | $10\times 10\,mm^2$ |
The properties of this "THP5H" material used to compute $g_a$ and $g_s$ are listed in Table ref:tab:detail_fem_piezo_properties. From these parameters, $g_s = 5.1\,V/\mu m$ and $g_a = 26\,N/V$ were obtained.
| Parameter | Value | Description |
|---|---|---|
| $d_{33}$ | $680 \cdot 10^{-12}\,m/V$ | Piezoelectric constant |
| $\epsilon^{T}$ | $4.0 \cdot 10^{-8}\,F/m$ | Permittivity under constant stress |
| $s^{D}$ | $21 \cdot 10^{-12}\,m^2/N$ | Elastic compliance understand constant electric displacement |
| $c^{E}$ | $48 \cdot 10^{9}\,N/m^2$ | Young's modulus of elasticity |
| $L$ | $20\,mm$ per stack | Length of the stack |
| $A$ | $10^{-4}\,m^2$ | Area of the piezoelectric stack |
| $n$ | $160$ per stack | Number of layers in the piezoelectric stack |
Identification of the APA Characteristics
Initial validation of the finite element model and its integration as a reduced-order flexible model within the multi-body model was accomplished through comparative analysis of key actuator characteristics against manufacturer specifications.
The stiffness of the APA95ML was estimated from the multi-body model by computing the axial compliance of the APA95ML (Figure ref:fig:detail_fem_apa95ml_compliance), which corresponds to the transfer function from a vertical force applied between the two interface frames to the relative vertical displacement between these two frames. The inverse of the DC gain this transfer function corresponds to the axial stiffness of the APA95ML. A value of $23\,N/\mu m$ was found which is close to the specified stiffness in the datasheet of $k = 21\,N/\mu m$.
The multi-body model predicted a resonant frequency under block-free conditions of $\approx 2\,\text{kHz}$ (Figure ref:fig:detail_fem_apa95ml_compliance), which is in agreement with the nominal specification.
In order to estimate the stroke of the APA95ML, the mechanical amplification factor, defined as the ratio between vertical displacement and horizontal stack displacement, was first determined. This characteristic was quantified through analysis of the transfer function relating horizontal stack motion to vertical actuator displacement, from which an amplification factor of $1.5$ was derived.
The piezoelectric stacks, exhibiting a typical strain response of $0.1\,\%$ relative to their length (here equal to $20\,mm$), produce an individual nominal stroke of $20\,\mu m$ (see data-sheet of the piezoelectric stacks on Table ref:tab:detail_fem_stack_parameters, page pageref:tab:detail_fem_stack_parameters). As three stacks are used, the horizontal displacement is $60\,\mu m$. Through the established amplification factor of 1.5, this translates to a predicted vertical stroke of $90\,\mu m$ which falls within the manufacturer-specified range of $80\,\mu m$ and $120\,\mu m$.
The high degree of concordance observed across multiple performance metrics provides a first validation of the ability to include FEM into multi-body model.
Experimental Validation
<<ssec:detail_fem_super_element_validation>>
Introduction
Further validation of the reduced-order flexible body methodology was undertaken through experimental investigation. The goal was to measure the dynamics of the APA95ML and to compare it with predictions derived from the multi-body model incorporating the actuator as a flexible element.
The test bench illustrated in Figure ref:fig:detail_fem_apa95ml_bench_schematic was used, which consists of a $5.7\,kg$ granite suspended on top of the APA95ML. The granite's motion was vertically guided with an air bearing system, and a fibered interferometer was used to measured its vertical displacement $y$. A digital-to-analog converter (DAC) was used to generate the control signal $u$, which was subsequently conditioned through a voltage amplifier with a gain of $20$, ultimately yielding the effective voltage $V_a$ across the two piezoelectric stacks. Measurement of the sensor stack voltage $V_s$ was performed using an analog-to-digital converter (ADC).
Comparison of the dynamics
Frequency domain system identification techniques were used to characterize the dynamic behavior of the APA95ML. The identification procedure required careful choice of the excitation signal cite:&pintelon12_system_ident, chap. 5. During all this experimental work, random noise excitation was predominantly employed.
The designed excitation signal is then generated and both input and output signals are synchronously acquired. From the obtained input and output data, the frequency response functions were derived. To improve the quality of the obtained frequency domain data, averaging and windowing were used cite:&pintelon12_system_ident, chap. 13.
The obtained frequency response functions from $V_a$ to $V_s$ and to $y$ are compared with the theoretical predictions derived from the multi-body model in Figure ref:fig:detail_fem_apa95ml_comp_plant.
The difference in phase between the model and the measurements can be attributed to the sampling time of $0.1\,ms$ and to additional delays induced by electronic instrumentation related to the interferometer. The presence of a non-minimum phase zero in the measured system response (Figure ref:fig:detail_fem_apa95ml_comp_plant_sensor), shall be addressed during the experimental phase.
Regarding the amplitude characteristics, the constants $g_a$ and $g_s$ could be further refined through calibration against the experimental data.
Integral Force Feedback with APA
To further validate this modeling methodology, its ability to predict closed-loop behavior was verified experimentally. Integral Force Feedback (IFF) was implemented using the force sensor stack, and the measured dynamics of the damped system were compared with model predictions across multiple feedback gains.
The IFF controller implementation, defined in equation ref:eq:detail_fem_iff_controller, incorporated a tunable gain parameter $g$ and was designed to provide integral action near the system resonances and to limit the low frequency gain using an high pass filter.
\begin{equation}\label{eq:detail_fem_iff_controller} K_{\text{IFF}}(s) = \frac{g}{s + 2⋅ 2π} ⋅ \frac{s}{s + 0.5 ⋅ 2π}
\end{equation}
The theoretical damped dynamics of the closed-loop system was estimated using the model by computed the root locus plot shown in Figure ref:fig:detail_fem_apa95ml_iff_root_locus. For experimental validation, six gain values were tested: $g = [0,\,10,\,50,\,100,\,500,\,1000]$. The measured frequency responses for each gain configuration were compared with model predictions, as presented in Figure ref:fig:detail_fem_apa95ml_damped_plants.
The close agreement between experimental measurements and theoretical predictions across all gain configurations demonstrates the model's capability to accurately predict both open-loop and closed-loop system dynamics.
Conclusion
The experimental validation with an Amplified Piezoelectric Actuator confirms that this methodology accurately predicts both open-loop and closed-loop dynamic behaviors. This verification establishes its effectiveness for component design and system analysis applications.
The approach will be especially beneficial for optimizing actuators (Section ref:sec:detail_fem_actuator) and flexible joints (Section ref:sec:detail_fem_joint) for the nano-hexapod.
Actuator Selection
<<sec:detail_fem_actuator>>
Choice of the Actuator based on Specifications
<<ssec:detail_fem_actuator_specifications>>
The actuator selection process was driven by several critical requirements derived from previous dynamic analyses. A primary consideration is the actuator stiffness, which significantly impacts system dynamics through multiple mechanisms. The spindle rotation induces gyroscopic effects that modify plant dynamics and increase coupling, necessitating sufficient stiffness. Conversely, the actuator stiffness must be carefully limited to ensure the nano-hexapod's suspension modes remain below the problematic modes of the micro-station to limit the coupling between the two structures. These competing requirements suggest an optimal stiffness of approximately $1\,N/\mu m$.
Additional specifications arise from the control strategy and physical constraints. The implementation of the decentralized Integral Force Feedback (IFF) architecture necessitates force sensors to be collocated with each actuator. The system's geometric constraints limit the actuator height to 50mm, given the nano-hexapod's maximum height of 95mm and the presence of flexible joints at each strut extremity. Furthermore, the actuator stroke must exceed the micro-station positioning errors while providing additional margin for mounting adjustments and operational flexibility. An actuator stroke of $\approx 200\,\mu m$ is therefore required.
Three actuator technologies were evaluated (examples of such actuators are shown in Figure ref:fig:detail_fem_actuator_pictures): voice coil actuators, piezoelectric stack actuators, and amplified piezoelectric actuators. Variable reluctance actuators were not considered despite their superior efficiency compared to voice coil actuators, as their inherent nonlinearity would introduce control complexity.
Voice coil actuators (shown in Figure ref:fig:detail_fem_voice_coil_picture), when combined with flexure guides of wanted stiffness ($\approx 1\,N/\mu m$), would require forces in the order of $200\,N$ to achieve the specified $200\,\mu m$ displacement. While these actuators offer excellent linearity and long strokes capabilities, the constant force requirement would result in significant steady-state current, leading to thermal loads that could compromise system stability. Their advantages (linearity and long stroke) were not considered adapted for this application, diminishing their benefits relative to piezoelectric solutions.
Conventional piezoelectric stack actuators (shown in Figure ref:fig:detail_fem_piezo_picture) present two significant limitations for the current application. Their stroke is inherently limited to approximately $0.1\,\%$ of their length, meaning that even with the maximum allowable height of $50\,mm$, the achievable stroke would only be $50\,\mu m$, insufficient for the application. Additionally, their extremely high stiffness, typically around $100\,N/\mu m$, exceeds the desired specifications by two orders of magnitude.
Amplified Piezoelectric Actuators (APAs) emerged as the optimal solution by addressing these limitations through a specific mechanical design. The incorporation of a shell structure serves multiple purposes: it provides mechanical amplification of the piezoelectric displacement, reduces the effective axial stiffness to more suitable levels for the application, and creates a compact vertical profile. Furthermore, the multi-stack configuration enables one stack to be dedicated to force sensing, ensuring excellent collocation with the actuator stacks, a critical feature for implementing robust decentralized IFF cite:&souleille18_concep_activ_mount_space_applic;&verma20_dynam_stabil_thin_apert_light. Moreover, using APA for active damping has been successfully demonstrated in similar applications cite:&hanieh03_activ_stewar.
Several specific APA models were evaluated against the established specifications (Table ref:tab:detail_fem_piezo_act_models). The APA300ML emerged as the optimal choice. This selection was further reinforced by previous experience with APAs from the same manufacturer24, and particularly by the successful validation of the modeling methodology with a similar actuator (Section ref:ssec:detail_fem_super_element_example). The demonstrated accuracy of the modeling approach for the APA95ML provides confidence in the reliable prediction of the APA300ML's dynamic characteristics, thereby supporting both the selection decision and subsequent dynamical analyses.
| Specification | APA150M | APA300ML | APA400MML | FPA-0500E-P | FPA-0300E-S |
|---|---|---|---|---|---|
| Stroke $> 200\, [\mu m]$ | 187 | 304 | 368 | 432 | 240 |
| Stiffness $\approx 1\, [N/\mu m]$ | 0.7 | 1.8 | 0.55 | 0.87 | 0.58 |
| Resolution $< 2\, [nm]$ | 2 | 3 | 4 | ||
| Blocked Force $> 100\, [N]$ | 127 | 546 | 201 | 376 | 139 |
| Height $< 50\, [mm]$ | 22 | 30 | 24 | 27 | 16 |
APA300ML - Reduced Order Flexible Body
<<ssec:detail_fem_actuator_apa300ml>>
The validation of the APA300ML started by incorporating a "reduced order flexible body" into the multi-body model as explained in Section ref:sec:detail_fem_super_element. The FEA model was developed with particular attention to the placement of reference frames, as illustrated in Figure ref:fig:detail_fem_apa300ml_frames. Seven distinct frames were defined, with blue frames designating the force sensor stack interfaces for strain measurement, red frames denoting the actuator stack interfaces for force application and green frames for connecting to other elements. 120 additional modes were added during the modal reduction for a total order of 162. While this high order provides excellent accuracy for validation purposes, it proves computationally intensive for simulations.
The sensor and actuator "constants" ($g_s$ and $g_a$) derived in Section ref:ssec:detail_fem_super_element_example for the APA95ML were used for the APA300ML model, as both actuators employ identical piezoelectric stacks.
Simpler 2DoF Model of the APA300ML
<<ssec:detail_fem_actuator_apa300ml_2dof>>
To facilitate efficient time-domain simulations while maintaining essential dynamic characteristics, a simplified two-degree-of-freedom model, adapted from cite:&souleille18_concep_activ_mount_space_applic, was developed.
This model, illustrated in Figure ref:fig:detail_fem_apa_2dof_model, comprises three components. The mechanical shell is characterized by its axial stiffness $k_1$ and damping $c_1$. The actuator is modelled with stiffness $k_a$ and damping $c_a$, incorporating a force source $f$. This force is related to the applied voltage $V_a$ through the actuator constant $g_a$. The sensor stack is modeled with stiffness $k_e$ and damping $c_e$, with its deformation $d_L$ being converted to the output voltage $V_s$ through the sensor sensitivity $g_s$.

While providing computational efficiency, this simplified model has inherent limitations. It considers only axial behavior, treating the actuator as infinitely rigid in other directions. Several physical characteristics are not explicitly represented, including the mechanical amplification factor and the actual stress the piezoelectric stacks. Nevertheless, the model's primary advantage lies in its simplicity, adding only four states to the system model.
The model requires tuning of 8 parameters ($k_1$, $c_1$, $k_e$, $c_e$, $k_a$, $c_a$, $g_s$, and $g_a$) to match the dynamics extracted from the finite element analysis.
The shell parameters $k_1$ and $c_1$ were determined first through analysis of the zero in the $V_a$ to $V_s$ transfer function. The physical interpretation of this zero can be understood through Root Locus analysis: as controller gain increases, the poles of a closed-loop system converge to the open-loop zeros. The open-loop zero therefore corresponds to the poles of the system with a theoretical infinite-gain controller that ensures zero force in the sensor stack. This condition effectively represents the dynamics of an APA without the force sensor stack (i.e. an APA with only the shell). This physical interpretation enables straightforward parameter tuning: $k_1$ determines the frequency of the zero, while $c_1$ defines its damping characteristic.
The stack parameters ($k_a$, $c_a$, $k_e$, $c_e$) were then derived from the first pole of the $V_a$ to $y$ response. Given that identical piezoelectric stacks are used for both sensing and actuation, the relationships $k_e = 2k_a$ and $c_e = 2c_a$ were enforced, reflecting the series configuration of the dual actuator stacks. Finally, the sensitivities $g_s$ and $g_a$ were adjusted to match the DC gains of the respective transfer functions.
The resulting parameters, listed in Table ref:tab:detail_fem_apa300ml_2dof_parameters, yield dynamic behavior that closely matches the high-order finite element model, as demonstrated in Figure ref:fig:detail_fem_apa300ml_comp_fem_2dof_fem_2dof. While higher-order modes and non-axial flexibility are not captured, the model accurately represents the fundamental dynamics within the operational frequency range.
| Parameter | Value |
|---|---|
| $k_1$ | $0.30\,N/\mu m$ |
| $k_e$ | $4.3\, N/\mu m$ |
| $k_a$ | $2.15\,N/\mu m$ |
| $c_1$ | $18\,Ns/m$ |
| $c_e$ | $0.7\,Ns/m$ |
| $c_a$ | $0.35\,Ns/m$ |
| $g_a$ | $2.7\,N/V$ |
| $g_s$ | $0.53\,V/\mu m$ |
Electrical characteristics of the APA
<<ssec:detail_fem_actuator_apa300ml_electrical>>
The behavior of piezoelectric actuators is characterized by coupled constitutive equations that establish relationships between electrical properties (charges, voltages) and mechanical properties (stress, strain) cite:&schmidt20_desig_high_perfor_mechat_third_revis_edition, chapter 5.5.
To evaluate the impact of electrical boundary conditions on the system dynamics, experimental measurements were conducted using the APA95ML, comparing the transfer function from $V_a$ to $y$ under two distinct configurations. With the force sensor stack in open-circuit condition (analogous to voltage measurement with high input impedance) and in short-circuit condition (similar to charge measurement with low output impedance). As demonstrated in Figure ref:fig:detail_fem_apa95ml_effect_electrical_boundaries, short-circuiting the force sensor stack results in a minor decrease in resonance frequency. The developed models of the APA do not represent such behavior, but as this effect is quite small, this validates the simplifying assumption made in the models.
However, the electrical characteristics of the APA remain crucial for instrumentation design. Proper consideration must be given to voltage amplifier specifications and force sensor signal conditioning requirements. These aspects will be addressed in the instrumentation chapter.
Validation with the Nano-Hexapod
<<ssec:detail_fem_actuator_apa300ml_validation>>
The integration of the APA300ML model within the nano-hexapod simulation framework served two validation objectives: to validate the APA300ML choice through analysis of system dynamics with APA modelled as flexible bodies, and to validate the simplified 2DoF model through comparative analysis with the full FEM implementation.
The dynamics predicted using the flexible body model align well with the design requirements established during the conceptual phase. The dynamics from $\bm{u}$ to $\bm{V}_s$ exhibits the desired alternating pole-zero pattern (Figure ref:fig:detail_fem_actuator_fem_vs_perfect_hac_plant), a critical characteristic for implementing robust decentralized Integral Force Feedback. Additionally, the model predicts no problematic high-frequency modes in the dynamics from $\bm{u}$ to $\bm{\epsilon}_{\mathcal{L}}$ (Figure ref:fig:detail_fem_actuator_fem_vs_perfect_iff_plant), maintaining consistency with earlier conceptual simulations. These findings suggest that the control performance targets established during the conceptual phase remain achievable with the selected actuator.
Comparative analysis between the high-order FEM implementation and the simplified 2DoF model (Figure ref:fig:detail_fem_actuator_fem_vs_perfect_plants) demonstrates remarkable agreement in the frequency range of interest. This validates the use of the simplified model for time-domain simulations. The reduction in model order is substantial: while the FEM implementation results in approximately 300 states (36 states per actuator plus 12 additional states), the 2DoF model requires only 24 states for the complete nano-hexapod.
These results validate both the selection of the APA300ML and the effectiveness of the simplified modeling approach for the nano-hexapod.
Flexible Joint Design
<<sec:detail_fem_joint>>
Introduction
High-precision position control at the nanometer scale requires systems to be free from friction and backlash, as these nonlinear phenomena severely limit achievable positioning accuracy. This fundamental requirement prevents the use of conventional joints, necessitating instead the implementation of flexible joints that achieve motion through elastic deformation. For Stewart platforms requiring nanometric precision, numerous flexible joint designs have been developed and successfully implemented, as illustrated in Figure ref:fig:detail_fem_joints_examples. For design simplicity and component standardization, identical joints are employed at both ends of the nano-hexapod struts.
While ideally these joints would permit free rotation about defined axes while maintaining infinite rigidity in other degrees of freedom, practical implementations exhibit parasitic stiffness that can impact control performance cite:&mcinroy02_model_desig_flexur_joint_stewar. This section examines how these non-ideal characteristics affect system behavior, focusing particularly on bending/torsional stiffness (Section ref:ssec:detail_fem_joint_bending) and axial compliance (Section ref:ssec:detail_fem_joint_axial).
The analysis of bending and axial stiffness effects enables the establishment of comprehensive specifications for the flexible joints. These specifications guide the development and optimization of a flexible joint design through finite element analysis (Section ref:ssec:detail_fem_joint_specs). The validation process, detailed in Section ref:ssec:detail_fem_joint_validation, begins with the integration of the joints as "reduced order flexible bodies" in the nano-hexapod model, followed by the development of computationally efficient lower-order models that preserve the essential dynamic characteristics of the flexible joints.
Bending and Torsional Stiffness
<<ssec:detail_fem_joint_bending>>
The presence of bending stiffness in flexible joints causes the forces applied by the struts to deviate from the strut direction cite:&mcinroy02_model_desig_flexur_joint_stewar and can affect system dynamics.
To quantify these effects, simulations were conducted with the micro-station considered rigid and using simplified 1DoF actuators (stiffness of $1\,N/\mu m$) without parallel stiffness to the force sensors. Flexible joint bending stiffness was varied from 0 (ideal case) to $500\,Nm/\text{rad}$.
Analysis of the plant dynamics reveals two significant effects. For the transfer function from $\bm{f}$ to $\bm{\epsilon}_{\mathcal{L}}$, bending stiffness increases low-frequency coupling, though this remains small for realistic stiffness values (Figure ref:fig:detail_fem_joints_bending_stiffness_hac_plant). In cite:&mcinroy02_model_desig_flexur_joint_stewar, it is established that forces remain effectively aligned with the struts when the flexible joint bending stiffness is much small than the actuator stiffness multiplied by the square of the strut length. For the nano-hexapod, this corresponds to having the bending stiffness much lower than 9000 Nm/rad. This condition is more readily satisfied with the relatively stiff actuators selected, and could be problematic for softer Stewart platforms.
For the force sensor plant, bending stiffness introduces complex conjugate zeros at low frequency (Figure ref:fig:detail_fem_joints_bending_stiffness_iff_plant). This behavior resembles having parallel stiffness to the force sensor as was the case with the APA300ML (see Figure ref:fig:detail_fem_actuator_fem_vs_perfect_iff_plant). However, this time the parallel stiffness does not comes from the considered strut, but from the bending stiffness of the flexible joints of the other five struts. This characteristic impacts the achievable damping using decentralized Integral Force Feedback cite:&preumont07_six_axis_singl_stage_activ. This is confirmed by the Root Locus plot in Figure ref:fig:detail_fem_joints_bending_stiffness_iff_locus_1dof. This effect becomes less significant when using the selected APA300ML actuators (Figure ref:fig:detail_fem_joints_bending_stiffness_iff_locus_apa300ml), which already incorporate parallel stiffness by design which is higher than the one induced by flexible joint stiffness.
A parallel analysis of torsional stiffness revealed similar effects, though these proved less critical for system performance.
Axial Stiffness
<<ssec:detail_fem_joint_axial>>
The limited axial stiffness ($k_a$) of flexible joints introduces an additional compliance between the actuation point and the measurement point. As explained in cite:&preumont18_vibrat_contr_activ_struc_fourt_edition, chapter 6 and in cite:&rankers98_machin (effect called "actuator flexibility"), such intermediate flexibility invariably degrades control performance. Therefore, determining the minimum acceptable axial stiffness that maintains nano-hexapod performance becomes crucial.
The analysis incorporates the strut mass (112g per APA300ML) to accurately model internal resonance effects. A parametric study was conducted by varying the axial stiffness from $1\,N/\mu m$ (matching actuator stiffness) to $1000\,N/\mu m$ (approximating rigid behavior). The resulting frequency responses (Figure ref:fig:detail_fem_joints_axial_stiffness_plants) reveal distinct effects on system dynamics.
The force-sensor (IFF) plant exhibits minimal sensitivity to axial compliance, as evidenced by both frequency response data (Figure ref:fig:detail_fem_joints_axial_stiffness_iff_plant) and root locus analysis (Figure ref:fig:detail_fem_joints_axial_stiffness_iff_locus).
However, the transfer function from $\bm{f}$ to $\bm{\epsilon}_{\mathcal{L}}$ demonstrates significant effects: internal strut modes appear at high frequencies, introducing substantial cross-coupling between axes. This coupling is quantified through RGA analysis of the damped system (Figure ref:fig:detail_fem_joints_axial_stiffness_rga_hac_plant), which confirms increasing interaction between control channels at frequencies above the joint-induced resonance.
Above this resonance frequency, two critical limitations emerge. First, the system exhibits strong coupling between control channels, making decentralized control strategies ineffective. Second, control authority diminishes significantly near the resonant frequencies. These effects fundamentally limit achievable control bandwidth, making high axial stiffness essential for system performance.
Based on this analysis, an axial stiffness specification of $100\,N/\mu m$ was established for the nano-hexapod joints.
Specifications and Design flexible joints
<<ssec:detail_fem_joint_specs>>
The design of flexible joints for precision applications requires careful consideration of multiple mechanical characteristics. Critical specifications include sufficient bending stroke to ensure long-term operation below yield stress, high axial stiffness for precise positioning, low bending and torsional stiffnesses to minimize parasitic forces, adequate load capacity, and well-defined rotational axes. Based on the dynamic analysis presented in previous sections, quantitative specifications were established and are summarized in Table ref:tab:detail_fem_joints_specs.
| Specification | FEM | |
|---|---|---|
| Axial Stiffness $k_a$ | $> 100\,N/\mu m$ | 94 |
| Shear Stiffness $k_s$ | $> 1\,N/\mu m$ | 13 |
| Bending Stiffness $k_f$ | $< 100\,Nm/\text{rad}$ | 5 |
| Torsion Stiffness $k_t$ | $< 500\,Nm/\text{rad}$ | 260 |
| Bending Stroke | $> 1\,\text{mrad}$ | 24.5 |
Among various possible flexible joint architectures, the design shown in Figure ref:fig:detail_fem_joints_design was selected for three key advantages. First, the geometry creates coincident $x$ and $y$ rotation axes, ensuring well-defined kinematic behavior, important for the precise definition of the nano-hexapod Jacobian matrix. Second, the design allows easy tuning of different directional stiffnesses through a limited number of geometric parameters. Third, the architecture inherently provides high axial stiffness while maintaining the required compliance in rotational degrees of freedom.
The joint geometry was optimized through parametric finite element analysis. The optimization process revealed an inherent trade-off between maximizing axial stiffness and achieving sufficiently low bending/torsional stiffness, while maintaining material stresses within acceptable limits. The final design, featuring a neck dimension of 0.25mm, achieves mechanical properties closely matching the target specifications, as verified through finite element analysis and summarized in Table ref:tab:detail_fem_joints_specs.
Validation with the Nano-Hexapod
<<ssec:detail_fem_joint_validation>>
The designed flexible joint was first validated through integration into the nano-hexapod model using reduced-order flexible bodies derived from finite element analysis. This high-fidelity representation was created by defining two interface frames (Figure ref:fig:detail_fem_joints_frames) and extracting six additional modes, resulting in reduced-order mass and stiffness matrices of dimension $18 \times 18$. The computed transfer functions from actuator forces to both force sensor measurements ($\bm{f}$ to $\bm{f}_m$) and external metrology ($\bm{f}$ to $\bm{\epsilon}_{\mathcal{L}}$) demonstrate dynamics consistent with predictions from earlier analyses (Figure ref:fig:detail_fem_joints_fem_vs_perfect_plants), thereby validating the joint design.

While this detailed modeling approach provides high accuracy, it results in a significant increase in system model order. The complete nano-hexapod model incorporates 240 states: 12 for the payload (6 DOF), 12 for the 2DOF struts, and 216 for the flexible joints (18 states for each of the 12 joints). To improve computational efficiency, a low order representation was developed using simplified joint elements with selective compliance DoF.
After evaluating various configurations, a compromise was achieved by modeling bottom joints with bending and axial stiffness ($k_f$ and $k_a$), and top joints with bending, torsional, and axial stiffness ($k_f$, $k_t$ and $k_a$). This simplification reduces the total model order to 48 states: 12 for the payload, 12 for the struts, and 24 for the joints (12 each for bottom and top joints). While additional degrees of freedom could potentially capture more dynamic features, the selected configuration preserves essential system characteristics while minimizing computational complexity.
Conclusion
<<sec:detail_fem_conclusion>>
In this chapter, the methodology of combining finite element analysis with multi-body modeling has been demonstrated and validated, proving particularly valuable for the detailed design of nano-hexapod components. The approach was first validated using an amplified piezoelectric actuator, where predicted dynamics showed excellent agreement with experimental measurements for both open and closed-loop behavior. This validation established confidence in the method's ability to accurately predict component behavior within a larger system.
The methodology was then successfully applied to optimize two critical components. For the actuators, it enabled validation of the APA300ML selection while providing both high-fidelity and computationally efficient models for system simulation. Similarly, for the flexible joints, the analysis of bending and axial stiffness effects led to clear specifications and an optimized design that balances competing mechanical requirements. In both cases, the ability to seamlessly integrate finite element models into the multi-body framework proved essential for understanding component interactions and their impact on system-level dynamics.
A key outcome of this work is the development of reduced-order models that maintain prediction accuracy while enabling efficient time-domain simulation. Such model reduction, guided by detailed understanding of component behavior, provides the foundation for subsequent control system design and optimization.
Control Optimization
<<sec:detail_control>>
Introduction
Three critical elements for the control of parallel manipulators such as the Nano-Hexapod were identified: effective use and combination of multiple sensors, appropriate plant decoupling strategies, and robust controller design for the decoupled system.
During the conceptual design phase of the NASS, pragmatic approaches were implemented for each of these elements. The High Authority Control-Low Authority Control (HAC-LAC) architecture was selected for combining sensors. Control was implemented in the frame of the struts, leveraging the inherent low-frequency decoupling of the plant where all decoupled elements exhibited similar dynamics, thereby simplifying the Single-Input Single-Output (SISO) controller design process. For these decoupled plants, open-loop shaping techniques were employed to tune the individual controllers.
While these initial strategies proved effective in validating the NASS concept, this work explores alternative approaches with the potential to further enhance the performance. Section ref:sec:detail_control_sensor examines different methods for combining multiple sensors, with particular emphasis on sensor fusion techniques that are based on complementary filters. A novel approach for designing these filters is proposed, which allows optimization of the sensor fusion effectiveness.
Section ref:sec:detail_control_decoupling presents a comparative analysis of various decoupling strategies, including Jacobian decoupling, modal decoupling, and Singular Value Decomposition (SVD) decoupling. Each method is evaluated in terms of its theoretical foundations, implementation requirements, and performance characteristics, providing insights into their respective advantages for different applications.
Finally, Section ref:sec:detail_control_cf addresses the challenge of controller design for decoupled plants. A method for directly shaping closed-loop transfer functions using complementary filters is proposed, offering an intuitive approach to achieving desired performance specifications while ensuring robustness to plant uncertainty.
Multiple Sensor Control
<<sec:detail_control_sensor>>
Introduction
The literature review of Stewart platforms revealed a wide diversity of designs with various sensor and actuator configurations. Control objectives (such as active damping, vibration isolation, or precise positioning) directly dictate sensor selection, whether inertial, force, or relative position sensors.
In cases where multiple control objectives must be achieved simultaneously, as is the case for the Nano Active Stabilization System (NASS) where the Stewart platform must both position the sample and provide isolation from micro-station vibrations, combining multiple sensors within the control architecture has been demonstrated to yield significant performance benefits cite:&hauge04_sensor_contr_space_based_six. From the literature, three principal approaches for combining sensors have been identified: High Authority Control-Low Authority Control (HAC-LAC), sensor fusion, and two-sensor control architectures.
The HAC-LAC approach employs a dual-loop control strategy in which two control loops are using different sensors for distinct purposes (Figure ref:fig:detail_control_sensor_arch_hac_lac). In cite:&li01_simul_vibrat_isolat_point_contr, vibration isolation is provided by accelerometers collocated with the voice coil actuators, while external rotational sensors are used to achieve pointing control. In cite:&geng95_intel_contr_system_multip_degree, force sensors collocated with the magnetostrictive actuators are used for active damping using decentralized IFF, and subsequently accelerometers are employed for adaptive vibration isolation. Similarly, in cite:&wang16_inves_activ_vibrat_isolat_stewar, piezoelectric actuators with collocated force sensors are used in a decentralized manner to provide active damping while accelerometers are implemented in an adaptive feedback loop to suppress periodic vibrations. In cite:&xie17_model_contr_hybrid_passiv_activ, force sensors are integrated in the struts for decentralized force feedback while accelerometers fixed to the top platform are employed for centralized control.
The second approach, sensor fusion (illustrated in Figure ref:fig:detail_control_sensor_arch_sensor_fusion), involves filtering signals from two sensors using complementary filters25 and summing them to create an improved sensor signal. In cite:&hauge04_sensor_contr_space_based_six, geophones (used at low frequency) are merged with force sensors (used at high frequency). It is demonstrated that combining both sensors using sensor fusion can improve performance compared to using only one of the two sensors. In cite:&tjepkema12_sensor_fusion_activ_vibrat_isolat_precis_equip, sensor fusion architecture is implemented with an accelerometer and a force sensor. This implementation is shown to simultaneously achieve high damping of structural modes (through the force sensors) while maintaining very low vibration transmissibility (through the accelerometers).
In cite:&beijen14_two_sensor_contr_activ_vibrat, the performance of sensor fusion is compared with the more general case of "two-sensor control" (illustrated in Figure ref:fig:detail_control_sensor_arch_two_sensor_control). It is highlighted that "two-sensor control" provides greater control freedom, potentially enhancing performance. In cite:&thayer02_six_axis_vibrat_isolat_system, the use of force sensors and geophones is compared for vibration isolation purposes. Geophones are shown to provide better isolation performance than load cells but suffer from poor robustness. Conversely, the controller based on force sensors exhibited inferior performance (due to the presence of a pair of low frequency zeros), but demonstrated better robustness properties. A "two-sensor control" approach was proven to perform better than controllers based on individual sensors while maintaining better robustness. A Linear Quadratic Regulator (LQG) was employed to optimize the two-input/one-output controller.
Beyond these three main approaches, other control architectures have been proposed for different purposes. For instance, in cite:&yang19_dynam_model_decoup_contr_flexib, a first control loop based on force sensors and relative motion sensors is implemented to compensate for parasitic stiffness of the flexible joints. Subsequently, the system is decoupled in the modal space (facilitated by the removal of parasitic stiffness) and accelerometers are employed for vibration isolation.
The HAC-LAC architecture was previously investigated during the conceptual phase and successfully implemented to validate the NASS concept, demonstrating excellent performance. At the other end of the spectrum, the two-sensor approach yields greater control design freedom but introduces increased complexity in tuning, and thus was not pursued in this study. This work instead focuses on sensor fusion, which represents a promising middle ground between the proven HAC-LAC approach and the more complex two-sensor control strategy.
A review of sensor fusion is first presented in Section ref:ssec:detail_control_sensor_review. Then, in Section ref:ssec:detail_control_sensor_fusion_requirements, both the robustness of the fusion and the noise characteristics of the resulting "fused sensor" are derived and expressed as functions of the complementary filters' norms. A synthesis method for shaping complementary filters is proposed in Section ref:ssec:detail_control_sensor_hinf_method. The investigation is then extended beyond the conventional two-sensor scenario, demonstrating how the proposed complementary filter synthesis can be generalized for applications requiring the fusion of three or more sensors (Section ref:ssec:detail_control_sensor_hinf_three_comp_filters).
Review of Sensor Fusion
<<ssec:detail_control_sensor_review>>
Measuring a physical quantity using sensors is always subject to several limitations. First, the accuracy of the measurement is affected by various noise sources, such as electrical noise from the conditioning electronics. Second, the frequency range in which the measurement is relevant is bounded by the bandwidth of the sensor. One way to overcome these limitations is to combine several sensors using a technique called "sensor fusion" cite:&bendat57_optim_filter_indep_measur_two. Fortunately, a wide variety of sensors exists, each with different characteristics. By carefully selecting the sensors to be fused, a "super sensor" is obtained that combines the benefits of the individual sensors.
In some applications, sensor fusion is employed to increase measurement bandwidth cite:&shaw90_bandw_enhan_posit_measur_using_measur_accel;&zimmermann92_high_bandw_orien_measur_contr;&min15_compl_filter_desig_angle_estim. For instance, in cite:&shaw90_bandw_enhan_posit_measur_using_measur_accel, the bandwidth of a position sensor is extended by fusing it with an accelerometer that provides high-frequency motion information. In other applications, sensor fusion is used to obtain an estimate of the measured quantity with reduced noise cite:&hua05_low_ligo;&hua04_polyp_fir_compl_filter_contr_system;&plummer06_optim_compl_filter_their_applic_motion_measur;&robert12_introd_random_signal_applied_kalman. More recently, the fusion of sensors measuring different physical quantities has been proposed to enhance control properties cite:&collette15_sensor_fusion_method_high_perfor;&yong16_high_speed_vertic_posit_stage. In cite:&collette15_sensor_fusion_method_high_perfor, an inertial sensor used for active vibration isolation is fused with a sensor collocated with the actuator to improve the stability margins of the feedback controller.
Beyond Stewart platforms, practical applications of sensor fusion are numerous. It is widely implemented for attitude estimation in autonomous vehicles such as unmanned aerial vehicles cite:&baerveldt97_low_cost_low_weigh_attit;&corke04_inert_visual_sensin_system_small_auton_helic;&jensen13_basic_uas and underwater vehicles cite:&pascoal99_navig_system_desig_using_time;&batista10_optim_posit_veloc_navig_filter_auton_vehic. Sensor fusion offers significant benefits for high-performance positioning control as demonstrated in cite:&shaw90_bandw_enhan_posit_measur_using_measur_accel;&zimmermann92_high_bandw_orien_measur_contr;&min15_compl_filter_desig_angle_estim;&yong16_high_speed_vertic_posit_stage. It has also been identified as a key technology for improving the performance of active vibration isolation systems cite:&tjepkema12_sensor_fusion_activ_vibrat_isolat_precis_equip. Emblematic examples include the isolation stages of gravitational wave detectors cite:&collette15_sensor_fusion_method_high_perfor;&heijningen18_low such as those employed at LIGO cite:&hua05_low_ligo;&hua04_polyp_fir_compl_filter_contr_system and Virgo cite:&lucia18_low_frequen_optim_perfor_advan.
Two principal methods are employed to perform sensor fusion: using complementary filters cite:&anderson53_instr_approac_system_steer_comput or using Kalman filtering cite:&brown72_integ_navig_system_kalman_filter. For sensor fusion applications, these methods share many relationships cite:&brown72_integ_navig_system_kalman_filter;&higgins75_compar_compl_kalman_filter;&robert12_introd_random_signal_applied_kalman;&fonseca15_compl. However, Kalman filtering requires assumptions about the probabilistic characteristics of sensor noise cite:&robert12_introd_random_signal_applied_kalman, whereas complementary filters do not impose such requirements. Furthermore, complementary filters offer advantages over Kalman filtering for sensor fusion through their general applicability, low computational cost cite:&higgins75_compar_compl_kalman_filter, and intuitive nature, as their effects can be readily interpreted in the frequency domain.
A set of filters is considered complementary if the sum of their transfer functions equals one at all frequencies. In early implementations of complementary filtering, analog circuits were used to physically realize the filters cite:&anderson53_instr_approac_system_steer_comput. While analog complementary filters remain in use today cite:&yong16_high_speed_vertic_posit_stage;&moore19_capac_instr_sensor_fusion_high_bandw_nanop, digital implementation is now more common as it provides greater flexibility.
Various design methods have been developed to optimize complementary filters. The most straightforward approach is based on analytical formulas, which depending on the application may be first order cite:&corke04_inert_visual_sensin_system_small_auton_helic;&yeh05_model_contr_hydraul_actuat_two;&yong16_high_speed_vertic_posit_stage, second order cite:&baerveldt97_low_cost_low_weigh_attit;&stoten01_fusion_kinet_data_using_compos_filter;&jensen13_basic_uas, or higher orders cite:&shaw90_bandw_enhan_posit_measur_using_measur_accel;&zimmermann92_high_bandw_orien_measur_contr;&stoten01_fusion_kinet_data_using_compos_filter;&collette15_sensor_fusion_method_high_perfor;&matichard15_seism_isolat_advan_ligo. Since the characteristics of the super sensor depend on proper complementary filter design cite:&dehaeze19_compl_filter_shapin_using_synth, several optimization techniques have emerged—ranging from optimizing parameters for analytical formulas cite:&jensen13_basic_uas;&min15_compl_filter_desig_angle_estim;&fonseca15_compl to employing convex optimization tools cite:&hua04_polyp_fir_compl_filter_contr_system;&hua05_low_ligo such as linear matrix inequalities cite:&pascoal99_navig_system_desig_using_time. As demonstrated in cite:&plummer06_optim_compl_filter_their_applic_motion_measur, complementary filter design can be linked to the standard mixed-sensitivity control problem, allowing powerful classical control theory tools to be applied. For example, in cite:&jensen13_basic_uas, two gains of a Proportional Integral (PI) controller are optimized to minimize super sensor noise.
All these complementary filter design methods share the common objective of creating a super sensor with desired characteristics, typically in terms of noise and dynamics. As reported in cite:&zimmermann92_high_bandw_orien_measur_contr;&plummer06_optim_compl_filter_their_applic_motion_measur, phase shifts and magnitude bumps in the super sensor dynamics may occur if complementary filters are poorly designed or if sensors are improperly calibrated. Therefore, the robustness of the fusion must be considered when designing complementary filters. Despite the numerous design methods proposed in the literature, a simple approach that specifies desired super sensor characteristics while ensuring good fusion robustness has been lacking.
Fortunately, both fusion robustness and super sensor characteristics can be linked to complementary filter magnitude cite:&dehaeze19_compl_filter_shapin_using_synth. Based on this relationship, the present work introduces an approach to designing complementary filters using $\mathcal{H}_\infty\text{-synthesis}$, which enables intuitive shaping of complementary filter magnitude in a straightforward manner.
Sensor Fusion and Complementary Filters Requirements
<<ssec:detail_control_sensor_fusion_requirements>>
Sensor Fusion Architecture
A general sensor fusion architecture using complementary filters is shown in Figure ref:fig:detail_control_sensor_fusion_overview, where multiple sensors (in this case two) measure the same physical quantity $x$. The sensor output signals $\hat{x}_1$ and $\hat{x}_2$ represent estimates of $x$. These estimates are filtered by complementary filters and combined to form a new estimate $\hat{x}$.

The complementary property of filters $H_1(s)$ and $H_2(s)$ requires that the sum of their transfer functions equals one at all frequencies eqref:eq:detail_control_sensor_comp_filter.
\begin{equation}\label{eq:detail_control_sensor_comp_filter} H_1(s) + H_2(s) = 1
\end{equation}
Sensor Models and Sensor Normalization
To analyze sensor fusion architectures, appropriate sensor models are required. The model shown in Figure ref:fig:detail_control_sensor_model consists of a linear time invariant (LTI) system $G_i(s)$ representing the sensor dynamics and an input $n_i$ representing sensor noise. The model input $x$ is the measured physical quantity, and its output $\tilde{x}_i$ is the "raw" output of the sensor.
Prior to filtering the sensor outputs $\tilde{x}_i$ with complementary filters, the sensors are typically normalized to simplify the fusion process. This normalization involves using an estimate $\hat{G}_i(s)$ of the sensor dynamics $G_i(s)$, and filtering the sensor output by the inverse of this estimate $\hat{G}_i^{-1}(s)$, as shown in Figure ref:fig:detail_control_sensor_model_calibrated. It is assumed that the sensor inverse $\hat{G}_i^{-1}(s)$ is proper and stable. This approach ensures that the units of the estimates $\hat{x}_i$ match the units of the physical quantity $x$. The sensor dynamics estimate $\hat{G}_i(s)$ may be a simple gain or a more complex transfer function.
Two normalized sensors are then combined to form a super sensor as shown in Figure ref:fig:detail_control_sensor_fusion_super_sensor. The two sensors measure the same physical quantity $x$ with dynamics $G_1(s)$ and $G_2(s)$, and with uncorrelated noises $n_1$ and $n_2$. The signals from both normalized sensors are fed into two complementary filters $H_1(s)$ and $H_2(s)$ and then combined to yield an estimate $\hat{x}$ of $x$. The super sensor output $\hat{x}$ is therefore described by eqref:eq:detail_control_sensor_comp_filter_estimate.
\begin{equation}\label{eq:detail_control_sensor_comp_filter_estimate} \hat{x} = \Big( H_1(s) \hat{G}_1-1(s) G_1(s) + H_2(s) \hat{G}_2-1(s) G_2(s) \Big) x + H_1(s) \hat{G}_1-1(s) G_1(s) n_1 + H_2(s) \hat{G}_2-1(s) G_2(s) n_2
\end{equation}

Noise Sensor Filtering
First, consider the case where all sensors are perfectly normalized eqref:eq:detail_control_sensor_perfect_dynamics. The effects of imperfect normalization will be addressed subsequently.
\begin{equation}\label{eq:detail_control_sensor_perfect_dynamics} \frac{\hat{x}_i}{x} = \hat{G}_i(s) G_i(s) = 1
\end{equation}
In that case, the super sensor output $\hat{x}$ equals $x$ plus the filtered noise from both sensors eqref:eq:detail_control_sensor_estimate_perfect_dyn. From this equation, it is evident that the complementary filters $H_1(s)$ and $H_2(s)$ operate solely on the sensor noise. Thus, this sensor fusion architecture allows filtering of sensor noise without introducing distortion in the measured physical quantity. This fundamental property necessitates that the two filters are complementary.
\begin{equation}\label{eq:detail_control_sensor_estimate_perfect_dyn} \hat{x} = x + H_1(s) n_1 + H_2(s) n_2
\end{equation}
The estimation error $\epsilon_x$, defined as the difference between the sensor output $\hat{x}$ and the measured quantity $x$, is computed for the super sensor eqref:eq:detail_control_sensor_estimate_error.
\begin{equation}\label{eq:detail_control_sensor_estimate_error} ε_x ≜ \hat{x} - x = H_1(s) n_1 + H_2(s) n_2
\end{equation}
As shown in eqref:eq:detail_control_sensor_noise_filtering_psd, the Power Spectral Density (PSD) of the estimation error $\Phi_{\epsilon_x}$ depends both on the norm of the two complementary filters and on the PSD of the noise sources $\Phi_{n_1}$ and $\Phi_{n_2}$.
\begin{equation}\label{eq:detail_control_sensor_noise_filtering_psd} Φε_x(ω) = ≤ft|H_1(jω)\right|^2 Φn_1(ω) + ≤ft|H_2(jω)\right|^2 Φn_2(ω)
\end{equation}
If the two sensors have identical noise characteristics ($\Phi_{n_1}(\omega) = \Phi_{n_2}(\omega)$), simple averaging ($H_1(s) = H_2(s) = 0.5$) would minimize the super sensor noise. This represents the simplest form of sensor fusion using complementary filters.
However, sensors typically exhibit high noise levels in different frequency regions. In such cases, to reduce the noise of the super sensor, $|H_1(j\omega)|$ should be minimized when $\Phi_{n_1}(\omega)$ exceeds $\Phi_{n_2}(\omega)$, and $|H_2(j\omega)|$ should be minimized when $\Phi_{n_2}(\omega)$ exceeds $\Phi_{n_1}(\omega)$. Therefore, by appropriately shaping the norm of the complementary filters, the noise of the super sensor can be minimized.
Sensor Fusion Robustness
In practical systems, sensor normalization is rarely perfect, and condition eqref:eq:detail_control_sensor_perfect_dynamics is not fully satisfied. To analyze such imperfections, a multiplicative input uncertainty is incorporated into the sensor dynamics (Figure ref:fig:detail_control_sensor_model_uncertainty). The nominal model is the estimated model used for normalization $\hat{G}_i(s)$, $\Delta_i(s)$ is any stable transfer function satisfying $|\Delta_i(j\omega)| \le 1,\ \forall\omega$, and $w_i(s)$ is a weighting transfer function representing the magnitude of uncertainty.
Since the nominal sensor dynamics is taken as the normalized filter, the normalized sensor model can be further simplified as shown in Figure ref:fig:detail_control_sensor_model_uncertainty_simplified.
The sensor fusion architecture incorporating sensor models with dynamical uncertainty is illustrated in Figure ref:fig:detail_control_sensor_fusion_dynamic_uncertainty. The super sensor dynamics eqref:eq:detail_control_sensor_super_sensor_dyn_uncertainty is no longer unity but depends on the sensor dynamical uncertainty weights $w_i(s)$ and the complementary filters $H_i(s)$. The dynamical uncertainty of the super sensor can be graphically represented in the complex plane by a circle centered on $1$ with a radius equal to $|w_1(j\omega) H_1(j\omega)| + |w_2(j\omega) H_2(j\omega)|$ (Figure ref:fig:detail_control_sensor_uncertainty_set_super_sensor).
\begin{equation}\label{eq:detail_control_sensor_super_sensor_dyn_uncertainty} \frac{\hat{x}}{x} = 1 + w_1(s) H_1(s) Δ_1(s) + w_2(s) H_2(s) Δ_2(s)
\end{equation}
The super sensor dynamical uncertainty, and consequently the robustness of the fusion, clearly depends on the complementary filters' norm. As it is generally desired to limit the dynamical uncertainty of the super sensor, the norm of the complementary filter $|H_i(j\omega)|$ should be made small when $|w_i(j\omega)|$ is large, i.e., at frequencies where the sensor dynamics is uncertain.
Complementary Filters Shaping
<<ssec:detail_control_sensor_hinf_method>>
Introduction
As established in Section ref:ssec:detail_control_sensor_fusion_requirements, the super sensor's noise characteristics and robustness are directly dependent on the complementary filters' norm. A synthesis method enabling precise shaping of these norms would therefore offer substantial practical benefits. This section develops such an approach by formulating the design objective as a standard $\mathcal{H}_\infty$ optimization problem. The methodology for designing appropriate weighting functions (which specify desired complementary filter shape during synthesis) is examined in detail, and the efficacy of the proposed method is validated with a simple example.
Synthesis Objective
The primary objective is to shape the norms of two filters $H_1(s)$ and $H_2(s)$ while ensuring they maintain their complementary property as defined in eqref:eq:detail_control_sensor_comp_filter. This is equivalent to finding proper and stable transfer functions $H_1(s)$ and $H_2(s)$ that satisfy conditions eqref:eq:detail_control_sensor_hinf_cond_complementarity, eqref:eq:detail_control_sensor_hinf_cond_h1, and eqref:eq:detail_control_sensor_hinf_cond_h2. Weighting transfer functions $W_1(s)$ and $W_2(s)$ are strategically selected to define the maximum desired norm of the complementary filters during the synthesis process.
\begin{subequations}\label{eq:detail_control_sensor_comp_filter_problem_form}
\begin{align} & H_1(s) + H_2(s) = 1 \label{eq:detail_control_sensor_hinf_cond_complementarity} \\ & |H_1(j\omega)| \le \frac{1}{|W_1(j\omega)|} \quad \forall\omega \label{eq:detail_control_sensor_hinf_cond_h1} \\ & |H_2(j\omega)| \le \frac{1}{|W_2(j\omega)|} \quad \forall\omega \label{eq:detail_control_sensor_hinf_cond_h2} \end{align}\end{subequations}
Shaping of Complementary Filters using $\mathcal{H}_\infty$ synthesis
The synthesis objective can be expressed as a standard $\mathcal{H}_\infty$ optimization problem by considering the generalized plant $P(s)$ illustrated in Figure ref:fig:detail_control_sensor_h_infinity_robust_fusion_plant and mathematically described by eqref:eq:detail_control_sensor_generalized_plant.
\begin{equation}\label{eq:detail_control_sensor_generalized_plant} \begin{bmatrix} z_1 \\ z_2 \\ v \end{bmatrix} = P(s) \begin{bmatrix} w\\u \end{bmatrix}; \quad P(s) = \begin{bmatrix}W_1(s) & -W_1(s) \\ 0 & \phantom{+}W_2(s) \\ 1 & 0 \end{bmatrix} = P(s) \begin{bmatrix} w\\u \end{bmatrix}; \quad P(s) = \begin{bmatrix}W_1(s) & -W_1(s) \\ 0 & \phantom{+}W_2(s) \\ 1 & 0 \end{bmatrix}; \quad P(s) = \begin{bmatrix}W_1(s) & -W_1(s) \\ 0 & \phantom{+}W_2(s) \\ 1 & 0 \end{bmatrix}
\end{equation}
Applying standard $\mathcal{H}_\infty\text{-synthesis}$ to the generalized plant $P(s)$ is equivalent to finding a stable filter $H_2(s)$ that, based on input $v$, generates an output signal $u$ such that the $\mathcal{H}_\infty$ norm of the system shown in Figure ref:fig:detail_control_sensor_h_infinity_robust_fusion_fb from $w$ to $[z_1, \ z_2]$ does not exceed unity, as expressed in eqref:eq:detail_control_sensor_hinf_syn_obj.
\begin{equation}\label{eq:detail_control_sensor_hinf_syn_obj} ≤ft\|\begin{matrix} \left(1 - H_2(s)\right) W_1(s) \\ H_2(s) W_2(s) \end{matrix}\right\|_∞ ≤ 1
\end{equation}
By defining $H_1(s)$ as the complement of $H_2(s)$ eqref:eq:detail_control_sensor_definition_H1, the $\mathcal{H}_\infty\text{-synthesis}$ objective becomes equivalent to eqref:eq:detail_control_sensor_hinf_problem, ensuring that conditions eqref:eq:detail_control_sensor_hinf_cond_h1 and eqref:eq:detail_control_sensor_hinf_cond_h2 are satisfied.
\begin{equation}\label{eq:detail_control_sensor_definition_H1} H_1(s) ≜ 1 - H_2(s)
\end{equation}
\begin{equation}\label{eq:detail_control_sensor_hinf_problem} ≤ft\|\begin{matrix} H_1(s) W_1(s) \\ H_2(s) W_2(s) \end{matrix}\right\|_∞ ≤ 1
\end{equation}
Therefore, applying $\mathcal{H}_\infty\text{-synthesis}$ to the standard plant $P(s)$ generates two filters, $H_2(s)$ and $H_1(s) \triangleq 1 - H_2(s)$, that are complementary as required by eqref:eq:detail_control_sensor_comp_filter_problem_form, with norms bounded by the specified constraints in eqref:eq:detail_control_sensor_hinf_cond_h1 and eqref:eq:detail_control_sensor_hinf_cond_h2.
It should be noted that there exists only an implication (not an equivalence) between the $\mathcal{H}_\infty$ norm condition in eqref:eq:detail_control_sensor_hinf_problem and the initial synthesis objectives in eqref:eq:detail_control_sensor_hinf_cond_h1 and eqref:eq:detail_control_sensor_hinf_cond_h2. Consequently, the optimization may be somewhat conservative with respect to the set of filters on which it operates cite:&skogestad07_multiv_feedb_contr,Chap. 2.8.3.
Weighting Functions Design
Weighting functions play a crucial role during synthesis by specifying the maximum allowable norms for the complementary filters. The proper design of these weighting functions is essential for the successful implementation of the proposed $\mathcal{H}_\infty\text{-synthesis}$ approach.
Three key considerations should guide the design of weighting functions. First, only proper and stable transfer functions should be employed. Second, the order of the weighting functions should remain reasonably small to minimize computational costs associated with solving the optimization problem and to facilitate practical implementation of the filters (as the order of the synthesized filters equals the sum of the weighting functions' orders). Third, the fundamental limitations imposed by the complementary property eqref:eq:detail_control_sensor_comp_filter must be respected, which implies that $|H_1(j\omega)|$ and $|H_2(j\omega)|$ cannot both be made small at the same frequency.
When designing complementary filters, it is typically desirable to specify their slopes, "blending" frequency, and maximum gains at low and high frequencies. To facilitate the expression of these specifications, formula eqref:eq:detail_control_sensor_weight_formula is proposed for the design of weighting functions. The parameters in this formula are $G_0 = \lim_{\omega \to 0} |W(j\omega)|$ (the low-frequency gain), $G_\infty = \lim_{\omega \to \infty} |W(j\omega)|$ (the high-frequency gain), $G_c = |W(j\omega_c)|$ (the gain at a specific frequency $\omega_c$ in $\si{rad/s}$), and $n$ (the slope between high and low frequency, which also corresponds to the order of the weighting function). The typical magnitude response of a weighting function generated using eqref:eq:detail_control_sensor_weight_formula is illustrated in Figure ref:fig:detail_control_sensor_weight_formula.
\hfill
\begin{equation}\label{eq:detail_control_sensor_weight_formula} W(s) = ≤ft( \frac{ \hfill{} \frac{1}{ω_c} \sqrt{\frac{1 - ≤ft(\frac{G_0}{G_c}\right)^{\frac{2}{n}}}{1 - ≤ft(\frac{G_c}{G_∞}\right)^{\frac{2}{n}}}} s + ≤ft(\frac{G_0}{G_c}\right)^{\frac{1}{n}} }{ \frac{1}{G_∞^{\frac{1}{n}}} \frac{1}{ω_c} \sqrt{\frac{1 - ≤ft(\frac{G_0}{G_c}\right)^{\frac{2}{n}}}{1 - ≤ft(\frac{G_c}{G_∞}\right)^{\frac{2}{n}}}} s + \frac{1}{G_c^{\frac{1}{n}}} }\right)^n
\end{equation}
Validation of the proposed synthesis method
The proposed methodology for designing complementary filters is now applied to a simple example. Consider the design of two complementary filters $H_1(s)$ and $H_2(s)$ with the following requirements:
- The blending frequency should be approximately $\SI{10}{Hz}$
- The slope of $|H_1(j\omega)|$ should be $+2$ below $\SI{10}{Hz}$, with a low-frequency gain of $10^{-3}$
- The slope of $|H_2(j\omega)|$ should be $-3$ above $\SI{10}{Hz}$, with a high-frequency gain of $10^{-3}$
The first step involves translating these requirements by appropriately designing the weighting functions. The formula proposed in eqref:eq:detail_control_sensor_weight_formula is employed for this purpose. The parameters used are summarized in Table ref:tab:detail_control_sensor_weights_params. The inverse magnitudes of the designed weighting functions, which represent the maximum allowable norms of the complementary filters, are depicted by the dashed lines in Figure ref:fig:detail_control_sensor_hinf_filters_results.
| Parameter | $W_1(s)$ | $W_2(s)$ |
|---|---|---|
| $G_0$ | $0.1$ | $1000$ |
| $G_{\infty}$ | $1000$ | $0.1$ |
| $\omega_c$ | $2 \pi \cdot 10$ | $2 \pi \cdot 10$ |
| $G_c$ | $0.45$ | $0.45$ |
| $n$ | $2$ | $3$ |
\hfill
Standard $\mathcal{H}_\infty\text{-synthesis}$ is then applied to the generalized plant shown in Figure ref:fig:detail_control_sensor_h_infinity_robust_fusion_plant. This yields the filter $H_2(s)$ that minimizes the $\mathcal{H}_\infty$ norm from input $w$ to outputs $[z_1,\ z_2]^{\intercal}$. The resulting $\mathcal{H}_\infty$ norm is found to be close to unity, indicating successful synthesis: the norms of the complementary filters remain below the specified upper bounds. This is confirmed by the Bode plots of the obtained complementary filters in Figure ref:fig:detail_control_sensor_hinf_filters_results. This straightforward example demonstrates that the proposed methodology for shaping complementary filters is both simple and effective.
Synthesis of a set of three complementary filters
<<ssec:detail_control_sensor_hinf_three_comp_filters>>
Certain applications necessitate the fusion of more than two sensors cite:&stoten01_fusion_kinet_data_using_compos_filter;&fonseca15_compl. At LIGO, for example, a super sensor is formed by merging three distinct sensors: an LVDT, a seismometer, and a geophone cite:&matichard15_seism_isolat_advan_ligo.
For merging $n>2$ sensors with complementary filters, two architectural approaches are possible, as illustrated in Figure ref:fig:detail_control_sensor_fusion_three. Fusion can be implemented either "sequentially," using $n-1$ sets of two complementary filters (Figure ref:fig:detail_control_sensor_fusion_three_sequential), or "in parallel," employing a single set of $n$ complementary filters (Figure ref:fig:detail_control_sensor_fusion_three_parallel).
While conventional sensor fusion synthesis techniques can be applied to the sequential approach, parallel architecture implementation requires a novel synthesis method for multiple complementary filters. Previous literature has offered only simple analytical formulas for this purpose cite:&stoten01_fusion_kinet_data_using_compos_filter;&fonseca15_compl. This section presents a generalization of the proposed complementary filter synthesis method to address this gap.
The synthesis objective is to compute a set of $n$ stable transfer functions $[H_1(s),\ H_2(s),\ \dots,\ H_n(s)]$ that satisfy conditions eqref:eq:detail_control_sensor_hinf_cond_compl_gen and eqref:eq:detail_control_sensor_hinf_cond_perf_gen.
\begin{subequations}\label{eq:detail_control_sensor_hinf_problem_gen}
\begin{align} & \sum_{i=1}^n H_i(s) = 1 \label{eq:detail_control_sensor_hinf_cond_compl_gen} \\ & \left| H_i(j\omega) \right| < \frac{1}{\left| W_i(j\omega) \right|}, \quad \forall \omega,\ i = 1 \dots n \label{eq:detail_control_sensor_hinf_cond_perf_gen} \end{align}\end{subequations}
The transfer functions $[W_1(s),\ W_2(s),\ \dots,\ W_n(s)]$ are weights selected to specify the maximum complementary filters' norm during synthesis.
This synthesis objective is closely related to the one described in Section ref:ssec:detail_control_sensor_hinf_method, and the proposed synthesis method represents a generalization of the approach previously presented. A set of $n$ complementary filters can be shaped by applying standard $\mathcal{H}_\infty\text{-synthesis}$ to the generalized plant $P_n(s)$ described by eqref:eq:detail_control_sensor_generalized_plant_n_filters.
\begin{equation}\label{eq:detail_control_sensor_generalized_plant_n_filters}
\begin{bmatrix} z_1 \\ \vdots \\ z_n \\ v \end{bmatrix} = P_n(s) \begin{bmatrix} w \\ u_1 \\ \vdots \\ u_{n-1} \end{bmatrix} = P_n(s) \begin{bmatrix} w \\ u_1 \\ \vdots \\ u_{n-1} \end{bmatrix}; \quad
P_n(s) = \begin{bmatrix}
W_1 & -W_1 & … & … & -W_1
0 & W_2 & 0 & … & 0
\vdots & \ddots & \ddots & \ddots & \vdots
\vdots & & \ddots & \ddots & 0
0 & … & … & 0 & W_n
1 & 0 & … & … & 0
\end{bmatrix}
\end{equation}
If the synthesis is successful, a set of $n-1$ filters $[H_2(s),\ H_3(s),\ \dots,\ H_n(s)]$ is obtained such that eqref:eq:detail_control_sensor_hinf_syn_obj_gen is satisfied.
\begin{equation}\label{eq:detail_control_sensor_hinf_syn_obj_gen} ≤ft\|\begin{matrix} \left(1 - \left[ H_2(s) + H_3(s) + \dots + H_n(s) \right]\right) W_1(s) \\ H_2(s) W_2(s) \\ \vdots \\ H_n(s) W_n(s) \end{matrix}\right\|_∞ ≤ 1
\end{equation}
$H_1(s)$ is then defined using eqref:eq:detail_control_sensor_h1_comp_h2_hn, which ensures the complementary property for the set of $n$ filters eqref:eq:detail_control_sensor_hinf_cond_compl_gen. Condition eqref:eq:detail_control_sensor_hinf_cond_perf_gen is satisfied through eqref:eq:detail_control_sensor_hinf_syn_obj_gen.
\begin{equation}\label{eq:detail_control_sensor_h1_comp_h2_hn} H_1(s) ≜ 1 - \big[ H_2(s) + H_3(s) + … + H_n(s) \big]
\end{equation}
To validate the proposed method for synthesizing a set of three complementary filters, an example is provided. The sensors to be merged are a displacement sensor (effective from DC up to $\SI{1}{Hz}$), a geophone (effective from $1$ to $\SI{10}{Hz}$), and an accelerometer (effective above $\SI{10}{Hz}$). Three weighting functions are designed using formula eqref:eq:detail_control_sensor_weight_formula, and their inverse magnitudes are shown in Figure ref:fig:detail_control_sensor_three_complementary_filters_results (dashed curves).
Consider the generalized plant $P_3(s)$ shown in Figure ref:fig:detail_control_sensor_comp_filter_three_hinf_fb, which is also described by eqref:eq:detail_control_sensor_generalized_plant_three_filters.
\begin{equation}\label{eq:detail_control_sensor_generalized_plant_three_filters} \begin{bmatrix} z_1 \\ z_2 \\ z_3 \\ v \end{bmatrix} = P_3(s) \begin{bmatrix} w \\ u_1 \\ u_2 \end{bmatrix}; \quad P_3(s) = \begin{bmatrix}W_1(s) & -W_1(s) & -W_1(s) \\ 0 & \phantom{+}W_2(s) & 0 \\ 0 & 0 & \phantom{+}W_3(s) \\ 1 & 0 & 0 \end{bmatrix} = P_3(s) \begin{bmatrix} w \\ u_1 \\ u_2 \end{bmatrix}; \quad P_3(s) = \begin{bmatrix}W_1(s) & -W_1(s) & -W_1(s) \\ 0 & \phantom{+}W_2(s) & 0 \\ 0 & 0 & \phantom{+}W_3(s) \\ 1 & 0 & 0 \end{bmatrix}; \quad P_3(s) = \begin{bmatrix}W_1(s) & -W_1(s) & -W_1(s) \\ 0 & \phantom{+}W_2(s) & 0 \\ 0 & 0 & \phantom{+}W_3(s) \\ 1 & 0 & 0 \end{bmatrix}
\end{equation}
Standard $\mathcal{H}_\infty\text{-synthesis}$ is performed on the generalized plant $P_3(s)$. Two filters, $H_2(s)$ and $H_3(s)$, are obtained such that the $\mathcal{H}_\infty$ norm of the closed-loop transfer from $w$ to $[z_1,\ z_2,\ z_3]$ of the system in Figure ref:fig:detail_control_sensor_comp_filter_three_hinf_fb is less than one. Filter $H_1(s)$ is defined using eqref:eq:detail_control_sensor_h1_compl_h2_h3, thus ensuring the complementary property of the obtained set of filters.
\begin{equation}\label{eq:detail_control_sensor_h1_compl_h2_h3} H_1(s) ≜ 1 - \big[ H_2(s) + H_3(s) \big]
\end{equation}
Figure ref:fig:detail_control_sensor_three_complementary_filters_results displays the three synthesized complementary filters (solid lines), confirming the successful synthesis.
Conclusion
A new method for designing complementary filters using the $\mathcal{H}_\infty\text{-synthesis}$ has been proposed. This approach allows shaping of the filter magnitudes through the use of weighting functions during synthesis. This capability is particularly valuable in practice since the characteristics of the super sensor are directly linked to the complementary filters' magnitude. Consequently, typical sensor fusion objectives can be effectively translated into requirements on the magnitudes of the filters.
For the NASS, the HAC-LAC strategy was found to perform well and to offer the advantages of being both intuitive to understand and straightforward to tune. Looking forward, it would be interesting to investigate how sensor fusion (particularly between the force sensors and external metrology) compares to the HAC-IFF approach in terms of performance and robustness.
Decoupling
<<sec:detail_control_decoupling>>
Introduction
The control of parallel manipulators (and any MIMO system in general) typically involves a two-step approach: first decoupling the plant dynamics (using various strategies discussed in this section), followed by the application of SISO control for the decoupled plant (discussed in section ref:sec:detail_control_cf).
When sensors are integrated within the struts, decentralized control may be applied, as the system is already well decoupled at low frequency. For instance, cite:&furutani04_nanom_cuttin_machin_using_stewar implemented a system where each strut consists of piezoelectric stack actuators and eddy current displacement sensors, with separate PI controllers for each strut. A similar control architecture was proposed in cite:&du14_piezo_actuat_high_precis_flexib using strain gauge sensors integrated in each strut.
An alternative strategy involves decoupling the system in the Cartesian frame using Jacobian matrices. As demonstrated during the study of Stewart platform kinematics, Jacobian matrices can be used to map actuator forces to forces and torques applied on the top platform. This approach enables the implementation of controllers in a defined frame. It has been applied with various sensor types including force sensors cite:&mcinroy00_desig_contr_flexur_joint_hexap, relative displacement sensors cite:&kim00_robus_track_contr_desig_dof_paral_manip, and inertial sensors cite:&li01_simul_vibrat_isolat_point_contr;&abbas14_vibrat_stewar_platf. The Cartesian frame in which the system is decoupled is typically chosen at the point of interest (i.e., where the motion is of interest) or at the center of mass.
Modal decoupling represents another noteworthy decoupling strategy, wherein the "local" plant inputs and outputs are mapped to the modal space. In this approach, multiple SISO plants, each corresponding to a single mode, can be controlled independently. This decoupling strategy has been implemented for active damping applications cite:&holterman05_activ_dampin_based_decoup_colloc_contr, which is logical as it is often desirable to dampen specific modes. The strategy has also been employed in cite:&pu11_six_degree_of_freed_activ for vibration isolation purposes using geophones, and in cite:&yang19_dynam_model_decoup_contr_flexib using force sensors.
Another completely different strategy would be to implement a multivariable control directly on the coupled system. $\mathcal{H}_\infty$ and $\mu\text{-synthesis}$ were applied to a Stewart platform model in cite:&lei08_multi_objec_robus_activ_vibrat. In cite:&xie17_model_contr_hybrid_passiv_activ, decentralized force feedback was first applied, followed by $\mathcal{H}_2\text{-synthesis}$ for vibration isolation based on accelerometers. $\mathcal{H}_\infty\text{-synthesis}$ was also employed in cite:&jiao18_dynam_model_exper_analy_stewar for active damping based on accelerometers. A comparative study between $\mathcal{H}_\infty\text{-synthesis}$ and decentralized control in the frame of the struts was performed in cite:&thayer02_six_axis_vibrat_isolat_system. Their experimental closed-loop results indicated that the $\mathcal{H}_\infty$ controller did not outperform the decentralized controller in the frame of the struts. These limitations were attributed to the model's poor ability to predict off-diagonal dynamics, which is crucial for $\mathcal{H}_\infty\text{-synthesis}$.
The purpose of this section is to compare several methods for the decoupling of parallel manipulators, an analysis that appears to be lacking in the literature. A simplified parallel manipulator model is introduced in Section ref:ssec:detail_control_decoupling_model as a test case for evaluating decoupling strategies. The decentralized plant (transfer functions from actuators to sensors integrated in the struts) is examined in Section ref:ssec:detail_control_decoupling_decentralized. Three approaches are investigated across subsequent sections: Jacobian matrix decoupling (Section ref:ssec:detail_control_decoupling_jacobian), modal decoupling (Section ref:ssec:detail_control_decoupling_modal), and Singular Value Decomposition (SVD) decoupling (Section ref:ssec:detail_control_decoupling_svd). Finally, a comparative analysis with concluding observations is provided in Section ref:ssec:detail_control_decoupling_comp.
Test Model
<<ssec:detail_control_decoupling_model>>
Instead of using the Stewart platform for comparing decoupling strategies, a simplified parallel manipulator is employed to facilitate a more straightforward analysis. The system illustrated in Figure ref:fig:detail_control_decoupling_model_test is used for this purpose. It possesses three degrees of freedom (DoF) and incorporates three parallel struts. Being a fully parallel manipulator, it is therefore quite similar to the Stewart platform.
Two reference frames are defined within this model: frame $\{M\}$ with origin $O_M$ at the center of mass of the solid body, and frame $\{K\}$ with origin $O_K$ at the center of stiffness of the parallel manipulator.
\hfill
| Description | Value | |
|---|---|---|
| $l_a$ | $0.5\,m$ | |
| $h_a$ | $0.2\,m$ | |
| $k$ | Actuator stiffness | $10\,N/\mu m$ |
| $c$ | Actuator damping | $200\,Ns/m$ |
| $m$ | Payload mass | $40\,\text{kg}$ |
| $I$ | Payload $R_z$ inertia | $5\,\text{kg}m^2$ |
The equations of motion are derived by applying Newton's second law to the suspended mass, expressed at its center of mass eqref:eq:detail_control_decoupling_model_eom, where $\bm{\mathcal{X}}_{\{M\}}$ represents the two translations and one rotation with respect to the center of mass, and $\bm{\mathcal{F}}_{\{M\}}$ denotes the forces and torque applied at the center of mass.
\begin{equation}\label{eq:detail_control_decoupling_model_eom}
\bm{M}_{\{M\}} \ddot{\bm{\mathcal{X}}}_{\{M\}}(t) = ∑ \bm{\mathcal{F}}_{\{M\}}(t), \quad
\bm{\mathcal{X}}_{\{M\}} = \begin{bmatrix}
x \\
y \\
R_z
\end{bmatrix}, \quad \bm{\mathcal{F}}_{\{M\}} = \begin{bmatrix}
F_x
F_y
M_z
\end{bmatrix}
\end{equation}
The Jacobian matrix $\bm{J}_{\{M\}}$ is employed to map the spring, damping, and actuator forces to XY forces and Z torque expressed at the center of mass eqref:eq:detail_control_decoupling_jacobian_CoM.
\begin{equation}\label{eq:detail_control_decoupling_jacobian_CoM}
\bm{J}_{\{M\}} = \begin{bmatrix}
1 & 0 & h_a
0 & 1 & -l_a
0 & 1 & l_a \\
\end{bmatrix}
\end{equation}
Subsequently, the equation of motion relating the actuator forces $\tau$ to the motion of the mass $\bm{\mathcal{X}}_{\{M\}}$ is derived eqref:eq:detail_control_decoupling_plant_cartesian.
\begin{equation}\label{eq:detail_control_decoupling_plant_cartesian} \bm{M}_{\{M\}} \ddot{\bm{\mathcal{X}}}_{\{M\}}(t) + \bm{J}_{\{M\}}∫ercal \bm{\mathcal{C}} \bm{J}_{\{M\}} \dot{\bm{\mathcal{X}}}_{\{M\}}(t) + \bm{J}_{\{M\}}∫ercal \bm{\mathcal{K}} \bm{J}_{\{M\}} \bm{\mathcal{X}}_{\{M\}}(t) = \bm{J}_{\{M\}}∫ercal \bm{τ}(t)
\end{equation}
The matrices representing the payload inertia, actuator stiffness, and damping are shown in eqref:eq:detail_control_decoupling_system_matrices.
\begin{equation}\label{eq:detail_control_decoupling_system_matrices}
\bm{M}_{\{M\}} = \begin{bmatrix}
m & 0 & 0 \\
0 & m & 0 \\
0 & 0 & I
\end{bmatrix}, \quad
\bm{\mathcal{K}} = \begin{bmatrix}
k & 0 & 0 \\
0 & k & 0 \\
0 & 0 & k
\end{bmatrix}, \quad
\bm{\mathcal{K}} = \begin{bmatrix}
k & 0 & 0 \\
0 & k & 0 \\
0 & 0 & k
\end{bmatrix}, \quad
\bm{\mathcal{C}} = \begin{bmatrix}
c & 0 & 0
0 & c & 0
0 & 0 & c
\end{bmatrix}
\end{equation}
The parameters employed for the subsequent analysis are summarized in Table ref:tab:detail_control_decoupling_test_model_params, which includes values for geometric parameters ($l_a$, $h_a$), mechanical properties (actuator stiffness $k$ and damping $c$), and inertial characteristics (payload mass $m$ and rotational inertia $I$).
Control in the frame of the struts
<<ssec:detail_control_decoupling_decentralized>>
The dynamics in the frame of the struts are first examined. The equation of motion relating actuator forces $\bm{\mathcal{\tau}}$ to strut relative motion $\bm{\mathcal{L}}$ is derived from equation eqref:eq:detail_control_decoupling_plant_cartesian by mapping the Cartesian motion of the mass to the relative motion of the struts using the Jacobian matrix $\bm{J}_{\{M\}}$ defined in eqref:eq:detail_control_decoupling_jacobian_CoM. The obtained transfer function from $\bm{\mathcal{\tau}}$ to $\bm{\mathcal{L}}$ is shown in eqref:eq:detail_control_decoupling_plant_decentralized.
\begin{equation}\label{eq:detail_control_decoupling_plant_decentralized} \frac{\bm{\mathcal{L}}}{\bm{\mathcal{τ}}}(s) = \bm{G}_{\mathcal{L}}(s) = ≤ft( \bm{J}_{\{M\}}-∫ercal \bm{M}_{\{M\}} \bm{J}_{\{M\}}-1 s^2 + \bm{\mathcal{C}} s + \bm{\mathcal{K}} \right)-1
\end{equation}
At low frequencies, the plant converges to a diagonal constant matrix whose diagonal elements are equal to the actuator stiffnesses eqref:eq:detail_control_decoupling_plant_decentralized_low_freq. At high frequencies, the plant converges to the mass matrix mapped in the frame of the struts, which is generally highly non-diagonal.
\begin{equation}\label{eq:detail_control_decoupling_plant_decentralized_low_freq} \bm{G}_{\mathcal{L}}(jω) \xrightarrow[ω → 0]{} \bm{\mathcal{K}-1}
\end{equation}
The magnitude of the coupled plant $\bm{G}_{\mathcal{L}}$ is illustrated in Figure ref:fig:detail_control_decoupling_coupled_plant_bode. This representation confirms that at low frequencies (below the first suspension mode), the plant is well decoupled. Depending on the symmetry present in the system, certain diagonal elements may exhibit identical values, as demonstrated for struts 2 and 3 in this example.
Jacobian Decoupling
<<ssec:detail_control_decoupling_jacobian>>
Jacobian Matrix
The Jacobian matrix $\bm{J}_{\{O\}}$ serves a dual purpose in the decoupling process: it converts strut velocity $\dot{\mathcal{L}}$ to payload velocity and angular velocity $\dot{\bm{\mathcal{X}}}_{\{O\}}$, and it transforms actuator forces $\bm{\tau}$ to forces/torque applied on the payload $\bm{\mathcal{F}}_{\{O\}}$, as expressed in equation eqref:eq:detail_control_decoupling_jacobian.
\begin{subequations}\label{eq:detail_control_decoupling_jacobian}
\begin{align} \dot{\bm{\mathcal{X}}}_{\{O\}} &= \bm{J}_{\{O\}} \dot{\bm{\mathcal{L}}}, \quad \dot{\bm{\mathcal{L}}} = \bm{J}_{\{O\}}^{-1} \dot{\bm{\mathcal{X}}}_{\{O\}} \\ \bm{\mathcal{F}}_{\{O\}} &= \bm{J}_{\{O\}}^{\intercal} \bm{\tau}, \quad \bm{\tau} = \bm{J}_{\{O\}}^{-\intercal} \bm{\mathcal{F}}_{\{O\}} \end{align}\end{subequations}
The resulting plant (Figure ref:fig:detail_control_jacobian_decoupling_arch) have inputs and outputs with clear physical interpretations:
- $\bm{\mathcal{F}}_{\{O\}}$ represents forces/torques applied on the payload at the origin of frame $\{O\}$
- $\bm{\mathcal{X}}_{\{O\}}$ represents translations/rotation of the payload expressed in frame $\{O\}$

The transfer function from $\bm{\mathcal{F}}_{\{O\}$ to $\bm{\mathcal{X}}_{\{O\}}$, denoted $\bm{G}_{\{O\}}(s)$ can be computed using eqref:eq:detail_control_decoupling_plant_jacobian.
\begin{equation}\label{eq:detail_control_decoupling_plant_jacobian} \frac{\bm{\mathcal{X}}_{\{O\}}}{\bm{\mathcal{F}}_{\{O\}}}(s) = \bm{G}_{\{O\}}(s) = ≤ft( \bm{J}_{\{O\}}∫ercal \bm{J}_{\{M\}}-∫ercal \bm{M}_{\{M\}} \bm{J}_{\{M\}}-1 \bm{J}_{\{O\}} s^2 + \bm{J}_{\{O\}}∫ercal \bm{\mathcal{C}} \bm{J}_{\{O\}} s + \bm{J}_{\{O\}}∫ercal \bm{\mathcal{K}} \bm{J}_{\{O\}} \right)-1
\end{equation}
The frame $\{O\}$ can be selected according to specific requirements, but the decoupling properties are significantly influenced by this choice. Two natural reference frames are particularly relevant: the center of mass and the center of stiffness.
Center Of Mass
When the decoupling frame is located at the center of mass (frame $\{M\}$ in Figure ref:fig:detail_control_decoupling_model_test), the Jacobian matrix and its inverse are expressed as in eqref:eq:detail_control_decoupling_jacobian_CoM_inverse.
\begin{equation}\label{eq:detail_control_decoupling_jacobian_CoM_inverse}
\bm{J}_{\{M\}} = \begin{bmatrix}
1 & 0 & h_a \\
0 & 1 & -l_a \\
0 & 1 & l_a \\
\end{bmatrix}, \quad \bm{J}_{\{M\}}-1 = \begin{bmatrix}
1 & \frac{h_a}{2 l_a} & \frac{-h_a}{2 l_a}
0 & \frac{1}{2} & \frac{1}{2}
0 & \frac{-1}{2 l_a} & \frac{1}{2 l_a} \\
\end{bmatrix}
\end{equation}
Analytical formula of the plant $\bm{G}_{\{M\}}(s)$ is derived eqref:eq:detail_control_decoupling_plant_CoM.
\begin{equation}\label{eq:detail_control_decoupling_plant_CoM} \frac{\bm{\mathcal{X}}_{\{M\}}}{\bm{\mathcal{F}}_{\{M\}}}(s) = \bm{G}_{\{M\}}(s) = ≤ft( \bm{M}_{\{M\}} s^2 + \bm{J}_{\{M\}}∫ercal \bm{\mathcal{C}} \bm{J}_{\{M\}} s + \bm{J}_{\{M\}}∫ercal \bm{\mathcal{K}} \bm{J}_{\{M\}} \right)-1
\end{equation}
At high frequencies, the plant converges to the inverse of the mass matrix, which is a diagonal matrix eqref:eq:detail_control_decoupling_plant_CoM_high_freq.
\begin{equation}\label{eq:detail_control_decoupling_plant_CoM_high_freq}
\bm{G}_{\{M\}}(jω) \xrightarrow[ω → ∞]{} -ω^2 \bm{M}_{\{M\}}-1 = -ω^2 \begin{bmatrix}
1/m & 0 & 0
0 & 1/m & 0
0 & 0 & 1/I
\end{bmatrix}
\end{equation}
Consequently, the plant exhibits effective decoupling at frequencies above the highest suspension mode as shown in Figure ref:fig:detail_control_decoupling_jacobian_plant_CoM. This strategy is typically employed in systems with low-frequency suspension modes cite:&butler11_posit_contr_lithog_equip, where the plant approximates decoupled mass lines.
The low-frequency coupling observed in this configuration has a clear physical interpretation. When a static force is applied at the center of mass, the suspended mass rotates around the center of stiffness. This rotation is due to torque induced by the stiffness of the first actuator (i.e. the one on the left side), which is not aligned with the force application point. This phenomenon is illustrated in Figure ref:fig:detail_control_decoupling_model_test_CoM.
Center Of Stiffness
When the decoupling frame is located at the center of stiffness, the Jacobian matrix and its inverse are expressed as in eqref:eq:detail_control_decoupling_jacobian_CoK_inverse.
\begin{equation}\label{eq:detail_control_decoupling_jacobian_CoK_inverse}
\bm{J}_{\{K\}} = \begin{bmatrix}
1 & 0 & 0 \\
0 & 1 & -l_a \\
0 & 1 & l_a
\end{bmatrix}, \quad \bm{J}_{\{K\}}-1 = \begin{bmatrix}
1 & 0 & 0
0 & \frac{1}{2} & \frac{1}{2}
0 & \frac{-1}{2 l_a} & \frac{1}{2 l_a}
\end{bmatrix}
\end{equation}
The frame $\{K\}$ was selected based on physical reasoning, positioned in line with the side strut and equidistant between the two vertical struts. However, it could alternatively be determined through analytical methods to ensure that $\bm{J}_{\{K\}}^{\intercal} \bm{\mathcal{K}} \bm{J}_{\{K\}}$ forms a diagonal matrix. It should be noted that the existence of such a center of stiffness (i.e. a frame $\{K\}$ for which $\bm{J}_{\{K\}}^{\intercal} \bm{\mathcal{K}} \bm{J}_{\{K\}}$ is diagonal) is not guaranteed for arbitrary systems. This property is typically achievable only in systems exhibiting specific symmetrical characteristics, as is the case in the present example.
The analytical expression for the plant in this configuration was then computed eqref:eq:detail_control_decoupling_plant_CoK.
\begin{equation}\label{eq:detail_control_decoupling_plant_CoK} \frac{\bm{\mathcal{X}}_{\{K\}}}{\bm{\mathcal{F}}_{\{K\}}}(s) = \bm{G}_{\{K\}}(s) = ≤ft( \bm{J}_{\{K\}}∫ercal \bm{J}_{\{M\}}-∫ercal \bm{M}_{\{M\}} \bm{J}_{\{M\}}-1 \bm{J}_{\{K\}} s^2 + \bm{J}_{\{K\}}∫ercal \bm{\mathcal{C}} \bm{J}_{\{K\}} s + \bm{J}_{\{K\}}∫ercal \bm{\mathcal{K}} \bm{J}_{\{K\}} \right)-1
\end{equation}
Figure ref:fig:detail_control_decoupling_jacobian_plant_CoK_results presents the dynamics of the plant when decoupled using the Jacobian matrix expressed at the center of stiffness. The plant is well decoupled below the suspension mode with the lowest frequency eqref:eq:detail_control_decoupling_plant_CoK_low_freq, making it particularly suitable for systems with high stiffness.
\begin{equation}\label{eq:detail_control_decoupling_plant_CoK_low_freq} \bm{G}_{\{K\}}(jω) \xrightarrow[ω → 0]{} \bm{J}_{\{K\}}-1 \bm{\mathcal{K}}-1 \bm{J}_{\{K\}}-∫ercal
\end{equation}
The physical reason for high-frequency coupling is illustrated in Figure ref:fig:detail_control_decoupling_model_test_CoK. When a high-frequency force is applied at a point not aligned with the center of mass, it induces rotation around the center of mass.
Modal Decoupling
<<ssec:detail_control_decoupling_modal>>
Theory
Modal decoupling represents an approach based on the principle that a mechanical system's behavior can be understood as a combination of contributions from various modes cite:&rankers98_machin. To convert the dynamics in the modal space, the equation of motion are first written with respect to the center of mass eqref:eq:detail_control_decoupling_equation_motion_CoM.
\begin{equation}\label{eq:detail_control_decoupling_equation_motion_CoM} \bm{M}_{\{M\}} \ddot{\bm{\mathcal{X}}}_{\{M\}}(t) + \bm{C}_{\{M\}} \dot{\bm{\mathcal{X}}}_{\{M\}}(t) + \bm{K}_{\{M\}} \bm{\mathcal{X}}_{\{M\}}(t) = \bm{J}_{\{M\}}∫ercal \bm{τ}(t)
\end{equation}
For modal decoupling, a change of variables is introduced eqref:eq:detail_control_decoupling_modal_coordinates where $\bm{\mathcal{X}}_{m}$ represents the modal amplitudes and $\bm{\Phi}$ is a $n \times n$26 matrix whose columns correspond to the mode shapes of the system, computed from $\bm{M}_{\{M\}}$ and $\bm{K}_{\{M\}}$.
\begin{equation}\label{eq:detail_control_decoupling_modal_coordinates} \bm{\mathcal{X}}_{\{M\}} = \bm{Φ} \bm{\mathcal{X}}m
\end{equation}
By pre-multiplying equation eqref:eq:detail_control_decoupling_equation_motion_CoM by $\bm{\Phi}^{\intercal}$ and applying the change of variable eqref:eq:detail_control_decoupling_modal_coordinates, a new set of equations of motion is obtained eqref:eq:detail_control_decoupling_equation_modal_coordinates where $\bm{\tau}_m$ represents the modal input, while $\bm{M}_m$, $\bm{C}_m$, and $\bm{K}_m$ denote the modal mass, damping, and stiffness matrices respectively.
\begin{equation}\label{eq:detail_control_decoupling_equation_modal_coordinates} _brace{\bm{Φ}∫ercal \bm{M} \bm{Φ}}_{\bm{M}_m} \bm{\ddot{\mathcal{X}}}_m(t) + _brace{\bm{Φ}∫ercal \bm{C} \bm{Φ}}_{\bm{C}_m} \bm{\dot{\mathcal{X}}}_m(t) + _brace{\bm{Φ}∫ercal \bm{K} \bm{Φ}}_{\bm{K}_m} \bm{\mathcal{X}}_m(t) = _brace{\bm{Φ}∫ercal \bm{J}∫ercal \bm{τ}(t)}_{\bm{τ}_m(t)}
\end{equation} The inherent mathematical structure of the mass, damping, and stiffness matrices cite:&lang17_under, chapt. 8 ensures that modal matrices are diagonal cite:&preumont18_vibrat_contr_activ_struc_fourt_edition, chapt. 2.3. This diagonalization transforms equation eqref:eq:detail_control_decoupling_equation_modal_coordinates into a set of $n$ decoupled equations, enabling independent control of each mode without cross-interaction.
To implement this approach from a decentralized plant, the architecture shown in Figure ref:fig:detail_control_decoupling_modal is employed. Inputs of the decoupling plant are the modal modal inputs $\bm{\tau}_m$ and the outputs are the modal amplitudes $\bm{\mathcal{X}}_m$. This implementation requires knowledge of the system's equations of motion, from which the mode shapes matrix $\bm{\Phi}$ is derived. The resulting decoupled system features diagonal elements each representing second-order resonant systems that are straightforward to control individually.

Example
Modal decoupling was then applied to the test model. First, the eigenvectors $\bm{\Phi}$ of $\bm{M}_{\{M\}}^{-1}\bm{K}_{\{M\}}$ were computed eqref:eq:detail_control_decoupling_modal_eigenvectors. While analytical derivation of eigenvectors could be obtained for such a simple system, they are typically computed numerically for practical applications.
\begin{equation}\label{eq:detail_control_decoupling_modal_eigenvectors} \bm{Φ} = \begin{bmatrix} \frac{I - h_a^2 m - 2 l_a^2 m - \alpha}{2 h_a m} & 0 & \frac{I - h_a^2 m - 2 l_a^2 m + \alpha}{2 h_a m} \\ 0 & 1 & 0 \\ 1 & 0 & 1 \end{bmatrix},\ α = \sqrt{≤ft( I + m (h_a^2 - 2 l_a^2) \right)^2 + 8 m^2 h_a^2 l_a^2}
\end{equation}
The numerical values for the eigenvector matrix and its inverse are shown in eqref:eq:detail_control_decoupling_modal_eigenvectors_matrices.
\begin{equation}\label{eq:detail_control_decoupling_modal_eigenvectors_matrices}
\bm{Φ} = \begin{bmatrix}
-0.905 & 0 & -0.058 \\
0 & 1 & 0 \\
0.424 & 0 & -0.998
\end{bmatrix}, \quad
\bm{Φ}-1 = \begin{bmatrix}
-1.075 & 0 & 0.063
0 & 1 & 0
-0.457 & 0 & -0.975
\end{bmatrix}
\end{equation}
The two computed matrices were implemented in the control architecture of Figure ref:fig:detail_control_decoupling_modal, resulting in three distinct second order plants as depicted in Figure ref:fig:detail_control_decoupling_modal_plant. Each of these diagonal elements corresponds to a specific mode, as shown in Figure ref:fig:detail_control_decoupling_model_test_modal, resulting in a perfectly decoupled system.
SVD Decoupling
<<ssec:detail_control_decoupling_svd>>
Singular Value Decomposition
Singular Value Decomposition (SVD) represents a powerful mathematical tool with extensive applications in data analysis cite:&brunton22_data, chapt. 1 and multivariable control systems where it is particularly valuable for analyzing directional properties in multivariable systems cite:&skogestad07_multiv_feedb_contr.
The SVD constitutes a unique matrix decomposition applicable to any complex matrix $\bm{X} \in \mathbb{C}^{n \times m}$, expressed as:
\begin{equation}\label{eq:detail_control_svd} \bm{X} = \bm{U} \bm{Σ} \bm{V}^H
\end{equation}
where $\bm{U} \in \mathbb{C}^{n \times n}$ and $\bm{V} \in \mathbb{C}^{m \times m}$ are unitary matrices with orthonormal columns, and $\bm{\Sigma} \in \mathbb{R}^{n \times n}$ is a diagonal matrix with real, non-negative entries. For real matrices $\bm{X}$, the resulting $\bm{U}$ and $\bm{V}$ matrices are also real, making them suitable for decoupling applications.
Decoupling using the SVD
The procedure for SVD-based decoupling begins with identifying the system dynamics from inputs to outputs, typically represented as a Frequency Response Function (FRF), which yields a complex matrix $\bm{G}(\omega_i)$ for multiple frequency points $\omega_i$. A specific frequency is then selected for optimal decoupling, with the targeted crossover frequency $\omega_c$ often serving as an appropriate choice.
Since real matrices are required for the decoupling transformation, a real approximation of the complex measured response at the selected frequency must be computed. In this work, the method proposed in cite:&kouvaritakis79_theor_pract_charac_locus_desig_method was used as it preserves maximal orthogonality in the directional properties of the input complex matrix.
Following this approximation, a real matrix $\tilde{\bm{G}}(\omega_c)$ is obtained, and SVD is performed on this matrix. The resulting (real) unitary matrices $\bm{U}$ and $\bm{V}$ are structured such that $\bm{V}^{-\intercal} \tilde{\bm{G}}(\omega_c) \bm{U}^{-1}$ forms a diagonal matrix. These singular input and output matrices are then applied to decouple the system as illustrated in Figure ref:fig:detail_control_decoupling_svd, and the decoupled plant is described by eqref:eq:detail_control_decoupling_plant_svd.
\begin{equation}\label{eq:detail_control_decoupling_plant_svd} \bm{G}_{\text{SVD}}(s) = \bm{U}-1 \bm{G}_{\{\mathcal{L}\}}(s) \bm{V}-∫ercal
\end{equation}

Implementation of SVD decoupling requires access to the system's FRF, at least in the vicinity of the desired decoupling frequency. This information can be obtained either experimentally or derived from a model. While this approach ensures effective decoupling near the chosen frequency, it provides no guarantees regarding decoupling performance away from this frequency. Furthermore, the quality of decoupling depends significantly on the accuracy of the real approximation, potentially limiting its effectiveness for plants with high damping.
Example
Plant decoupling using the Singular Value Decomposition was then applied on the test model. A decoupling frequency of $\SI{100}{Hz}$ was used. The plant response at that frequency, as well as its real approximation and the obtained $\bm{U}$ and $\bm{V}$ matrices are shown in eqref:eq:detail_control_decoupling_svd_example.
\begin{equation}\label{eq:detail_control_decoupling_svd_example}
\begin{align} & \bm{G}_{\{\mathcal{L}\}}(\omega_c = 2\pi \cdot 100) = 10^{-9} \begin{bmatrix} -99 - j 2.6 & 74 + j 4.2 & -74 - j 4.2 \\ 74 + j 4.2 & -247 - j 9.7 & 102 + j 7.0 \\ -74 - j 4.2 & 102 + j 7.0 & -247 - j 9.7 \end{bmatrix} \\ & \xrightarrow[\text{approximation}]{\text{real}} \tilde{\bm{G}}_{\{\mathcal{L}\}}(\omega_c) = 10^{-9} \begin{bmatrix} -99 & 74 & -74 \\ 74 & -247 & 102 \\ -74 & 102 & -247 \end{bmatrix} \\ & \xrightarrow[\text{SVD}]{\phantom{\text{approximation}}} \bm{U} = \begin{bmatrix} 0.34 & 0 & 0.94 \\ -0.66 & 0.71 & 0.24 \\ 0.66 & 0.71 & -0.24 \end{bmatrix}, \ \bm{V} = \begin{bmatrix} -0.34 & 0 & -0.94 \\ 0.66 & -0.71 & -0.24 \\ -0.66 & -0.71 & 0.24 \end{bmatrix} \end{align}\end{equation}
Using these $\bm{U}$ and $\bm{V}$ matrices, the decoupled plant is computed according to equation eqref:eq:detail_control_decoupling_plant_svd. The resulting plant, depicted in Figure ref:fig:detail_control_decoupling_svd_plant, exhibits remarkable decoupling across a broad frequency range, extending well beyond the vicinity of $\omega_c$. Additionally, the diagonal terms manifest as second-order dynamic systems, facilitating straightforward controller design.
As it was surprising to obtain such a good decoupling at all frequencies, a variant system with identical dynamics but different sensor configurations was examined. Instead of using relative motion sensors collocated with the struts, three relative motion sensors were positioned as shown in Figure ref:fig:detail_control_decoupling_model_test_alt. Although Jacobian matrices could theoretically be used to map these sensors to the frame of the struts, application of the same SVD decoupling procedure yielded the plant response shown in Figure ref:fig:detail_control_decoupling_svd_alt_plant, which exhibits significantly greater coupling. Notably, the coupling demonstrates local minima near the decoupling frequency, consistent with the fact that the decoupling matrices were derived specifically for that frequency point.
The exceptional performance of SVD decoupling on the plant with collocated sensors warrants further investigation. This effectiveness may be attributed to the symmetrical properties of the plant, as evidenced in the Bode plots of the decentralized plant shown in Figure ref:fig:detail_control_decoupling_coupled_plant_bode. The phenomenon potentially relates to previous research on SVD controllers applied to systems with specific symmetrical characteristics cite:&hovd97_svd_contr_contr.
Comparison of decoupling strategies
<<ssec:detail_control_decoupling_comp>>
While the three proposed decoupling methods may appear similar in their mathematical implementation (each involving pre-multiplication and post-multiplication of the plant with constant matrices), they differ significantly in their underlying approaches and practical implications, as summarized in Table ref:tab:detail_control_decoupling_strategies_comp.
Each method employs a distinct conceptual framework: Jacobian decoupling is "topology-driven", relying on the geometric configuration of the system; modal decoupling is "physics-driven", based on the system's dynamical equations; and SVD decoupling is "data-driven", using measured frequency response functions.
The physical interpretation of decoupled plant inputs and outputs varies considerably among these methods. With Jacobian decoupling, inputs and outputs retain clear physical meaning, corresponding to forces/torques and translations/rotations in a specified reference frame. Modal decoupling arranges inputs to excite individual modes, with outputs combined to measure these modes separately. For SVD decoupling, inputs and outputs represent special directions ordered by decreasing controllability and observability at the chosen frequency, though physical interpretation becomes challenging for parallel manipulators.
This difference in interpretation relates directly to the "control space" in which the controllers operate. When these "control spaces" meaningfully relate to the control objectives, controllers can be tuned to directly match specific requirements. For Jacobian decoupling, the controller typically operates in a frame positioned at the point where motion needs to be controlled, for instance where the light is focused in the NASS application. Modal decoupling provides a natural framework when specific vibrational modes require targeted control. SVD decoupling generally results in a loss of physical meaning for the "control space", potentially complicating the process of relating controller design to practical system requirements.
The quality of decoupling achieved through these methods also exhibits distinct characteristics. Jacobian decoupling performance depends on the chosen reference frame, with optimal decoupling at low frequencies when aligned at the center of stiffness, or at high frequencies when aligned with the center of mass. Systems designed with coincident centers of mass and stiffness may achieve excellent decoupling using this approach. Modal decoupling offers good decoupling across all frequencies, though its effectiveness relies on the model accuracy, with discrepancies potentially resulting in significant off-diagonal elements. SVD decoupling can be implemented using measured data without requiring a model, with optimal performance near the chosen decoupling frequency, though its effectiveness may diminish at other frequencies and depends on the quality of the real approximation of the response at the selected frequency point.
| Jacobian | Modal | SVD | |
|---|---|---|---|
| Philosophy | Topology Driven | Physics Driven | Data Driven |
| Requirements | Known geometry | Known equations of motion | Identified FRF |
| Decoupling Matrices | Jacobian matrix $\bm{J}_{\{O\}}$ | Eigenvectors $\bm{\Phi}$ | SVD matrices $\bm{U}$ and $\bm{V}$ |
| Decoupled Plant | $\bm{G}_{\{O\}}(s) = \bm{J}_{\{O\}}^{-1} \bm{G}_{\mathcal{L}}(s) \bm{J}_{\{O\}}^{-\intercal}$ | $\bm{G}_m(s) = \bm{\Phi}^{-1} \bm{G}_{\mathcal{X}}(s) \bm{\Phi}^{-\intercal}$ | $\bm{G}_{\text{SVD}}(s) = \bm{U}^{-1} \bm{G}(s) \bm{V}^{-\intercal}$ |
| Controller | $\bm{K}_{\{O\}}(s) = \bm{J}_{\{O\}}^{-\intercal} \bm{K}_{d}(s) \bm{J}_{\{O\}}^{-1}$ | $\bm{K}_m(s) = \bm{\Phi}^{-\intercal} \bm{K}_{d}(s) \bm{\Phi}^{-1}$ | $\bm{K}_{\text{SVD}}(s) = \bm{V}^{-\intercal} \bm{K}_{d}(s) \bm{U}^{-1}$ |
| Interpretation | Forces/Torques to Displacement/Rotation in chosen frame | Inputs (resp. outputs) to excite (resp. sense) individual modes | Directions of max to min controllability/observability |
| Effectiveness | Decoupling at low or high frequency depending on the chosen frame | Good decoupling at all frequencies | Good decoupling near the chosen frequency |
| Pros | Retain physical meaning of inputs / outputs. Controller acts on a meaningfully "frame" | Ability to target specific modes. Simple $2^{nd}$ order diagonal plants | Good Decoupling near the crossover. Very General and requires no model |
| Cons | Good decoupling at all frequency can only be obtained for specific mechanical architecture | Relies on the accuracy of equation of motions. Robustness to unmodelled dynamics may be poor | Loss of physical meaning of inputs /outputs. Decoupling away from the chosen frequency may be poor |
Closed-Loop Shaping using Complementary Filters
<<sec:detail_control_cf>>
Introduction
Once the system is properly decoupled using one of the approaches described in Section ref:sec:detail_control_decoupling, SISO controllers can be individually tuned for each decoupled "directions". Several ways to design a controller to obtain a given performance while ensuring good robustness properties can be implemented.
In some cases "fixed" controller structures are used, such as PI and PID controllers, whose parameters are manually tuned cite:&furutani04_nanom_cuttin_machin_using_stewar;&du14_piezo_actuat_high_precis_flexib;&yang19_dynam_model_decoup_contr_flexib.
Another popular method is Open-Loop shaping, which was used during the conceptual phase. Open-loop shaping involves tuning the controller through a series of "standard" filters (leads, lags, notches, low-pass filters, …) to shape the open-loop transfer function $G(s)K(s)$ according to desired specifications, including bandwidth, gain and phase margins cite:&schmidt20_desig_high_perfor_mechat_third_revis_edition, chapt. 4.4.7. Open-Loop shaping is very popular because the open-loop transfer function is a linear function of the controller, making it relatively straightforward to tune the controller to achieve desired open-loop characteristics. Another key advantage is that controllers can be tuned directly from measured frequency response functions of the plant without requiring an explicit model.
However, the behavior (i.e. performance) of a feedback system is a function of closed-loop transfer functions. Specifications can therefore be expressed in terms of the magnitude of closed-loop transfer functions, such as the sensitivity, plant sensitivity, and complementary sensitivity transfer functions cite:&skogestad07_multiv_feedb_contr, chapt. 3. With open-loop shaping, closed-loop transfer functions are changed only indirectly, which may make it difficult to directly address the specifications that are in terms of the closed-loop transfer functions.
In order to synthesize a controller that directly shapes the closed-loop transfer functions (and therefore the performance metric), $\mathcal{H}_\infty\text{-synthesis}$ may be used cite:&skogestad07_multiv_feedb_contr. This approach requires a good model of the plant and expertise in selecting weighting functions that will define the wanted shape of different closed-loop transfer functions cite:&bibel92_guidel_h. $\mathcal{H}_{\infty}\text{-synthesis}$ has been applied for the Stewart platform cite:&jiao18_dynam_model_exper_analy_stewar, yet when benchmarked against more basic decentralized controllers, the performance gains proved small cite:&thayer02_six_axis_vibrat_isolat_system;&hauge04_sensor_contr_space_based_six.
In this section, an alternative controller synthesis scheme is proposed in which complementary filters are used for directly shaping the closed-loop transfer functions (i.e., directly addressing the closed-loop performances). In Section ref:ssec:detail_control_cf_control_arch, the proposed control architecture is presented. In Section ref:ssec:detail_control_cf_trans_perf, typical performance requirements are translated into the shape of the complementary filters. The design of the complementary filters is briefly discussed in Section ref:ssec:detail_control_cf_analytical_complementary_filters, and analytical formulas are proposed such that it is possible to change the closed-loop behavior of the system in real time. Finally, in Section ref:ssec:detail_control_cf_simulations, a numerical example is used to show how the proposed control architecture can be implemented in practice.
Control Architecture
<<ssec:detail_control_cf_control_arch>>
Virtual Sensor Fusion
The idea of using complementary filters in the control architecture originates from sensor fusion techniques cite:&collette15_sensor_fusion_method_high_perfor, where two sensors are combined using complementary filters. Building upon this concept, "virtual sensor fusion" cite:&verma20_virtual_sensor_fusion_high_precis_contr replaces one physical sensor with a model $G$ of the plant. The corresponding control architecture is illustrated in Figure ref:fig:detail_control_cf_arch, where $G^\prime$ represents the physical plant to be controlled, $G$ is a model of the plant, $k$ is the controller, and $H_L$ and $H_H$ are complementary filters satisfying $H_L(s) + H_H(s) = 1$. In this arrangement, the physical plant is controlled at low frequencies, while the plant model is used at high frequencies to enhance robustness.
Although the control architecture shown in Figure ref:fig:detail_control_cf_arch appears to be a multi-loop system, it should be noted that no non-linear saturation-type elements are present in the inner loop (containing $k$, $G$, and $H_H$, all numerically implemented). Consequently, this structure is mathematically equivalent to the single-loop architecture illustrated in Figure ref:fig:detail_control_cf_arch_eq.
Asymptotic behavior
When considering the extreme case of very high values for $k$, the effective controller $K(s)$ converges to the inverse of the plant model multiplied by the inverse of the high-pass filter, as expressed in eqref:eq:detail_control_cf_high_k.
\begin{equation}\label{eq:detail_control_cf_high_k} limk→∞ K(s) = limk→∞ \frac{k}{1+H_H(s) G(s) k} = \big( H_H(s) G(s) \big)-1
\end{equation}
If the resulting $K$ is improper, a low-pass filter with sufficiently high corner frequency can be added to ensure its causal realization. Furthermore, for $K$ to be stable, both $G$ and $H_H$ must be minimum phase transfer functions.
With these assumptions, the resulting control architecture is illustrated in Figure ref:fig:detail_control_cf_arch_class, where the complementary filters $H_L$ and $H_H$ remain the only tuning parameters. The dynamics of this closed-loop system are described by equations eqref:eq:detail_control_cf_cl_system_y and eqref:eq:detail_control_cf_cl_system_y.

\begin{subequations}\label{eq:detail_control_cf_sf_cl_tf_K_inf}
\begin{align} y &= \frac{ H_H dy + G^{\prime} G^{-1} r - G^{\prime} G^{-1} H_L n }{H_H + G^\prime G^{-1} H_L} \label{eq:detail_control_cf_cl_system_y}\\ u &= \frac{ -G^{-1} H_L dy + G^{-1} r - G^{-1} H_L n }{H_H + G^\prime G^{-1} H_L} \label{eq:detail_control_cf_cl_system_u} \end{align}\end{subequations}
At frequencies where the model accurately represents the physical plant ($G^{-1} G^{\prime} \approx 1$), the denominator simplifies to $H_H + G^\prime G^{-1} H_L \approx H_H + H_L = 1$, and the closed-loop transfer functions are then described by equations eqref:eq:detail_control_cf_cl_performance_y and eqref:eq:detail_control_cf_cl_performance_u.
\begin{subequations}\label{eq:detail_control_cf_sf_cl_tf_K_inf_perfect}
\begin{alignat}{5}
y &= H_H dy &&+ r &&- H_L n \label{eq:detail_control_cf_cl_performance_y}
u &= -G-1 H_L dy &&+ G-1 r &&- G-1 H_L n \label{eq:detail_control_cf_cl_performance_u}
\end{alignat}
\end{subequations}
The sensitivity transfer function equals the high-pass filter $S = \frac{y}{dy} = H_H$, and the complementary sensitivity transfer function equals the low-pass filter $T = \frac{y}{n} = H_L$. Hence, when the plant model closely approximates the actual dynamics, the closed-loop transfer functions converge to the designed complementary filters, allowing direct translation of performance requirements into the design of the complementary.
Translating the performance requirements into the shape of the complementary filters
<<ssec:detail_control_cf_trans_perf>>
Introduction
Performance specifications in a feedback system can usually be expressed as upper bounds on the magnitudes of closed-loop transfer functions such as the sensitivity and complementary sensitivity transfer functions cite:&bibel92_guidel_h. The design of a controller $K(s)$ to obtain the desired shape of these closed-loop transfer functions is known as closed-loop shaping.
In the proposed control architecture, the closed-loop transfer functions eqref:eq:detail_control_cf_sf_cl_tf_K_inf are expressed in terms of the complementary filters $H_L(s)$ and $H_H(s)$ rather than directly through the controller $K(s)$. Therefore, performance requirements must be translated into constraints on the shape of these complementary filters.
Nominal Stability (NS)
A closed-loop system is stable when all its elements (here $K$, $G^\prime$, and $H_L$) are stable and the sensitivity function $S = \frac{1}{1 + G^\prime K H_L}$ is stable. For the nominal system ($G^\prime = G$), the sensitivity transfer function equals the high-pass filter: $S(s) = H_H(s)$.
Nominal stability is therefore guaranteed when $H_L$, $H_H$, and $G$ are stable, and both $G$ and $H_H$ are minimum phase (ensuring $K$ is stable). Consequently, stable and minimum phase complementary filters must be employed.
Nominal Performance (NP)
Performance specifications can be formalized using weighting functions $w_H$ and $w_L$, where performance is achieved when eqref:eq:detail_control_cf_weights is satisfied. The weighting functions define the maximum magnitude of the closed-loop transfer functions as a function of frequency, effectively determining their "shape".
\begin{subequations}\label{eq:detail_control_cf_weights}
\begin{align} |w_H(j\omega) S(j\omega)| &\le 1 \quad \forall\omega\\ |w_L(j\omega) T(j\omega)| &\le 1 \quad \forall\omega \end{align}\end{subequations}
For the nominal system, $S = H_H$ and $T = H_L$, hence the performance specifications can be converted on the shape of the complementary filters eqref:eq:detail_control_cf_nominal_performance.
\begin{equation}\label{eq:detail_control_cf_nominal_performance} \Aboxed{\text{NP} \Longleftrightarrow {\begin{cases*}
| w_H(jω) H_H(jω) | ≤ 1 & ∀ω \\ |
| w_L(jω) H_L(jω) | ≤ 1 & ∀ω |
\end{cases*}}}
\end{equation}
For disturbance rejection, the magnitude of the sensitivity function $|S(j\omega)| = |H_H(j\omega)|$ should be minimized, particularly at low frequencies where disturbances are usually most prominent. Similarly, for noise attenuation, the magnitude of the complementary sensitivity function $|T(j\omega)| = |H_L(j\omega)|$ should be minimized, especially at high frequencies where measurement noise typically dominates. Classical stability margins (gain and phase margins) are also related to the maximum amplitude of the sensitivity transfer function. Typically, maintaining $|S|_{\infty} \le 2$ ensures a gain margin of at least 2 and a phase margin of at least $\SI{29}{\degree}$.
Therefore, by carefully selecting the shape of the complementary filters, nominal performance specifications can be directly addressed in an intuitive manner.
Robust Stability (RS)
Robust stability refers to a control system's ability to maintain stability despite discrepancies between the actual system $G^\prime$ and the model $G$ used for controller design. These discrepancies may arise from unmodeled dynamics or nonlinearities.
To represent these model-plant differences, input multiplicative uncertainty as illustrated in Figure ref:fig:detail_control_cf_input_uncertainty is employed. The set of possible plants $\Pi_i$ is described by eqref:eq:detail_control_cf_multiplicative_uncertainty, with the weighting function $w_I$ selected such that all possible plants $G^\prime$ are contained within the set $\Pi_i$.
\begin{equation}\label{eq:detail_control_cf_multiplicative_uncertainty} Π_i: \quad G^′(s) = G(s)\big(1 + w_I(s)Δ_I(s)\big); \quad |Δ_I(jω)| ≤ 1 \ ∀ω
\end{equation}
When considering input multiplicative uncertainty, robust stability can be derived graphically from the Nyquist plot (illustrated in Figure ref:fig:detail_control_cf_nyquist_uncertainty), yielding to eqref:eq:detail_control_cf_robust_stability_graphically, as demonstrated in cite:&skogestad07_multiv_feedb_contr, chapt. 7.5.1.
\begin{equation}\label{eq:detail_control_cf_robust_stability_graphically} \text{RS} \Longleftrightarrow ≤ft|w_I(jω) L(jω) \right| ≤ ≤ft| 1 + L(jω) \right| \quad ∀ω
\end{equation}
After algebraic manipulation, robust stability is guaranteed when the low-pass complementary filter $H_L$ satisfies eqref:eq:detail_control_cf_condition_robust_stability.
\begin{equation}\label{eq:detail_control_cf_condition_robust_stability} \boxed{\text{RS} \Longleftrightarrow |w_I(jω) H_L(jω)| ≤ 1 \quad ∀ ω}
\end{equation}
Robust Performance (RP)
Robust performance ensures that performance specifications eqref:eq:detail_control_cf_weights are met even when the plant dynamics fluctuates within specified bounds eqref:eq:detail_control_cf_robust_perf_S.
\begin{equation}\label{eq:detail_control_cf_robust_perf_S} \text{RP} \Longleftrightarrow |w_H(jω) S(jω)| ≤ 1 \quad ∀ G^′ ∈ Π_I, \ ∀ω
\end{equation}
Transforming this condition into constraints on the complementary filters yields:
\begin{equation}\label{eq:detail_control_cf_robust_performance} \boxed{\text{RP} \Longleftrightarrow | w_H(jω) H_H(jω) | + | w_I(jω) H_L(jω) | ≤ 1, \ ∀ω}
\end{equation}
The robust performance condition effectively combines both nominal performance eqref:eq:detail_control_cf_nominal_performance and robust stability conditions eqref:eq:detail_control_cf_condition_robust_stability. If both NP and RS conditions are satisfied, robust performance will be achieved within a factor of 2 cite:&skogestad07_multiv_feedb_contr, chapt. 7.6. Therefore, for SISO systems, ensuring robust stability and nominal performance is typically sufficient.
Complementary filter design
<<ssec:detail_control_cf_analytical_complementary_filters>>
As proposed in Section ref:sec:detail_control_sensor, complementary filters can be shaped using standard $\mathcal{H}_{\infty}\text{-synthesis}$ techniques. This approach is particularly well-suited since performance requirements were expressed as upper bounds on the magnitude of the complementary filters.
Alternatively, analytical formulas for complementary filters may be employed. For some applications, first-order complementary filters as shown in Equation eqref:eq:detail_control_cf_1st_order are sufficient.
\begin{subequations}\label{eq:detail_control_cf_1st_order}
\begin{align} H_L(s) &= \frac{1}{1 + s/\omega_0} \\ H_H(s) &= \frac{s/\omega_0}{1 + s/\omega_0} \end{align}\end{subequations}
These filters can be transformed into the digital domain using the Bilinear transformation, resulting in the digital filter representations shown in Equation eqref:eq:detail_control_cf_1st_order_z.
\begin{subequations}\label{eq:detail_control_cf_1st_order_z}
\begin{align} H_L(z^{-1}) &= \frac{T_s \omega_0 + T_s \omega_0 z^{-1}}{T_s \omega_0 + 2 + (T_s \omega_0 - 2) z^{-1}} \\ H_H(z^{-1}) &= \frac{2 - 2 z^{-1}}{T_s \omega_0 + 2 + (T_s \omega_0 - 2) z^{-1}} \end{align}\end{subequations}
A significant advantage of using analytical formulas for complementary filters is that key parameters such as $\omega_0$ can be tuned in real-time, as illustrated in Figure ref:fig:detail_control_cf_arch_tunable_params. This real-time tunability allows rapid testing of different control bandwidths to evaluate performance and robustness characteristics.

For many practical applications, first order complementary filters are not sufficient. Specifically, a slope of $+2$ at low frequencies for the sensitivity transfer function (enabling accurate tracking of ramp inputs) and a slope of $-2$ for the complementary sensitivity transfer function are often desired. For these cases, the complementary filters analytical formula in Equation eqref:eq:detail_control_cf_2nd_order is proposed.
\begin{subequations}\label{eq:detail_control_cf_2nd_order}
\begin{align} H_L(s) &= \frac{(1+\alpha) (\frac{s}{\omega_0})+1}{\left((\frac{s}{\omega_0})+1\right) \left((\frac{s}{\omega_0})^2 + \alpha (\frac{s}{\omega_0}) + 1\right)}\\ H_H(s) &= \frac{(\frac{s}{\omega_0})^2 \left((\frac{s}{\omega_0})+1+\alpha\right)}{\left((\frac{s}{\omega_0})+1\right) \left((\frac{s}{\omega_0})^2 + \alpha (\frac{s}{\omega_0}) + 1\right)} \end{align}\end{subequations}
The influence of parameters $\alpha$ and $\omega_0$ on the frequency response of these complementary filters is illustrated in Figure ref:fig:detail_control_cf_analytical_effect. The parameter $\alpha$ primarily affects the damping characteristics near the crossover frequency as well as high and low frequency magnitudes, while $\omega_0$ determines the frequency at which the transition between high-pass and low-pass behavior occurs. These filters can also be implemented in the digital domain with analytical formulas, preserving the ability to adjust $\alpha$ and $\omega_0$ in real-time.
Numerical Example
<<ssec:detail_control_cf_simulations>>
Procedure
To implement the proposed control architecture in practice, the following procedure is proposed:
- Identify the plant to be controlled to obtain the plant model $G$.
- Design the weighting function $w_I$ such that all possible plants $G^\prime$ are contained within the uncertainty set $\Pi_i$.
- Translate performance requirements into upper bounds on the complementary filters as explained in Section ref:ssec:detail_control_cf_trans_perf.
- Design the weighting functions $w_H$ and $w_L$ and generate the complementary filters using $\mathcal{H}_{\infty}\text{-synthesis}$ as described in Section ref:ssec:detail_control_sensor_hinf_method. If the synthesis fails to produce filters satisfying the defined upper bounds, either revise the requirements or develop a more accurate model $G$ that will allow for a smaller $w_I$. For simpler cases, the analytical formulas for complementary filters presented in Section ref:ssec:detail_control_cf_analytical_complementary_filters can be employed.
- If $K(s) = H_H^{-1}(s) G^{-1}(s)$ is not proper, add low-pass filters with sufficiently high corner frequencies to ensure realizability.
Plant
To evaluate this control architecture, a simple test model representative of many synchrotron positioning stages is used (Figure ref:fig:detail_control_cf_test_model). In this model, a payload with mass $m$ is positioned on top of a stage. The objective is to accurately position the sample relative to the X-ray beam.
The relative position $y$ between the payload and the X-ray is measured, which typically involves measuring the relative position between the focusing optics and the sample. Various disturbance forces affect positioning stability, including stage vibrations $d_w$ and direct forces applied to the sample $d_F$ (such as cable forces). The positioning stage itself is characterized by stiffness $k$, internal damping $c$, and a controllable force $F$.
The model of the plant $G(s)$ from actuator force $F$ to displacement $y$ is described by Equation eqref:eq:detail_control_cf_test_plant_tf.
\begin{equation}\label{eq:detail_control_cf_test_plant_tf} G(s) = \frac{1}{m s^2 + c s + k}, \quad m = §I{20}{\kg},\ k = 1\si{\N/μ\m},\ c = 10^2\si{\N\per(\m\per\s)}
\end{equation}
The plant dynamics include uncertainties related to limited support compliance, unmodeled flexible dynamics and payload dynamics. These uncertainties are represented using a multiplicative input uncertainty weight eqref:eq:detail_control_cf_test_plant_uncertainty, which specifies the magnitude of uncertainty as a function of frequency.
\begin{equation}\label{eq:detail_control_cf_test_plant_uncertainty} w_I(s) = 10 ⋅ \frac{(s+100)^2}{(s+1000)^2}
\end{equation}
Figure ref:fig:detail_control_cf_bode_plot_mech_sys illustrates both the nominal plant dynamics and the complete set of possible plants $\Pi_i$ encompassed by the uncertainty model.
Requirements and choice of complementary filters
As discussed in Section ref:ssec:detail_control_cf_trans_perf, nominal performance requirements can be expressed as upper bounds on the shape of the complementary filters. For this example, the requirements are:
- track ramp inputs (i.e. constant velocity scans) with zero steady-state error: a $+2$ slope at low frequencies for the magnitude of the sensitivity function $|S(j\omega)|$ is required
- filtering of measurement noise above $\SI{300}{Hz}$, where sensor noise is significant (requiring a filtering factor of approximately 100 above this frequency)
- maximizing disturbance rejection
Additionally, robust stability must be ensured, requiring the closed-loop system to remain stable despite the dynamic uncertainties modeled by $w_I$. This condition is satisfied when the magnitude of the low-pass complementary filter $|H_L(j\omega)|$ remains below the inverse of the uncertainty weight magnitude $|w_I(j\omega)|$, as expressed in Equation eqref:eq:detail_control_cf_condition_robust_stability.
Robust performance is achieved when both nominal performance and robust stability conditions are simultaneously satisfied.
All requirements imposed on $H_L$ and $H_H$ are visualized in Figure ref:fig:detail_control_cf_specs_S_T. While $\mathcal{H}_\infty\text{-synthesis}$ could be employed to design the complementary filters, analytical formulas were used for this relatively simple example. The second-order complementary filters from Equation eqref:eq:detail_control_cf_2nd_order were selected with parameters $\alpha = 1$ and $\omega_0 = 2\pi \cdot 20\,\text{Hz}$. There magnitudes are displayed in Figure ref:fig:detail_control_cf_specs_S_T, confirming that these complementary filters are fulfilling the specifications.
Controller analysis
The controller to be implemented takes the form $K(s) = \tilde{G}^{-1}(s) H_H^{-1}(s)$, where $\tilde{G}^{-1}(s)$ represents the plant inverse, which must be both stable and proper. To ensure properness, low-pass filters with high corner frequencies are added as shown in Equation eqref:eq:detail_control_cf_test_plant_inverse.
\begin{equation}\label{eq:detail_control_cf_test_plant_inverse} ~{G}-1(s) = \frac{m s^2 + c s + k}{1 + \frac{s}{2π ⋅ 1000} + ≤ft( \frac{s}{2π ⋅ 1000} \right)^2}
\end{equation}
The Bode plot of the controller multiplied by the complementary low-pass filter, $K(s) \cdot H_L(s)$, is presented in Figure ref:fig:detail_control_cf_bode_Kfb. The frequency response reveals several important characteristics:
- The presence of two integrators at low frequencies, enabling accurate tracking of ramp inputs
- A notch at the plant resonance frequency (arising from the plant inverse)
- A lead component near the control bandwidth of approximately 20 Hz, enhancing stability margins
Robustness and Performance analysis
Robust stability is assessed using the Nyquist plot shown in Figure ref:fig:detail_control_cf_nyquist_robustness. Even when considering all possible plants within the uncertainty set, the Nyquist plot remains sufficiently distant from the critical point $(-1,0)$, indicating robust stability with adequate margins.
Performance is evaluated by examining the closed-loop sensitivity and complementary sensitivity transfer functions, as illustrated in Figure ref:fig:detail_control_cf_robust_perf. It is shown that the sensitivity transfer function achieves the desired $+2$ slope at low frequencies and that the complementary sensitivity transfer function nominally provides the wanted noise filtering.
Conclusion
In this section, a control architecture in which complementary filters are used for closed-loop shaping has been presented. This approach differs from traditional open-loop shaping in that no controller is manually designed; rather, appropriate complementary filters are selected to achieve the desired closed-loop behavior. The method shares conceptual similarities with mixed-sensitivity $\mathcal{H}_{\infty}\text{-synthesis}$, as both approaches aim to shape closed-loop transfer functions, but with notable distinctions in implementation and complexity.
While $\mathcal{H}_{\infty}\text{-synthesis}$ offers greater flexibility and can be readily generalized to MIMO plants, the presented approach provides a simpler alternative that requires minimal design effort. Implementation only necessitates extracting a model of the plant and selecting appropriate analytical complementary filters, making it particularly interesting for applications where simplicity and intuitive parameter tuning are valued.
Due to time constraints, an extensive literature review comparing this approach with similar existing architectures, such as Internal Model Control cite:&saxena12_advan_inter_model_contr_techn, was not conducted. Consequently, it remains unclear whether the proposed architecture offers significant advantages over existing methods in the literature.
The control architecture has been presented for SISO systems, but can be applied to MIMO systems when sufficient decoupling is achieved. It will be experimentally validated with the NASS during the experimental phase.
Conclusion
<<sec:detail_control_conclusion>>
In order to optimize the control of the Nano Active Stabilization System, several aspects of control theory were studied. Different approaches to combine sensors were compared in Section ref:sec:detail_control_sensor. While High Authority Control-Low Authority Control (HAC-LAC) was successfully applied during the conceptual design phase, the focus of this work was extended to sensor fusion techniques where two or more sensors are combined using complementary filters. It was demonstrated that the performance of such fusion depends significantly on the magnitude of the complementary filters. To address this challenge, a synthesis method based on $\mathcal{H}_\infty\text{-synthesis}$ was proposed, allowing for intuitive shaping of the complementary filters through weighting functions. For the NASS, while HAC-LAC remains a natural way to combine sensors, the potential benefits of sensor fusion merit further investigation.
Various decoupling strategies for parallel manipulators were examined in Section ref:sec:detail_control_decoupling, including decentralized control, Jacobian decoupling, modal decoupling, and Singular Value Decomposition (SVD) decoupling. The main characteristics of each approach were highlighted, providing valuable insights into their respective strengths and limitations. Among the examined methods, Jacobian decoupling was determined to be most appropriate for the NASS, as it provides straightforward implementation while preserving the physical meaning of inputs and outputs.
With the system successfully decoupled, attention shifted to designing appropriate SISO controllers for each decoupled direction. A control architecture for directly shaping closed-loop transfer functions was proposed. It is based on complementary filters that can be designed using either the proposed $\mathcal{H}_\infty\text{-synthesis}$ approach described earlier or through analytical formulas. Experimental validation of this method on the NASS will be conducted during the experimental tests on ID31.
Choice of Instrumentation
<<sec:detail_instrumentation>>
Introduction
This chapter presents an approach to select and validate appropriate instrumentation for the Nano Active Stabilization System (NASS), ensuring each component meets specific performance requirements. Figure ref:fig:detail_instrumentation_plant illustrates the control diagram with all relevant noise sources whose effects on sample position will be evaluated throughout this analysis.
The selection process follows a three-stage methodology. First, dynamic error budgeting is performed in Section ref:sec:detail_instrumentation_dynamic_error_budgeting to establish maximum acceptable noise specifications for each instrumentation component (ADC, DAC, and voltage amplifier). This analysis is based on the multi-body model with a 2DoF APA model, focusing particularly on the vertical direction due to its more stringent requirements. From the calculated transfer functions, maximum acceptable amplitude spectral densities for each noise source are derived.
Section ref:sec:detail_instrumentation_choice then presents the selection of appropriate components based on these noise specifications and additional requirements.
Finally, Section ref:sec:detail_instrumentation_characterization validates the selected components through experimental testing. Each instrument is characterized individually, measuring actual noise levels and performance characteristics. The measured noise characteristics are then incorporated into the multi-body model to confirm that the combined effect of all instrumentation noise sources remains within acceptable limits.
Dynamic Error Budgeting
<<sec:detail_instrumentation_dynamic_error_budgeting>>
Introduction
The primary goal of this analysis is to establish specifications for the maximum allowable noise levels of the instrumentation used for the NASS (ADC, DAC, and voltage amplifier) that would result in acceptable vibration levels in the system.
The procedure involves determining the closed-loop transfer functions from various noise sources to positioning error (Section ref:ssec:detail_instrumentation_cl_sensitivity). This analysis is conducted using the multi-body model with a 2-DoF Amplified Piezoelectric Actuator model that incorporates voltage inputs and outputs. Only the vertical direction is considered in this analysis as it presents the most stringent requirements; the horizontal directions are subject to less demanding constraints.
From these transfer functions, the maximum acceptable Amplitude Spectral Density (ASD) of the noise sources is derived (Section ref:ssec:detail_instrumentation_max_noise_specs). Since the voltage amplifier gain affects the amplification of DAC noise, an assumption of an amplifier gain of 20 was made.
Closed-Loop Sensitivity to Instrumentation Disturbances
<<ssec:detail_instrumentation_cl_sensitivity>>
Several key noise sources are considered in the analysis (Figure ref:fig:detail_instrumentation_plant). These include the output voltage noise of the DAC ($n_{da}$), the output voltage noise of the voltage amplifier ($n_{amp}$), and the voltage noise of the ADC measuring the force sensor stacks ($n_{ad}$).
Encoder noise, which is only used to estimate $R_z$, has been found to have minimal impact on the vertical sample error and is therefore omitted from this analysis for clarity.
The transfer functions from these three noise sources (for one strut) to the vertical error of the sample are estimated from the multi-body model, which includes the APA300ML and the designed flexible joints (Figure ref:fig:detail_instrumentation_noise_sensitivities).
Estimation of maximum instrumentation noise
<<ssec:detail_instrumentation_max_noise_specs>>
The most stringent requirement for the system is maintaining vertical vibrations below the smallest expected beam size of $100\,\text{nm}$, which corresponds to a maximum allowed vibration of $15\,\text{nm RMS}$.
Several assumptions regarding the noise characteristics have been made. The DAC, ADC, and amplifier noise are considered uncorrelated, which is a reasonable assumption. Similarly, the noise sources corresponding to each strut are also assumed to be uncorrelated. This means that the power spectral densities (PSD) of the different noise sources are summed.
Since the effect of each strut on the vertical error is identical due to symmetry, only one strut is considered for this analysis, and the total effect of the six struts is calculated as six times the effect of one strut in terms of power, which translates to a factor of $\sqrt{6} \approx 2.5$ for RMS values.
In order to derive specifications in terms of noise spectral density for each instrumentation component, a white noise profile is assumed, which is typical for these components.
The noise specification is computed such that if all components operate at their maximum allowable noise levels, the specification for vertical error will still be met. While this represents a pessimistic approach, it provides a reasonable estimate of the required specifications.
Based on this analysis, the obtained maximum noise levels are as follows: DAC maximum output noise ASD is established at $14\,\mu V/\sqrt{\text{Hz}}$, voltage amplifier maximum output voltage noise ASD at $280\,\mu V/\sqrt{\text{Hz}}$, and ADC maximum measurement noise ASD at $11\,\mu V/\sqrt{\text{Hz}}$. In terms of RMS noise, these translate to less than $1\,\text{mV RMS}$ for the DAC, less than $20\,\text{mV RMS}$ for the voltage amplifier, and less than $0.8\,\text{mV RMS}$ for the ADC.
If the Amplitude Spectral Density of the noise of the ADC, DAC, and voltage amplifiers all remain below these specified maximum levels, then the induced vertical error will be maintained below 15nm RMS.
Choice of Instrumentation
<<sec:detail_instrumentation_choice>>
Piezoelectric Voltage Amplifier
Introduction
Several characteristics of piezoelectric voltage amplifiers must be considered for this application. To take advantage of the full stroke of the piezoelectric actuator, the voltage output should range between $-20$ and $150\,V$. The amplifier should accept an analog input voltage, preferably in the range of $-10$ to $10\,V$, as this is standard for most DACs.
Small signal Bandwidth and Output Impedance
Small signal bandwidth is particularly important for feedback applications as it can limit the overall bandwidth of the complete feedback system.
A simplified electrical model of a voltage amplifier connected to a piezoelectric stack is shown in Figure ref:fig:detail_instrumentation_amp_output_impedance. This model is valid for small signals and provides insight into the small signal bandwidth limitation cite:&fleming14_desig_model_contr_nanop_system, chap. 14. In this model, $R_o$ represents the output impedance of the amplifier. When combined with the piezoelectric load (represented as a capacitance $C_p$), it forms a first order low pass filter described by eqref:eq:detail_instrumentation_amp_output_impedance.
\begin{equation}\label{eq:detail_instrumentation_amp_output_impedance} \frac{V_a}{V_i}(s) = \frac{1}{1 + \frac{s}{ω_0}}, \quad ω_0 = \frac{1}{R_o C_p}
\end{equation}

Consequently, the small signal bandwidth depends on the load capacitance and decreases as the load capacitance increases. For the APA300ML, the capacitive load of the two piezoelectric stacks corresponds to $C_p = 8.8\,\mu F$. If a small signal bandwidth of $f_0 = \frac{\omega_0}{2\pi} = 5\,\text{kHz}$ is desired, the voltage amplifier output impedance should be less than $R_0 = 3.6\,\Omega$.
Large signal Bandwidth
Large signal bandwidth relates to the maximum output capabilities of the amplifier in terms of amplitude as a function of frequency.
Since the primary function of the NASS is position stabilization rather than scanning, this specification is less critical than the small signal bandwidth. However, considering potential scanning capabilities, a worst-case scenario of a constant velocity scan (triangular reference signal) with a repetition rate of $f_r = 100\,\text{Hz}$ using the full voltage range of the piezoelectric actuator ($V_{pp} = 170\,V$) is considered.
There are two limiting factors for large signal bandwidth that should be evaluated:
- Slew rate, which should exceed $2 \cdot V_{pp} \cdot f_r = 34\,V/ms$. This requirement is typically easily met by commercial voltage amplifiers.
- Current output capabilities: as the capacitive impedance decreases inversely with frequency, it can reach very low values at high frequencies. To achieve high voltage at high frequency, the amplifier must therefore provide substantial current. The maximum required current can be calculated as $I_{\text{max}} = 2 \cdot V_{pp} \cdot f \cdot C_p = 0.3\,A$.
Therefore, ideally, a voltage amplifier capable of providing $0.3\,A$ of current would be interesting for scanning applications.
Output voltage noise
As established in Section ref:sec:detail_instrumentation_dynamic_error_budgeting, the output noise of the voltage amplifier should be below $20\,\text{mV RMS}$.
It should be noted that the load capacitance of the piezoelectric stack filters the output noise of the amplifier, as illustrated by the low pass filter in Figure ref:fig:detail_instrumentation_amp_output_impedance. Therefore, when comparing noise specifications from different voltage amplifier datasheets, it is essential to verify the capacitance of the load used during the measurement cite:&spengen20_high_voltag_amplif.
For this application, the output noise must remain below $20\,\text{mV RMS}$ with a load of $8.8\,\mu F$ and a bandwidth exceeding $5\,\text{kHz}$.
Choice of voltage amplifier
The specifications are summarized in Table ref:tab:detail_instrumentation_amp_choice. The most critical characteristics are the small signal bandwidth ($>5\,\text{kHz}$) and the output voltage noise ($<20\,\text{mV RMS}$).
Several voltage amplifiers were considered, with their datasheet information presented in Table ref:tab:detail_instrumentation_amp_choice. One challenge encountered during the selection process was that manufacturers typically do not specify output noise as a function of frequency (i.e., the ASD of the noise), but instead provide only the RMS value, which represents the integrated value across all frequencies. This approach does not account for the frequency dependency of the noise, which is crucial for accurate error budgeting.
Additionally, the load conditions used to estimate bandwidth and noise specifications are often not explicitly stated. In many cases, bandwidth is reported with minimal load while noise is measured with substantial load, making direct comparisons between different models more complex. Note that for the WMA-200, the manufacturer proposed to remove the $50\,\Omega$ output resistor to improve to small signal bandwidth above $10\,\text{kHz}$
The PD200 from PiezoDrive was ultimately selected because it meets all the requirements and is accompanied by clear documentation, particularly regarding noise characteristics and bandwidth specifications.
| Specifications | PD200 | WMA-200 | LA75B | E-505 |
|---|---|---|---|---|
| PiezoDrive | Falco | Cedrat | PI | |
| Input Voltage Range: $\pm 10\,V$ | $\pm 10\,V$ | $\pm8.75\,V$ | $-1/7.5\,V$ | $-2/12\,V$ |
| Output Voltage Range: $-20/150\,V$ | $-50/150\,V$ | $\pm 175\,V$ | $-20/150\,V$ | -30/130 |
| Gain $>15$ | 20 | 20 | 20 | 10 |
| Output Current $> 300\,mA$ | $900\,mA$ | $150\,mA$ | $360\,mA$ | $215\,mA$ |
| Slew Rate $> 34\,V/ms$ | $150\,V/\mu s$ | $80\,V/\mu s$ | n/a | n/a |
| Output noise $< 20\,mV\ \text{RMS}$ | $0.7\,mV$ | $0.05\,mV$ | $3.4\,mV$ | $0.6\,mV$ |
| (10uF load) | ($10\,\mu F$ load) | ($10\,\mu F$ load) | (n/a) | (n/a) |
| Small Signal Bandwidth $> 5\,kHz$ | $6.4\,kHz$ | $300\,Hz$ | $30\,kHz$ | n/a |
| ($10\,\mu F$ load) | ($10\,\mu F$ load) | ($10\,\mu F$ load) | (unloaded) | (n/a) |
| Output Impedance: $< 3.6\,\Omega$ | n/a | $50\,\Omega$ | n/a | n/a |
ADC and DAC
Introduction
Analog-to-digital converters and digital-to-analog converters play key roles in the system, serving as the interface between the digital RT controller and the analog physical plant. The proper selection of these components is critical for system performance.
Synchronicity and Jitter
For control systems, synchronous sampling of inputs and outputs of the real-time controller and minimal jitter are essential requirements cite:&abramovitch22_pract_method_real_world_contr_system;&abramovitch23_tutor_real_time_comput_issues_contr_system.
Therefore, the ADC and DAC must be well interfaced with the Speedgoat real-time controller and triggered synchronously with the computation of the control signals. Based on this requirement, priority was given to ADC and DAC components specifically marketed by Speedgoat to ensure optimal integration.
Sampling Frequency, Bandwidth and delays
Several requirements that may initially appear similar are actually distinct in nature.
First, the sampling frequency defines the interval between two sampled points and determines the Nyquist frequency. Then, the bandwidth specifies the maximum frequency of a measured signal (typically defined as the -3dB point) and is often limited by implemented anti-aliasing filters. Finally, delay (or latency) refers to the time interval between the analog signal at the input of the ADC and the digital information transferred to the control system.
Sigma-Delta ADCs can provide excellent noise characteristics, high bandwidth, and high sampling frequency, but often at the cost of poor latency. Typically, the latency can reach 20 times the sampling period cite:&schmidt20_desig_high_perfor_mechat_third_revis_edition, chapt. 8.4. Consequently, while Sigma-Delta ADCs are widely used for signal acquisition applications, they have limited utility in real-time control scenarios where latency is a critical factor.
For real-time control applications, SAR-ADCs (Successive Approximation ADCs) remain the predominant choice due to their single-sample latency characteristics.
ADC Noise
Based on the dynamic error budget established in Section ref:sec:detail_instrumentation_dynamic_error_budgeting, the measurement noise ASD should not exceed $11\,\mu V/\sqrt{\text{Hz}}$.
ADCs are subject to various noise sources. Quantization noise, which results from the discrete nature of digital representation, is one of these sources. To determine the minimum bit depth $n$ required to meet the noise specifications, an ideal ADC where quantization error is the only noise source is considered.
The quantization step size, denoted as $q = \Delta V/2^n$, represents the voltage equivalent of the least significant bit, with $\Delta V$ the full range of the ADC in volts, and $F_s$ the sampling frequency in Hertz.
The quantization noise ranges between $\pm q/2$, and its probability density function is constant across this range (uniform distribution). Since the integral of this probability density function $p(e)$ equals one, its value is $1/q$ for $-q/2 < e < q/2$, as illustrated in Figure ref:fig:detail_instrumentation_adc_quantization.

The variance (or time-average power) of the quantization noise is expressed by eqref:eq:detail_instrumentation_quant_power.
\begin{equation}\label{eq:detail_instrumentation_quant_power} P_q = ∫-q/2q/2 e^2 p(e) de = \frac{q^2}{12}
\end{equation}
To compute the power spectral density of the quantization noise, which is defined as the Fourier transform of the noise's autocorrelation function, it is assumed that noise samples are uncorrelated. Under this assumption, the autocorrelation function approximates a delta function in the time domain. Since the Fourier transform of a delta function equals one, the power spectral density becomes frequency-independent (white noise).
By Parseval's theorem, the power spectral density of the quantization noise $\Phi_q$ can be linked to the ADC sampling frequency and quantization step size eqref:eq:detail_instrumentation_psd_quant_noise.
\begin{equation}\label{eq:detail_instrumentation_psd_quant_noise} ∫-F_s/2F_s/2 Φ_q(f) d f = ∫-q/2q/2 e^2 p(e) de \quad \Longrightarrow \quad Φ_q = \frac{q^2}{12 F_s} = \frac{≤ft(\frac{Δ V}{2^n}\right)^2}{12 F_s} \quad \text{in } ≤ft[ \frac{V^2}{\text{Hz}} \right]
\end{equation}
From a specified noise amplitude spectral density $\Gamma_{\text{max}}$, the minimum number of bits required to keep quantization noise below $\Gamma_{\text{max}}$ is calculated using eqref:eq:detail_instrumentation_min_n.
\begin{equation}\label{eq:detail_instrumentation_min_n} n = \text{log}_2 ≤ft( \frac{Δ V}{\sqrt{12 F_s} ⋅ Γ_{\text{max}}} \right)
\end{equation}
With a sampling frequency $F_s = 10\,\text{kHz}$, an input range $\Delta V = 20\,V$ and a maximum allowed ASD $\Gamma_{\text{max}} = 11\,\mu V/\sqrt{Hz}$, the minimum number of bits is $n_{\text{min}} = 12.4$, which is readily achievable with commercial ADCs.
DAC Output voltage noise
Similar to the ADC requirements, the DAC output voltage noise ASD should not exceed $14\,\mu V/\sqrt{\text{Hz}}$. This specification corresponds to a $\pm 10\,V$ DAC with 13-bit resolution, which is easily attainable with current technology.
Choice of the ADC and DAC Board
Based on the preceding analysis, the selection of suitable ADC and DAC components is straightforward.
For optimal synchronicity, a Speedgoat-integrated solution was chosen. The selected model is the IO131, which features 16 analog inputs based on the AD7609 with 16-bit resolution, $\pm 10\,V$ range, maximum sampling rate of 200kSPS, simultaneous sampling, and differential inputs allowing the use of shielded twisted pairs for enhanced noise immunity. The board also includes 8 analog outputs based on the AD5754R with 16-bit resolution, $\pm 10\,V$ range, conversion time of $10\,\mu s$, and simultaneous update capability.
Although noise specifications are not explicitly provided in the datasheet, the 16-bit resolution should ensure performance well below the established requirements. This will be experimentally verified in Section ref:sec:detail_instrumentation_characterization.
Relative Displacement Sensors
The specifications for the relative displacement sensors include sufficient compactness for integration within each strut, noise levels below $6\,\text{nm RMS}$ (derived from the $15\,\text{nm RMS}$ vertical error requirement for the system divided by the contributions of six struts), and a measurement range exceeding $100\,\mu m$.
Several sensor technologies are capable of meeting these requirements cite:&fleming13_review_nanom_resol_posit_sensor. These include optical encoders (Figure ref:fig:detail_instrumentation_sensor_encoder), capacitive sensors (Figure ref:fig:detail_instrumentation_sensor_capacitive), and eddy current sensors (Figure ref:fig:detail_instrumentation_sensor_eddy_current), each with their own advantages and implementation considerations.
From an implementation perspective, capacitive and eddy current sensors offer a slight advantage as they can be quite compact and can measure in line with the APA, as illustrated in Figure ref:fig:detail_instrumentation_capacitive_implementation. In contrast, optical encoders are bigger and they must be offset from the strut's action line, which introduces potential measurement errors (Abbe errors) due to potential relative rotations between the two ends of the APA, as shown in Figure ref:fig:detail_instrumentation_encoder_implementation.
A significant consideration in the sensor selection process was the fact that sensor signals must pass through an electrical slip-ring due to the continuous spindle rotation. Measurements conducted on the slip-ring integrated in the micro-station revealed substantial cross-talk between different slip-ring channels. To mitigate this issue, preference was given to sensors that transmit displacement measurements digitally, as these are inherently less susceptible to noise and cross-talk. Based on this criterion, an optical encoder with digital output was selected, where signal interpolation is performed directly in the sensor head.
The specifications of the considered relative motion sensor, the Renishaw Vionic, are summarized in Table ref:tab:detail_instrumentation_sensor_specs, alongside alternative options that were considered.
| Specifications | Renishaw Vionic | LION CPL190 | Cedrat ECP500 |
|---|---|---|---|
| Technology | Digital Encoder | Capacitive | Eddy Current |
| Bandwidth $> 5\,\text{kHz}$ | $> 500\,\text{kHz}$ | 10kHz | 20kHz |
| Noise $< 6\,nm\,\text{RMS}$ | 1.6 nm rms | 4 nm rms | 15 nm rms |
| Range $> 100\,\mu m$ | Ruler length | 250 um | 500um |
| In line measurement | $\times$ | $\times$ | |
| Digital Output | $\times$ |
Characterization of Instrumentation
<<sec:detail_instrumentation_characterization>>
Analog to Digital Converters
Measured Noise
The measurement of ADC noise was performed by short-circuiting its input with a $50\,\Omega$ resistor and recording the digital values at a sampling rate of $10\,\text{kHz}$. The amplitude spectral density of the recorded values was computed and is presented in Figure ref:fig:detail_instrumentation_adc_noise_measured. The ADC noise exhibits characteristics of white noise with an amplitude spectral density of $5.6\,\mu V/\sqrt{\text{Hz}}$ (equivalent to $0.4\,\text{mV RMS}$), which satisfies the established specifications. All ADC channels demonstrated similar performance, so only one channel's noise profile is shown.
If necessary, oversampling can be applied to further reduce the noise cite:&lab13_improv_adc. To gain $w$ additional bits of resolution, the oversampling frequency $f_{os}$ should be set to $f_{os} = 4^w \cdot F_s$. Given that the ADC can operate at 200kSPS while the real-time controller runs at 10kSPS, an oversampling factor of 16 can be employed to gain approximately two additional bits of resolution (reducing noise by a factor of 4). This approach is effective because the noise approximates white noise and its amplitude exceeds 1 LSB (0.3 mV) cite:&hauser91_princ_overs_d_conver.
Reading of piezoelectric force sensor
To further validate the ADC's capability to effectively measure voltage generated by a piezoelectric stack, a test was conducted using the APA95ML. The setup is illustrated in Figure ref:fig:detail_instrumentation_force_sensor_adc_setup, where two stacks are used as actuators (connected in parallel) and one stack serves as a sensor. The voltage amplifier employed in this setup has a gain of 20.

Step signals with an amplitude of $1\,V$ were generated using the DAC, and the ADC signal was recorded. The excitation signal (steps) and the measured voltage across the sensor stack are displayed in Figure ref:fig:detail_instrumentation_step_response_force_sensor.
Two notable observations were made: an offset voltage of $2.26\,V$ was present, and the measured voltage exhibited an exponential decay response to the step input. These phenomena can be explained by examining the electrical schematic shown in Figure ref:fig:detail_instrumentation_force_sensor_adc, where the ADC has an input impedance $R_i$ and an input bias current $i_n$.
The input impedance $R_i$ of the ADC, in combination with the capacitance $C_p$ of the piezoelectric stack sensor, forms an RC circuit with a time constant $\tau = R_i C_p$. The charge generated by the piezoelectric effect across the stack's capacitance gradually discharges into the input resistor of the ADC. Consequently, the transfer function from the generated voltage $V_p$ to the measured voltage $V_{\text{ADC}}$ is a first-order high-pass filter with the time constant $\tau$.
An exponential curve was fitted to the experimental data, yielding a time constant $\tau = 6.5\,s$. With the capacitance of the piezoelectric sensor stack being $C_p = 4.4\,\mu F$, the internal impedance of the Speedgoat ADC was calculated as $R_i = \tau/C_p = 1.5\,M\Omega$, which closely aligns with the specified value of $1\,M\Omega$ found in the datasheet.
The constant voltage offset can be explained by the input bias current $i_n$ of the ADC, represented in Figure ref:fig:detail_instrumentation_force_sensor_adc. At DC, the impedance of the piezoelectric stack is much larger than the input impedance of the ADC, and therefore the input bias current $i_n$ passing through the internal resistance $R_i$ produces a constant voltage offset $V_{\text{off}} = R_i \cdot i_n$. The input bias current $i_n$ is estimated from $i_n = V_{\text{off}}/R_i = 1.5\mu A$.
In order to reduce the input voltage offset and to increase the corner frequency of the high pass filter, a resistor $R_p$ can be added in parallel to the force sensor, as illustrated in Figure ref:fig:detail_instrumentation_force_sensor_adc_R. This modification produces two beneficial effects: a reduction of input voltage offset through the relationship $V_{\text{off}} = (R_p R_i)/(R_p + R_i) i_n$, and an increase in the high pass corner frequency $f_c$ according to the equations $\tau = 1/(2\pi f_c) = (R_i R_p)/(R_i + R_p) C_p$.
To validate this approach, a resistor $R_p \approx 82\,k\Omega$ was added in parallel with the force sensor as shown in Figure ref:fig:detail_instrumentation_force_sensor_adc_R. After incorporating this resistor, the same step response tests were performed, with results displayed in Figure ref:fig:detail_instrumentation_step_response_force_sensor_R. The measurements confirmed the expected improvements, with a substantially reduced offset voltage ($V_{\text{off}} = 0.15\,V$) and a much faster time constant ($\tau = 0.45\,s$). These results validate both the model of the ADC and the effectiveness of the added parallel resistor as a solution.
Instrumentation Amplifier
Because the ADC noise may be too low to measure the noise of other instruments (anything below $5.6\,\mu V/\sqrt{\text{Hz}}$ cannot be distinguished from the noise of the ADC itself), a low noise instrumentation amplifier was employed. A Femto DLPVA-101-B-S amplifier with adjustable gains from 20dB up to 80dB was selected for this purpose.
The first step was to characterize the input27 noise of the amplifier. This was accomplished by short-circuiting its input with a $50\,\Omega$ resistor and measuring the output voltage with the ADC (Figure ref:fig:detail_instrumentation_femto_meas_setup). The maximum amplifier gain of 80dB (equivalent to 10000) was used for this measurement.
The measured voltage $n$ was then divided by 10000 to determine the equivalent noise at the input of the voltage amplifier $n_a$. In this configuration, the noise contribution from the ADC $q_{ad}$ is rendered negligible due to the high gain employed. The resulting amplifier noise amplitude spectral density $\Gamma_{n_a}$ and the (negligible) contribution of the ADC noise are presented in Figure ref:fig:detail_instrumentation_femto_input_noise.
\hfill
Digital to Analog Converters
Output Voltage Noise
To measure the output noise of the DAC, the setup schematically represented in Figure ref:fig:detail_instrumentation_dac_setup was used. The DAC was configured to output a constant voltage (zero in this case), and the gain of the pre-amplifier was adjusted such that the measured amplified noise was significantly larger than the noise of the ADC.
The Amplitude Spectral Density $\Gamma_{n_{da}}(\omega)$ of the measured signal was computed, and verification was performed to confirm that the contributions of ADC noise and amplifier noise were negligible in the measurement.
The resulting Amplitude Spectral Density of the DAC's output voltage is displayed in Figure ref:fig:detail_instrumentation_dac_output_noise. The noise profile is predominantly white with an ASD of $0.6\,\mu V/\sqrt{\text{Hz}}$. Minor $50\,\text{Hz}$ noise is present, along with some low frequency $1/f$ noise, but these are not expected to pose issues as they are well within specifications. It should be noted that all DAC channels demonstrated similar performance, so only one channel measurement is presented.

Delay from ADC to DAC
To measure the transfer function from DAC to ADC and verify that the bandwidth and latency of both instruments is sufficient, a direct connection was established between the DAC output and the ADC input. A white noise signal was generated by the DAC, and the ADC response was recorded.
The resulting frequency response function from the digital DAC signal to the digital ADC signal is presented in Figure ref:fig:detail_instrumentation_dac_adc_tf. The observed frequency response function corresponds to exactly one sample delay, which aligns with the specifications provided by the manufacturer.
Piezoelectric Voltage Amplifier
Output Voltage Noise
The measurement setup for evaluating the PD200 amplifier noise is illustrated in Figure ref:fig:detail_instrumentation_pd200_setup. The input of the PD200 amplifier was shunted with a $50\,\Ohm$ resistor to ensure that only the inherent noise of the amplifier itself was measured. The pre-amplifier gain was increased to produce a signal substantially larger than the noise floor of the ADC. Two piezoelectric stacks from the APA95ML were connected to the PD200 output to provide an appropriate load for the amplifier.

The Amplitude Spectral Density $\Gamma_{n}(\omega)$ of the signal measured by the ADC was computed. From this, the Amplitude Spectral Density of the output voltage noise of the PD200 amplifier $n_p$ was derived, accounting for the gain of the pre-amplifier according to eqref:eq:detail_instrumentation_amp_asd.
\begin{equation}\label{eq:detail_instrumentation_amp_asd} Γn_p(ω) = \frac{Γ_n(ω)}{|G_p(jω) G_a(jω)|}
\end{equation}
The computed Amplitude Spectral Density of the PD200 output noise is presented in Figure ref:fig:detail_instrumentation_pd200_noise. Verification was performed to confirm that the measured noise was predominantly from the PD200, with negligible contributions from the pre-amplifier noise or ADC noise. The measurements from all six amplifiers are displayed in this figure.
The noise spectrum of the PD200 amplifiers exhibits several sharp peaks. While the exact cause of these peaks is not fully understood, their amplitudes remain below the specified limits and should not adversely affect system performance.
Small Signal Bandwidth
The small signal dynamics of all six PD200 amplifiers were characterized through frequency response measurements.
A logarithmic sweep sine excitation voltage was generated using the Speedgoat DAC with an amplitude of $0.1\,V$, spanning frequencies from $1\,\text{Hz}$ to $5\,\text{kHz}$. The output voltage of the PD200 amplifier was measured via the monitor voltage output of the amplifier, while the input voltage (generated by the DAC) was measured with a separate ADC channel of the Speedgoat system. This measurement approach eliminates the influence of ADC-DAC-related time delays in the results.
All six amplifiers demonstrated consistent transfer function characteristics. The amplitude response remains constant across a wide frequency range, and the phase shift is limited to less than 1 degree up to 500Hz, well within the specified requirements.
The identified dynamics shown in Figure ref:fig:detail_instrumentation_pd200_tf can be accurately modeled as either a first-order low-pass filter or as a simple constant gain.
Linear Encoders
To measure the noise of the encoder, the head and ruler were rigidly fixed together to ensure that no relative motion would be detected. Under these conditions, any measured signal would correspond solely to the encoder noise.
The measurement setup is shown in Figure ref:fig:detail_instrumentation_vionic_bench. To minimize environmental disturbances, the entire bench was covered with a plastic bubble sheet during measurements.
The amplitude spectral density of the measured displacement (which represents the measurement noise) is presented in Figure ref:fig:detail_instrumentation_vionic_asd. The noise profile exhibits characteristics of white noise with an amplitude of approximately $1\,\text{nm RMS}$, which complies with the system requirements.
\hfill
Noise budgeting from measured instrumentation noise
After characterizing all instrumentation components individually, their combined effect on the sample's vibration was assessed using the multi-body model developed earlier. The vertical motion induced by the noise sources, specifically the ADC noise, DAC noise, and voltage amplifier noise, is presented in Figure ref:fig:detail_instrumentation_cl_noise_budget. The total motion induced by all noise sources combined is approximately $1.5\,\text{nm RMS}$, which remains well within the specified limit of $15\,\text{nm RMS}$. This confirms that the selected instrumentation, with its measured noise characteristics, is suitable for the intended application.
Conclusion
<<sec:detail_instrumentation_conclusion>>
This section has presented a comprehensive approach to the selection and characterization of instrumentation for the nano active stabilization system. The multi-body model created earlier served as a key tool for embedding instrumentation components and their associated noise sources within the system analysis. From the most stringent requirement (i.e. the specification on vertical sample motion limited to 15 nm RMS), detailed specifications for each noise source were methodically derived through dynamic error budgeting.
Based on these specifications, appropriate instrumentation components were selected for the system. The selection process revealed certain challenges, particularly with voltage amplifiers, where manufacturer datasheets often lacked crucial information needed for accurate noise budgeting, such as amplitude spectral densities under specific load conditions. Despite these challenges, suitable components were identified that theoretically met all requirements.
The selected instrumentation (including the IO131 ADC/DAC from Speedgoat, PD200 piezoelectric voltage amplifiers from PiezoDrive, and Vionic linear encoders from Renishaw) was procured and thoroughly characterized. Initial measurements of the ADC system revealed an issue with force sensor readout related to input bias current, which was successfully addressed by adding a parallel resistor to optimize the measurement circuit.
All components were found to meet or exceed their respective specifications. The ADC demonstrated noise levels of $5.6\,\mu V/\sqrt{\text{Hz}}$ (versus the $11\,\mu V/\sqrt{\text{Hz}}$ specification), the DAC showed $0.6\,\mu V/\sqrt{\text{Hz}}$ (versus $14\,\mu V/\sqrt{\text{Hz}}$ required), the voltage amplifiers exhibited noise well below the $280\,\mu V/\sqrt{\text{Hz}}$ limit, and the encoders achieved $1\,\text{nm RMS}$ noise (versus the $6\,\text{nm RMS}$ specification).
Finally, the measured noise characteristics of all instrumentation components were included into the multi-body model to predict the actual system performance. The combined effect of all noise sources was estimated to induce vertical sample vibrations of only $1.5\,\text{nm RMS}$, which is substantially below the $15\,\text{nm RMS}$ requirement. This rigorous methodology spanning requirement formulation, component selection, and experimental characterization validates the instrumentation's ability to fulfill the nano active stabilization system's demanding performance specifications.
Obtained Design
<<sec:detail_design>>
Introduction
The detailed mechanical design of the active platform, depicted in Figure ref:fig:detail_design_nano_hexapod_elements, is presented in this section. Several primary objectives guided the mechanical design. First, to ensure a well-defined Jacobian matrix used in the control architecture, accurate positioning of the top flexible joint rotation points and correct orientation of the struts were required. Secondly, space constraints necessitated that the entire platform fit within a cylinder with a radius of $120\,\text{mm}$ and a height of $95\,\text{mm}$. Thirdly, because performance predicted by the multi-body model was fulfilling the requirements, the final design was intended to approximate the behavior of this "idealized" active platform as closely as possible. This objective implies that the frequencies of (un-modelled) flexible modes potentially detrimental to control performance needed to be maximized. Finally, considerations for ease of mounting, alignment, and maintenance were incorporated, specifically ensuring that struts could be easily replaced in the event of failure.
Mechanical Design
<<sec:detail_design_mechanics>>
Struts
The strut design, illustrated in Figure ref:fig:detail_design_strut, was driven by several factors. Stiff interfaces were required between the amplified piezoelectric actuator and the two flexible joints, as well as between the flexible joints and their respective mounting plates. Due to the limited angular stroke of the flexible joints, it was critical that the struts could be assembled such that the two cylindrical interfaces were coaxial while the flexible joints remained in their unstressed, nominal rest position. To facilitate this alignment, cylindrical washers (Figure ref:fig:detail_design_strut_without_enc) were integrated into the design to compensate for potential deviations from perfect flatness between the two APA interface planes (Figure ref:fig:detail_design_apa). Furthermore, a dedicated mounting bench was developed to enable precise alignment of each strut, even when accounting for typical machining inaccuracies. The mounting procedure is described in Section ref:sec:test_struts_mounting. Lastly, the design needed to permit the fixation of an encoder parallel to the strut axis, as shown in Figure ref:fig:detail_design_strut_with_enc.
The flexible joints, shown in Figure ref:fig:detail_design_flexible_joint, were manufactured using wire-cut electrical discharge machining (EDM). First, the part's inherent fragility, stemming from its $0.25\,\text{mm}$ neck dimension, makes it susceptible to damage from cutting forces typical in classical machining. Furthermore, wire-cut EDM allows for the very tight machining tolerances critical for achieving accurate location of the center of rotation relative to the plate interfaces (indicated by red surfaces in Figure ref:fig:detail_design_flexible_joint) and for maintaining the correct neck dimensions necessary for the desired stiffness and angular stroke properties. The material chosen for the flexible joints is a stainless steel designated X5CrNiCuNb16-4 (alternatively known as F16Ph). This selection was based on its high specified yield strength (exceeding $1\,\text{GPa}$ after appropriate heat treatment) and its high fatigue resistance.
As shown in Figure ref:fig:detail_design_flexible_joint, the interface designed to connect with the APA possesses a cylindrical shape, facilitating the use of the aforementioned cylindrical washers for alignment. A slotted hole was incorporated to permit alignment of the flexible joint with the APA via a dowel pin. Additionally, two threaded holes were included on the sides for mounting the encoder components. The interface connecting the flexible joint to the platform plates will be described subsequently.
Modifications to the standard mechanical interfaces of the APA300ML were requested from the manufacturer. The modified design features two planar surfaces and a dowel hole for precise location and orientation, as illustrated in Figure ref:fig:detail_design_apa.
Accurate measurement of the relative displacement within each strut requires the encoders to sense the motion between the rotational centers of the two associated flexible joints. To achieve this, two interface parts, fabricated from aluminum, were designed. These parts serve to fix the encoder head and the associated scale (ruler) to the two flexible joints, as depicted in Figure ref:fig:detail_design_strut_with_enc.
Plates
The design of the top and bottom plates of the active platform was governed by two main requirements: maximizing the frequency of flexible modes and ensuring accurate positioning of the top flexible joints and well-defined orientation of the struts. To maximize the natural frequencies associated with plate flexibility, a network of reinforcing ribs was incorporated into the design, as shown for the top plate in Figure ref:fig:detail_design_top_plate. Although topology optimization methods were considered, the implemented ribbed design was found to provide sufficiently high natural frequencies for the flexible modes.
The interfaces for the joints on the plates incorporate V-grooves (red planes in Figure ref:fig:detail_design_top_plate). The cylindrical portion of each flexible joint is constrained within its corresponding V-groove through two distinct line contacts, illustrated in Figure ref:fig:detail_design_fixation_flexible_joints. These grooves consequently serve to define the nominal orientation of the struts. High machining accuracy for these features is essential to ensure that the flexible joints are in their neutral, unstressed state when the active platform is assembled.
Furthermore, the flat interface surface of each top flexible joint is designed to be in direct contact with the top platform surface, as shown in Figure ref:fig:detail_design_location_top_flexible_joints. This contact ensures that the centers of rotation of the top flexible joints, are precisely located relative to the top platform coordinate system. The bottom flexible joints, however, are primarily oriented by the V-grooves without the same precise positional constraint against the bottom plate, as shown in Figure ref:fig:detail_design_location_bot_flex.
Both plates were specified to be manufactured from a martensitic stainless steel, X30Cr13. This material was selected primarily for its high hardness, which minimizes the risk of deformation of the reference surfaces during the clamping of the flexible joints. This characteristic is expected to permit repeated assembly and disassembly of the struts, should maintenance or reconfiguration be necessary.
Finite Element Analysis
A finite element analysis (FEA) of the complete active platform assembly was performed to identify modes that could potentially affect performance. The analysis revealed that the first six modes correspond to "suspension" modes, where the top plate effectively moves as a rigid body, and motion primarily involves axial displacement of the six struts (an example is shown in Figure ref:fig:detail_design_fem_rigid_body_mode). Following these suspension modes, numerous "local" modes associated with the struts themselves were observed in the frequency range between $205\,\text{Hz}$ and $420\,\text{Hz}$. One such mode is represented in Figure ref:fig:detail_design_fem_strut_mode. Although these modes do not appear to induce significant motion of the top platform, they do cause relative displacement between the encoder components (head and scale) mounted on the strut. Consequently, such modes could potentially degrade control performance if the active platform's position is regulated using these encoder measurements. The extent to which these modes might be detrimental is difficult to establish at this stage, as it depends on whether they are significantly excited by the APA actuation and their sensitivity to strut alignment. Finally, the FEA indicated that flexible modes of the top plate itself begin to appear at frequencies above $650\,\text{Hz}$, with the first such mode shown in Figure ref:fig:detail_design_fem_plate_mode.
Alternative Encoder Placement
In anticipation of potential issues arising from the local modes of the struts affecting encoder measurements, an alternative fixation strategy for the encoders was designed. In this configuration, the encoders are fixed directly to the top and bottom plates instead of the struts, as illustrated in Figure ref:fig:detail_design_enc_plates_design.
Dedicated supports, machined from aluminum, were designed for this purpose. It was verified through FEA that the natural modes of these supports occur at frequencies sufficiently high (first mode estimated at $1120\,\text{Hz}$) to not be problematic for control. Precise positioning of these encoder supports is achieved through machined pockets in both the top and bottom plates, visible in Figure ref:fig:detail_design_top_plate (indicated in green). Although the encoders in this arrangement are aligned parallel to the nominal strut axes, they no longer measure the exact relative displacement along the strut between the flexible joint centers. This geometric discrepancy implies that if the relative motion control of the active platform is based directly on these encoder readings, the kinematic calculations may be slightly inaccurate, potentially affecting the overall positioning accuracy of the platform.
Multi-Body Model
<<sec:detail_design_model>>
Introduction
Prior to the procurement of mechanical components, the multi-body simulation model of the active platform was refined to incorporate the finalized design geometries. Two distinct configurations, corresponding to the two encoder mounting strategies discussed previously, were considered in the model, as displayed in Figure ref:fig:detail_design_simscape: one with encoders fixed to the struts, and another with encoders fixed to the plates. In these models, the top and bottom plates were represented as rigid bodies, with their inertial properties calculated directly from the 3D CAD geometry.
Flexible Joints
Several levels of detail were considered for modeling the flexible joints within the multi-body model. Models with two degrees of freedom incorporating only bending stiffnesses, models with three degrees of freedom adding torsional stiffness, and models with four degrees of freedom further adding axial stiffness were evaluated. The multi-body representation corresponding to the 4DoF configuration is shown in Figure ref:fig:detail_design_simscape_model_flexible_joint. This model is composed of three distinct solid bodies interconnected by joints, whose stiffness properties were derived from finite element analysis of the joint component.
Amplified Piezoelectric Actuators
The amplified piezoelectric actuators (APAs) were incorporated into the multi-body model following the methodology detailed in Section ref:sec:detail_fem_actuator. Two distinct representations of the APA can be utilized within the simulation: a simplified 2DoF model capturing the axial behavior, or a more complex "Reduced Order Flexible Body" model derived from a finite element model.
Encoders
In earlier modeling stages, the relative displacement sensors (encoders) were implemented as a direct measurement of the relative distance between the joint connection points $\bm{a}_i$ and $\bm{b}_i$. However, as indicated by the FEA results discussed previously, the flexible modes inherent to the struts could potentially affect the encoder measurement. Therefore, a more sophisticated model of the optical encoder was necessary.
The optical encoders operate based on the interaction between an encoder head and a graduated scale or ruler. The optical encoder head contains a light source that illuminates the ruler. A reference frame $\{E\}$ fixed to the scale, represents the the light position on the scale, as illustrated in Figure ref:fig:detail_design_simscape_encoder_model. The ruler features a precise grating pattern (in this case, with a $20\,\mu m$ pitch), and its position is associated with the reference frame $\{R\}$. The displacement measured by the encoder corresponds to the relative position of the encoder frame $\{E\}$ (specifically, the point where the light interacts with the scale) with respect to the ruler frame $\{R\}$, projected along the measurement direction defined by the scale.
An important consequence of this measurement principle is that a relative rotation between the encoder head and the ruler, as depicted conceptually in Figure ref:fig:detail_design_simscape_encoder_disp, can induce a measured displacement.
Validation of the designed active platform
The refined multi-body model of the active platform was integrated into the multi-body micro-station model. Dynamical analysis was performed, confirming that the platform's behavior closely approximates the dynamics of the "idealized" model used during the conceptual design phase. Consequently, closed-loop performance simulations replicating tomography experiments yielded metrics highly comparable to those previously predicted (as presented in Section ref:ssec:nass_hac_tomography). Given this similarity and because analogous simulations are conducted and detailed during the experimental validation phase (Section ref:sec:test_id31_hac), these specific results are not reiterated here.
Detailed Design - Conclusion
<<sec:detail_conclusion>>
In this chapter, a comprehensive approach to the detailed design of the nano-hexapod for the Nano Active Stabilization System has been presented. The design process was structured around four key aspects: geometry optimization, component design, control strategy refinement, and instrumentation selection.
The geometry optimization began with a review of existing Stewart platform designs, followed by analytical modeling of the relationship between geometric parameters and performance characteristics. While cubic architectures are prevalent in the literature due to their purported advantages in decoupling and uniform stiffness, the analysis revealed that these benefits are more nuanced than commonly described. For the nano-hexapod application, struts were oriented more vertically than in a cubic configuration to address the stringent vertical performance requirements and to better match the micro-station's modal characteristics.
For component optimization, a hybrid modeling methodology was used that combined finite element analysis with multi-body dynamics. This approach, validated experimentally using an Amplified Piezoelectric Actuator, enabled both detailed component-level optimization and efficient system-level simulation. Through this methodology, the APA300ML was selected as the optimal actuator, offering the necessary combination of stroke, stiffness, and force sensing capabilities required for the application. Similarly, the flexible joints were designed with careful consideration of bending and axial stiffness requirements, resulting in a design that balances competing mechanical demands.
For control optimization, three critical challenges were addressed. First, the problem of optimally combining multiple sensors was investigated and was focused on the design of complementary filters for sensor fusion. A $\mathcal{H}_{\infty}\text{-synthesis}$ technique was formulated for designing complementary filters with precisely shaped magnitude responses. Second, various decoupling strategies for parallel manipulators were compared, filling a notable gap in current literature. Among the evaluated techniques (decentralized control, Jacobian decoupling, modal decoupling, and SVD decoupling), Jacobian decoupling was identified as the most suitable for the NASS due to its simplicity and ability to maintain physical interpretation of the decoupled plant's inputs and outputs. Third, a novel control architecture was developed that leverages complementary filters for direct shaping of closed-loop transfer functions. This framework, which will be validated during the experimental phase, offers an intuitive alternative to traditional methods by allowing designers to directly specify desired closed-loop characteristics in a simple and intuitive way.
The instrumentation selection was guided by dynamic error budgeting, which established maximum acceptable noise specifications for each component. The selected components—including the IO131 ADC/DAC board, PD200 voltage amplifiers, and Vionic linear encoders—were then experimentally characterized to verify their performance. All components were found to meet or exceed their specifications, with the combined effect of all noise sources estimated to induce vertical sample vibrations of only $1.5\,\text{nm RMS}$, well below the $15\,\text{nm RMS}$ requirement.
The outcome of this detailed design process is a nano-hexapod and associated instrumentation specifically tailored to the NASS applications. Following the completion of this design phase and the subsequent procurement of all specified components, the project progressed to the experimental validation stage, which forms the focus of the next chapter.
Experimental Validation
<<chap:test>> minitoc
Abstract
The experimental validation follows a systematic approach, beginning with the characterization of individual components before advancing to evaluate the assembled system's performance (illustrated in Figure ref:fig:chapter3_overview). Section ref:sec:test_apa focuses on the Amplified Piezoelectric Actuator (APA300ML), examining its electrical properties, and dynamical behavior. Two models are developed and validated: a simplified two degrees-of-freedom model and a more complex super-element extracted from finite element analysis. The implementation of Integral Force Feedback is also experimentally evaluated to assess its effectiveness in adding damping to the system.
In Section ref:sec:test_joints, the flexible joints are characterized to ensure they meet the required specifications for stiffness and stroke. A dedicated test bench is developed to measure the bending stiffness, with error analysis performed to validate the measurement accuracy.
Section ref:sec:test_struts examines the assembly and testing of the struts, which integrate the APAs and flexible joints. The mounting procedure is detailed, with particular attention to ensure consistent performance across multiple struts. Dynamical measurements are performed to verify whether the dynamics of the struts are corresponding to the multi-body model.
The assembly and testing of the complete nano-hexapod is presented in Section ref:sec:test_nhexa. A suspended table is developed to isolate the hexapod's dynamics from support dynamics, enabling accurate identification of its dynamical properties. The experimental frequency response functions are compared with the multi-body model predictions to validate the modeling approach. The effects of various payload masses are also investigated.
Finally, Section ref:sec:test_id31 presents the validation of the NASS on the ID31 beamline. A short-stroke metrology system is developed to measure the sample position relative to the granite base. The HAC-LAC control architecture is implemented and tested under various experimental conditions, including payload masses up to $39\,\text{kg}$ and for typical experiments, including tomography scans, reflectivity measurements, and diffraction tomography.
Amplified Piezoelectric Actuator
<<sec:test_apa>>
Introduction
In this chapter, the goal is to ensure that the received APA300ML (shown in Figure ref:fig:test_apa_received) are complying with the requirements and that the dynamical models of the actuator accurately represent its dynamics.
In section ref:sec:test_apa_basic_meas, the mechanical tolerances of the APA300ML interfaces are checked together with the electrical properties of the piezoelectric stacks and the achievable stroke. The flexible modes of the APA300ML, which were estimated using a finite element model, are compared with measurements.
Using a dedicated test bench, dynamical measurements are performed (Section ref:sec:test_apa_dynamics). The dynamics from the generated DAC voltage (going through the voltage amplifier and then to two actuator stacks) to the induced axial displacement and to the measured voltage across the force sensor stack are estimated. Integral Force Feedback is experimentally applied, and the damped plants are estimated for several feedback gains.
Two different models of the APA300ML are presented. First, in Section ref:sec:test_apa_model_2dof, a two degrees-of-freedom model is presented, tuned, and compared with the measured dynamics. This model is proven to accurately represent the APA300ML's axial dynamics while having low complexity.
Then, in Section ref:sec:test_apa_model_flexible, a super element of the APA300ML is extracted using a finite element model and imported into the multi-body model. This more complex model also captures well capture the axial dynamics of the APA300ML.

First Basic Measurements
<<sec:test_apa_basic_meas>>
Introduction
Before measuring the dynamical characteristics of the APA300ML, simple measurements are performed. First, the tolerances (especially flatness) of the mechanical interfaces are checked in Section ref:ssec:test_apa_geometrical_measurements. Then, the capacitance of the piezoelectric stacks is measured in Section ref:ssec:test_apa_electrical_measurements. The achievable stroke of the APA300ML is measured using a displacement probe in Section ref:ssec:test_apa_stroke_measurements. Finally, in Section ref:ssec:test_apa_spurious_resonances, the flexible modes of the APA are measured and compared with a finite element model.
Geometrical Measurements
<<ssec:test_apa_geometrical_measurements>>
To measure the flatness of the two mechanical interfaces of the APA300ML, a small measurement bench is installed on top of a metrology granite with excellent flatness. As shown in Figure ref:fig:test_apa_flatness_setup, the APA is fixed to a clamp while a measuring probe28 is used to measure the height of four points on each of the APA300ML interfaces. From the X-Y-Z coordinates of the measured eight points, the flatness is estimated by best fitting29 a plane through all the points. The measured flatness values, summarized in Table ref:tab:test_apa_flatness_meas, are within the specifications.
\hfill
| Flatness $[\mu m]$ | |
|---|---|
| APA 1 | 8.9 |
| APA 2 | 3.1 |
| APA 3 | 9.1 |
| APA 4 | 3.0 |
| APA 5 | 1.9 |
| APA 6 | 7.1 |
| APA 7 | 18.7 |
Electrical Measurements
<<ssec:test_apa_electrical_measurements>>
From the documentation of the APA300ML, the total capacitance of the three stacks should be between $18\,\mu F$ and $26\,\mu F$ with a nominal capacitance of $20\,\mu F$.
The capacitance of the APA300ML piezoelectric stacks was measured with the LCR meter30 shown in Figure ref:fig:test_apa_lcr_meter. The two stacks used as the actuator and the stack used as the force sensor were measured separately. The measured capacitance values are summarized in Table ref:tab:test_apa_capacitance and the average capacitance of one stack is $\approx 5 \mu F$. However, the measured capacitance of the stacks of "APA 3" is only half of the expected capacitance. This may indicate a manufacturing defect.
The measured capacitance is found to be lower than the specified value. This may be because the manufacturer measures the capacitance with large signals ($-20\,V$ to $150\,V$), whereas it was here measured with small signals cite:&wehrsdorfer95_large_signal_measur_piezoel_stack.
\hfill
| Sensor Stack | Actuator Stacks | |
|---|---|---|
| APA 1 | 5.10 | 10.03 |
| APA 2 | 4.99 | 9.85 |
| APA 3 | 1.72 | 5.18 |
| APA 4 | 4.94 | 9.82 |
| APA 5 | 4.90 | 9.66 |
| APA 6 | 4.99 | 9.91 |
| APA 7 | 4.85 | 9.85 |
Stroke and Hysteresis Measurement
<<ssec:test_apa_stroke_measurements>>
To compare the stroke of the APA300ML with the datasheet specifications, one side of the APA is fixed to the granite, and a displacement probe31 is located on the other side as shown in Figure ref:fig:test_apa_stroke_bench.
The voltage across the two actuator stacks is varied from $-20\,V$ to $150\,V$ using a DAC32 and a voltage amplifier33. Note that the voltage is slowly varied as the displacement probe has a very low measurement bandwidth (see Figure ref:fig:test_apa_stroke_voltage).
The measured APA displacement is shown as a function of the applied voltage in Figure ref:fig:test_apa_stroke_hysteresis. Typical hysteresis curves for piezoelectric stack actuators can be observed. The measured stroke is approximately $250\,\mu m$ when using only two of the three stacks. This is even above what is specified as the nominal stroke in the data-sheet ($304\,\mu m$, therefore $\approx 200\,\mu m$ if only two stacks are used). For the NASS, this stroke is sufficient because the positioning errors to be corrected using the nano-hexapod are expected to be in the order of $10\,\mu m$.
It is clear from Figure ref:fig:test_apa_stroke_hysteresis that "APA 3" has an issue compared with the other units. This confirms the abnormal electrical measurements made in Section ref:ssec:test_apa_electrical_measurements. This unit was sent sent back to Cedrat, and a new one was shipped back. From now on, only the six remaining amplified piezoelectric actuators that behave as expected will be used.
Flexible Mode Measurement
<<ssec:test_apa_spurious_resonances>>
In this section, the flexible modes of the APA300ML are investigated both experimentally and using a Finite Element Model. To experimentally estimate these modes, the APA is fixed at one end (see Figure ref:fig:test_apa_meas_setup_modes). A Laser Doppler Vibrometer34 is used to measure the difference of motion between two "red" points and an instrumented hammer35 is used to excite the flexible modes. Using this setup, the transfer function from the injected force to the measured rotation can be computed under different conditions, and the frequency and mode shapes of the flexible modes can be estimated.
The flexible modes for the same condition (i.e. one mechanical interface of the APA300ML fixed) are estimated using a finite element software, and the results are shown in Figure ref:fig:test_apa_mode_shapes.
The measured frequency response functions computed from the experimental setups of figures ref:fig:test_apa_meas_setup_X_bending and ref:fig:test_apa_meas_setup_Y_bending are shown in Figure ref:fig:test_apa_meas_freq_compare. The $y$ bending mode is observed at $280\,\text{Hz}$ and the $x$ bending mode is at $412\,\text{Hz}$. These modes are measured at higher frequencies than the frequencies estimated from the Finite Element Model (see frequencies in Figure ref:fig:test_apa_mode_shapes). This is the opposite of what is usually observed (i.e. having lower resonance frequencies in practice than the estimation from a finite element model). This could be explained by underestimation of the Young's modulus of the steel used for the shell (190 GPa was used for the model, but steel with Young's modulus of 210 GPa could have been used). Another explanation is the shape difference between the manufactured APA300ML and the 3D model, for instance thicker blades.
Dynamical measurements
<<sec:test_apa_dynamics>>
Introduction
After the measurements on the APA were performed in Section ref:sec:test_apa_basic_meas, a new test bench was used to better characterize the dynamics of the APA300ML. This test bench, depicted in Figure ref:fig:test_bench_apa, comprises the APA300ML fixed at one end to a stationary granite block and at the other end to a 5kg granite block that is vertically guided by an air bearing. Thus, there is no friction when actuating the APA300ML, and it will be easier to characterize its behavior independently of other factors. An encoder36 is used to measure the relative movement between the two granite blocks, thereby measuring the axial displacement of the APA.
The bench is schematically shown in Figure ref:fig:test_apa_schematic with the associated signals. It will be first used to estimate the hysteresis from the piezoelectric stack (Section ref:ssec:test_apa_hysteresis) as well as the axial stiffness of the APA300ML (Section ref:ssec:test_apa_stiffness). The frequency response functions from the DAC voltage $u$ to the displacement $d_e$ and to the voltage $V_s$ are measured in Section ref:ssec:test_apa_meas_dynamics. The presence of a non-minimum phase zero found on the transfer function from $u$ to $V_s$ is investigated in Section ref:ssec:test_apa_non_minimum_phase. To limit the low-frequency gain of the transfer function from $u$ to $V_s$, a resistor is added across the force sensor stack (Section ref:ssec:test_apa_resistance_sensor_stack). Finally, the Integral Force Feedback is implemented, and the amount of damping added is experimentally estimated in Section ref:ssec:test_apa_iff_locus.
Hysteresis
<<ssec:test_apa_hysteresis>>
Because the payload is vertically guided without friction, the hysteresis of the APA can be estimated from the motion of the payload. A quasi static37 sinusoidal excitation $V_a$ with an offset of $65\,V$ (halfway between $-20\,V$ and $150\,V$) and with an amplitude varying from $4\,V$ up to $80\,V$ is generated using the DAC. For each excitation amplitude, the vertical displacement $d_e$ of the mass is measured and displayed as a function of the applied voltage in Figure ref:fig:test_apa_meas_hysteresis. This is the typical behavior expected from a PZT stack actuator, where the hysteresis increases as a function of the applied voltage amplitude cite:&fleming14_desig_model_contr_nanop_system chap. 1.4.
Axial stiffness
<<ssec:test_apa_stiffness>>
To estimate the stiffness of the APA, a weight with known mass $m_a = 6.4\,\text{kg}$ is added on top of the suspended granite and the deflection $\Delta d_e$ is measured using the encoder. The APA stiffness can then be estimated from equation eqref:eq:test_apa_stiffness, with $g \approx 9.8\,m/s^2$ the acceleration of gravity.
\begin{equation} \label{eq:test_apa_stiffness} k_{\text{apa}} = \frac{m_a g}{Δ d_e}
\end{equation}
The measured displacement $d_e$ as a function of time is shown in Figure ref:fig:test_apa_meas_stiffness_time. It can be seen that there are some drifts in the measured displacement (probably due to piezoelectric creep), and that the displacement does not return to the initial position after the mass is removed (probably due to piezoelectric hysteresis). These two effects induce some uncertainties in the measured stiffness.
The stiffnesses are computed for all APAs from the two displacements $d_1$ and $d_2$ (see Figure ref:fig:test_apa_meas_stiffness_time) leading to two stiffness estimations $k_1$ and $k_2$. These estimated stiffnesses are summarized in Table ref:tab:test_apa_measured_stiffnesses and are found to be close to the specified nominal stiffness of the APA300ML $k = 1.8\,N/\mu m$.
\hfill
| APA | $k_1$ | $k_2$ |
|---|---|---|
| 1 | 1.68 | 1.9 |
| 2 | 1.69 | 1.9 |
| 4 | 1.7 | 1.91 |
| 5 | 1.7 | 1.93 |
| 6 | 1.7 | 1.92 |
| 8 | 1.73 | 1.98 |
The stiffness can also be computed using equation eqref:eq:test_apa_res_freq by knowing the main vertical resonance frequency $\omega_z \approx 95\,\text{Hz}$ (estimated by the dynamical measurements shown in section ref:ssec:test_apa_meas_dynamics) and the suspended mass $m_{\text{sus}} = 5.7\,\text{kg}$.
\begin{equation} \label{eq:test_apa_res_freq} ω_z = \sqrt{\frac{k}{m_{\text{sus}}}}
\end{equation}
The obtained stiffness is $k \approx 2\,N/\mu m$ which is close to the values found in the documentation and using the "static deflection" method.
It is important to note that changes to the electrical impedance connected to the piezoelectric stacks affect the mechanical compliance (or stiffness) of the piezoelectric stack cite:&reza06_piezoel_trans_vibrat_contr_dampin chap. 2.
To estimate this effect for the APA300ML, its stiffness is estimated using the "static deflection" method in two cases:
- $k_{\text{os}}$: piezoelectric stacks left unconnected (or connect to the high impedance ADC)
- $k_{\text{sc}}$: piezoelectric stacks short-circuited (or connected to the voltage amplifier with small output impedance)
The open-circuit stiffness is estimated at $k_{\text{oc}} \approx 2.3\,N/\mu m$ while the closed-circuit stiffness $k_{\text{sc}} \approx 1.7\,N/\mu m$.
Dynamics
<<ssec:test_apa_meas_dynamics>>
In this section, the dynamics from the excitation voltage $u$ to the encoder measured displacement $d_e$ and to the force sensor voltage $V_s$ is identified.
First, the dynamics from $u$ to $d_e$ for the six APA300ML are compared in Figure ref:fig:test_apa_frf_encoder. The obtained frequency response functions are similar to those of a (second order) mass-spring-damper system with:
- A "stiffness line" indicating a static gain equal to $\approx -17\,\mu m/V$. The negative sign comes from the fact that an increase in voltage stretches the piezoelectric stack which reduces the height of the APA
- A lightly damped resonance at $95\,\text{Hz}$
- A "mass line" up to $\approx 800\,\text{Hz}$, above which additional resonances appear. These additional resonances might be due to the limited stiffness of the encoder support or from the limited compliance of the APA support. The flexible modes studied in section ref:ssec:test_apa_spurious_resonances seem not to impact the measured axial motion of the actuator.
The dynamics from $u$ to the measured voltage across the sensor stack $V_s$ for the six APA300ML are compared in Figure ref:fig:test_apa_frf_force.
A lightly damped resonance (pole) is observed at $95\,\text{Hz}$ and a lightly damped anti-resonance (zero) at $41\,\text{Hz}$. No additional resonances are present up to at least $2\,\text{kHz}$ indicating that Integral Force Feedback can be applied without stability issues from high-frequency flexible modes. The zero at $41\,\text{Hz}$ seems to be non-minimum phase (the phase decreases by 180 degrees whereas it should have increased by 180 degrees for a minimum phase zero). This is investigated in Section ref:ssec:test_apa_non_minimum_phase.
As illustrated by the Root Locus plot, the poles of the closed-loop system converges to the zeros of the open-loop plant as the feedback gain increases. The significance of this behavior varies with the type of sensor used, as explained in cite:&preumont18_vibrat_contr_activ_struc_fourt_edition chap. 7.6. Considering the transfer function from $u$ to $V_s$, if a controller with a very high gain is applied such that the sensor stack voltage $V_s$ is kept at zero, the sensor (and by extension, the actuator stacks since they are in series) experiences negligible stress and strain. Consequently, the closed-loop system virtually corresponds to one in which the piezoelectric stacks are absent, leaving only the mechanical shell. From this analysis, it can be inferred that the axial stiffness of the shell is $k_{\text{shell}} = m \omega_0^2 = 5.7 \cdot (2\pi \cdot 41)^2 = 0.38\,N/\mu m$ (which is close to what is found using a finite element model).
All the identified dynamics of the six APA300ML (both when looking at the encoder in Figure ref:fig:test_apa_frf_encoder and at the force sensor in Figure ref:fig:test_apa_frf_force) are almost identical, indicating good manufacturing repeatability for the piezoelectric stacks and the mechanical shell.
Non Minimum Phase Zero?
<<ssec:test_apa_non_minimum_phase>>
It was surprising to observe a non-minimum phase zero on the transfer function from $u$ to $V_s$ (Figure ref:fig:test_apa_frf_force). It was initially thought that this non-minimum phase behavior was an artifact arising from the measurement. A longer measurement was performed using different excitation signals (noise, slow sine sweep, etc.) to determine if the phase behavior of the zero changes (Figure ref:fig:test_apa_non_minimum_phase). The coherence (Figure ref:fig:test_apa_non_minimum_phase_coherence) is good even in the vicinity of the lightly damped zero, and the phase (Figure ref:fig:test_apa_non_minimum_phase_zoom) clearly indicates non-minimum phase behavior.
Such non-minimum phase zero when using load cells has also been observed on other mechanical systems cite:&spanos95_soft_activ_vibrat_isolat;&thayer02_six_axis_vibrat_isolat_system;&hauge04_sensor_contr_space_based_six. It could be induced to small non-linearity in the system, but the reason for this non-minimum phase for the APA300ML is not yet clear.
However, this is not so important here because the zero is lightly damped (i.e. very close to the imaginary axis), and the closed loop poles (see the Root Locus plot in Figure ref:fig:test_apa_iff_root_locus) should not be unstable, except for very large controller gains that will never be applied in practice.
Effect of the resistor on the IFF Plant
<<ssec:test_apa_resistance_sensor_stack>>
A resistor $R \approx 80.6\,k\Omega$ is added in parallel with the sensor stack, which forms a high-pass filter with the capacitance of the piezoelectric stack (capacitance estimated at $\approx 5\,\mu F$).
As explained before, this is done to limit the voltage offset due to the input bias current of the ADC as well as to limit the low frequency gain.
The (low frequency) transfer function from $u$ to $V_s$ with and without this resistor were measured and compared in Figure ref:fig:test_apa_effect_resistance. It is confirmed that the added resistor has the effect of adding a high-pass filter with a cut-off frequency of $\approx 0.39\,\text{Hz}$.
Integral Force Feedback
<<ssec:test_apa_iff_locus>>
To implement the Integral Force Feedback strategy, the measured frequency response function from $u$ to $V_s$ (Figure ref:fig:test_apa_frf_force) is fitted using the transfer function shown in equation eqref:eq:test_apa_iff_manual_fit. The parameters were manually tuned, and the obtained values are $\omega_{\textsc{hpf}} = 0.4\, \text{Hz}$, $\omega_{z} = 42.7\, \text{Hz}$, $\xi_{z} = 0.4\,\%$, $\omega_{p} = 95.2\, \text{Hz}$, $\xi_{p} = 2\,\%$ and $g_0 = 0.64$.
\begin{equation} \label{eq:test_apa_iff_manual_fit} G_{\textsc{iff},m}(s) = g_0 ⋅ \frac{1 + 2 ξ_z \frac{s}{ω_z} + \frac{s^2}{ω_z^2}}{1 + 2 ξ_p \frac{s}{ω_p} + \frac{s^2}{ω_p^2}} ⋅ \frac{s}{ω_{\textsc{hpf}} + s}
\end{equation}
A comparison between the identified plant and the manually tuned transfer function is shown in Figure ref:fig:test_apa_iff_plant_comp_manual_fit.
The implemented Integral Force Feedback Controller transfer function is shown in equation eqref:eq:test_apa_Kiff_formula. It contains a high-pass filter (cut-off frequency of $2\,\text{Hz}$) to limit the low-frequency gain, a low-pass filter to add integral action above $20\,\text{Hz}$, a second low-pass filter to add robustness to high-frequency resonances, and a tunable gain $g$.
\begin{equation} \label{eq:test_apa_Kiff_formula} K_{\textsc{iff}}(s) = -10 ⋅ g ⋅ \frac{s}{s + 2π ⋅ 2} ⋅ \frac{1}{s + 2π ⋅ 20} ⋅ \frac{1}{s + 2π⋅ 2000}
\end{equation}
To estimate how the dynamics of the APA changes when the Integral Force Feedback controller is implemented, the test bench shown in Figure ref:fig:test_apa_iff_schematic is used. The transfer function from the "damped" plant input $u\prime$ to the encoder displacement $d_e$ is identified for several IFF controller gains $g$.

The identified dynamics were then fitted by second order transfer functions38. A comparison between the identified damped dynamics and the fitted second-order transfer functions is shown in Figure ref:fig:test_apa_identified_damped_plants for different gains $g$. It is clear that a large amount of damping is added when the gain is increased and that the frequency of the pole is shifted to lower frequencies.
The evolution of the pole in the complex plane as a function of the controller gain $g$ (i.e. the "root locus") is computed in two cases. First using the IFF plant model eqref:eq:test_apa_iff_manual_fit and the implemented controller eqref:eq:test_apa_Kiff_formula. Second using the fitted transfer functions of the damped plants experimentally identified for several controller gains. The two obtained root loci are compared in Figure ref:fig:test_apa_iff_root_locus and are in good agreement considering that the damped plants were fitted using only a second-order transfer function.
APA300ML - 2 degrees-of-freedom Model
<<sec:test_apa_model_2dof>>
Introduction
In this section, a multi-body model (Figure ref:fig:test_apa_bench_model) of the measurement bench is used to tune the two degrees-of-freedom model of the APA using the measured frequency response functions.
This two degrees-of-freedom model is developed to accurately represent the APA300ML dynamics while having low complexity and a low number of associated states. After the model is presented, the procedure for tuning the model is described, and the obtained model dynamics is compared with the measurements.
Two degrees-of-freedom APA Model
The model of the amplified piezoelectric actuator is shown in Figure ref:fig:test_apa_2dof_model. It can be decomposed into three components:
- the shell whose axial properties are represented by $k_1$ and $c_1$
- the actuator stacks whose contribution to the axial stiffness is represented by $k_a$ and $c_a$. The force source $f$ represents the axial force induced by the force sensor stacks. The sensitivity $g_a$ (in $N/m$) is used to convert the applied voltage $V_a$ to the axial force $f$
- the sensor stack whose contribution to the axial stiffness is represented by $k_e$ and $c_e$. A sensor measures the stack strain $d_e$ which is then converted to a voltage $V_s$ using a sensitivity $g_s$ (in $V/m$)
Such a simple model has some limitations:
- it only represents the axial characteristics of the APA as it is modeled as infinitely rigid in the other directions
- some physical insights are lost, such as the amplification factor and the real stress and strain in the piezoelectric stacks
- the creep and hysteresis of the piezoelectric stacks are not modeled as the model is linear

Tuning of the APA model
9 parameters ($m$, $k_1$, $c_1$, $k_e$, $c_e$, $k_a$, $c_a$, $g_s$ and $g_a$) have to be tuned such that the dynamics of the model (Figure ref:fig:test_apa_2dof_model_simscape) well represents the identified dynamics in Section ref:sec:test_apa_dynamics.

First, the mass $m$ supported by the APA300ML can be estimated from the geometry and density of the different parts or by directly measuring it using a precise weighing scale. Both methods lead to an estimated mass of $m = 5.7\,\text{kg}$.
Then, the axial stiffness of the shell was estimated at $k_1 = 0.38\,N/\mu m$ in Section ref:ssec:test_apa_meas_dynamics from the frequency of the anti-resonance seen on Figure ref:fig:test_apa_frf_force. Similarly, $c_1$ can be estimated from the damping ratio of the same anti-resonance and is found to be close to $5\,Ns/m$.
Then, it is reasonable to assume that the sensor stacks and the two actuator stacks have identical mechanical characteristics39. Therefore, we have $k_e = 2 k_a$ and $c_e = 2 c_a$ as the actuator stack is composed of two stacks in series. In this case, the total stiffness of the APA model is described by eqref:eq:test_apa_2dof_stiffness.
\begin{equation}\label{eq:test_apa_2dof_stiffness} k_{\text{tot}} = k_1 + \frac{k_e k_a}{k_e + k_a} = k_1 + \frac{2}{3} k_a
\end{equation}
Knowing from eqref:eq:test_apa_tot_stiffness that the total stiffness is $k_{\text{tot}} = 2\,N/\mu m$, we get from eqref:eq:test_apa_2dof_stiffness that $k_a = 2.5\,N/\mu m$ and $k_e = 5\,N/\mu m$.
\begin{equation}\label{eq:test_apa_tot_stiffness} ω_0 = \frac{k_{\text{tot}}}{m} \Longrightarrow k_{\text{tot}} = m ω_0^2 = 2\,N/μ m \quad \text{with}\ m = 5.7\,\text{kg}\ \text{and}\ ω_0 = 2π ⋅ 95\, \text{rad}/s
\end{equation}
Then, $c_a$ (and therefore $c_e = 2 c_a$) can be tuned to match the damping ratio of the identified resonance. $c_a = 50\,Ns/m$ and $c_e = 100\,Ns/m$ are obtained.
In the last step, $g_s$ and $g_a$ can be tuned to match the gain of the identified transfer functions.
The obtained parameters of the model shown in Figure ref:fig:test_apa_2dof_model_simscape are summarized in Table ref:tab:test_apa_2dof_parameters.
| Parameter | Value |
|---|---|
| $m$ | $5.7\,\text{kg}$ |
| $k_1$ | $0.38\,N/\mu m$ |
| $k_e$ | $5.0\, N/\mu m$ |
| $k_a$ | $2.5\,N/\mu m$ |
| $c_1$ | $5\,Ns/m$ |
| $c_e$ | $100\,Ns/m$ |
| $c_a$ | $50\,Ns/m$ |
| $g_a$ | $-2.58\,N/V$ |
| $g_s$ | $0.46\,V/\mu m$ |
Obtained Dynamics
The dynamics of the two degrees-of-freedom model of the APA300ML are extracted using optimized parameters (listed in Table ref:tab:test_apa_2dof_parameters) from the multi-body model. This is compared with the experimental data in Figure ref:fig:test_apa_2dof_comp_frf. A good match can be observed between the model and the experimental data, both for the encoder (Figure ref:fig:test_apa_2dof_comp_frf_enc) and for the force sensor (Figure ref:fig:test_apa_2dof_comp_frf_force). This indicates that this model represents well the axial dynamics of the APA300ML.
APA300ML - Super Element
<<sec:test_apa_model_flexible>>
Introduction
In this section, a super element of the APA300ML is computed using a finite element software40.
It is then imported into multi-body (in the form of a stiffness matrix and a mass matrix) and included in the same model that was used in ref:sec:test_apa_model_2dof.
This procedure is illustrated in Figure ref:fig:test_apa_super_element_simscape.
Several remote points are defined in the finite element model (here illustrated by colorful planes and numbers from 1 to 5) and are then made accessible in the multi-body software as shown at the right by the "frames" F1 to F5.
For the APA300ML super element, 5 remote points are defined.
Two remote points (1 and 2) are fixed to the top and bottom mechanical interfaces of the APA300ML and will be used to connect the APA300ML with other mechanical elements.
Two remote points (3 and 4) are located across two piezoelectric stacks and are used to apply internal forces representing the actuator stacks.
Finally, two remote points (4 and 5) are located across the third piezoelectric stack, and will be used to measured the strain of the sensor stack.

Identification of the Actuator and Sensor constants
Once the APA300ML super element is included in the multi-body model, the transfer function from $F_a$ to $d_L$ and $d_e$ can be extracted. The gains $g_a$ and $g_s$ are then tuned such that the gains of the transfer functions match the identified ones. By doing so, $g_s = 4.9\,V/\mu m$ and $g_a = 23.2\,N/V$ are obtained.
To ensure that the sensitivities $g_a$ and $g_s$ are physically valid, it is possible to estimate them from the physical properties of the piezoelectric stack material.
From cite:&fleming14_desig_model_contr_nanop_system p. 123, the relation between relative displacement $d_L$ of the sensor stack and generated voltage $V_s$ is given by eqref:eq:test_apa_piezo_strain_to_voltage and from cite:&fleming10_integ_strain_force_feedb_high the relation between the force $F_a$ and the applied voltage $V_a$ is given by eqref:eq:test_apa_piezo_voltage_to_force.
\begin{subequations} \begin{align} V_s &= \underbrace{\frac{d_{33}}{\epsilon^T s^D n}}_{g_s} d_L \label{eq:test_apa_piezo_strain_to_voltage} \\ F_a &= \underbrace{d_{33} n k_a}_{g_a} \cdot V_a, \quad k_a = \frac{c^{E} A}{L} \label{eq:test_apa_piezo_voltage_to_force} \end{align} \end{subequations}Unfortunately, the manufacturer of the stack was not willing to share the piezoelectric material properties of the stack used in the APA300ML. However, based on the available properties of the APA300ML stacks in the data-sheet, the soft Lead Zirconate Titanate "THP5H" from Thorlabs seemed to match quite well the observed properties. The properties of this "THP5H" material used to compute $g_a$ and $g_s$ are listed in Table ref:tab:test_apa_piezo_properties.
From these parameters, $g_s = 5.1\,V/\mu m$ and $g_a = 26\,N/V$ were obtained, which are close to the constants identified using the experimentally identified transfer functions.
| Parameter | Value | Description |
|---|---|---|
| $d_{33}$ | $680 \cdot 10^{-12}\,m/V$ | Piezoelectric constant |
| $\epsilon^{T}$ | $4.0 \cdot 10^{-8}\,F/m$ | Permittivity under constant stress |
| $s^{D}$ | $21 \cdot 10^{-12}\,m^2/N$ | Elastic compliance understand constant electric displacement |
| $c^{E}$ | $48 \cdot 10^{9}\,N/m^2$ | Young's modulus of elasticity |
| $L$ | $20\,mm$ per stack | Length of the stack |
| $A$ | $10^{-4}\,m^2$ | Area of the piezoelectric stack |
| $n$ | $160$ per stack | Number of layers in the piezoelectric stack |
Comparison of the obtained dynamics
The obtained dynamics using the super element with the tuned "sensor sensitivity" and "actuator sensitivity" are compared with the experimentally identified frequency response functions in Figure ref:fig:test_apa_super_element_comp_frf. A good match between the model and the experimental results was observed. It is however surprising that the model is "softer" than the measured system, as finite element models usually overestimate the stiffness (see Section ref:ssec:test_apa_spurious_resonances for possible explanations).
Using this simple test bench, it can be concluded that the super element model of the APA300ML captures the axial dynamics of the actuator (the actuator stacks, the force sensor stack as well as the shell used as a mechanical lever).
Conclusion
<<sec:test_apa_conclusion>>
In this study, the amplified piezoelectric actuators "APA300ML" have been characterized to ensure that they fulfill all the requirements determined during the detailed design phase. Geometrical features such as the flatness of its interfaces, electrical capacitance, and achievable strokes were measured in Section ref:sec:test_apa_basic_meas. These simple measurements allowed for the early detection of a manufacturing defect in one of the APA300ML.
Then in Section ref:sec:test_apa_dynamics, using a dedicated test bench, the dynamics of all the APA300ML were measured and were found to all match very well (Figure ref:fig:test_apa_frf_dynamics). This consistency indicates good manufacturing tolerances, facilitating the modeling and control of the nano-hexapod. Although a non-minimum zero was identified in the transfer function from $u$ to $V_s$ (Figure ref:fig:test_apa_non_minimum_phase), it was found not to be problematic because a large amount of damping could be added using the integral force feedback strategy (Figure ref:fig:test_apa_iff).
Then, two different models were used to represent the APA300ML dynamics. In Section ref:sec:test_apa_model_2dof, a simple two degrees-of-freedom mass-spring-damper model was presented and tuned based on the measured dynamics. After following a tuning procedure, the model dynamics was shown to match very well with the experiment. However, this model only represents the axial dynamics of the actuators, assuming infinite stiffness in other directions.
In Section ref:sec:test_apa_model_flexible, a super element extracted from a finite element model was used to model the APA300ML. Here, the super element represents the dynamics of the APA300ML in all directions. However, only the axial dynamics could be compared with the experimental results, yielding a good match. The benefit of employing this model over the two degrees-of-freedom model is not immediately apparent due to its increased complexity and the larger number of model states involved. Nonetheless, the super element model's value will become clear in subsequent sections, when its capacity to accurately model the APA300ML's flexibility across various directions will be important.
Flexible Joints
<<sec:test_joints>>
Introduction
At both ends of the nano-hexapod struts, a flexible joint is used. Ideally, these flexible joints would behave as perfect spherical joints, that is to say no bending and torsional stiffness, infinite shear and axial stiffness, unlimited bending and torsional stroke, no friction, and no backlash.
Deviations from these ideal properties will impact the dynamics of the Nano-Hexapod and could limit the attainable performance. During the detailed design phase, specifications in terms of stiffness and stroke were determined and are summarized in Table ref:tab:test_joints_specs.
| Specification | FEM | |
|---|---|---|
| Axial Stiffness | $> 100\,N/\mu m$ | 94 |
| Shear Stiffness | $> 1\,N/\mu m$ | 13 |
| Bending Stiffness | $< 100\,Nm/\text{rad}$ | 5 |
| Torsion Stiffness | $< 500\,Nm/\text{rad}$ | 260 |
| Bending Stroke | $> 1\,\text{mrad}$ | 24.5 |
After optimization using a finite element model, the geometry shown in Figure ref:fig:test_joints_schematic has been obtained and the corresponding flexible joint characteristics are summarized in Table ref:tab:test_joints_specs. This flexible joint is a monolithic piece of stainless steel41 manufactured using wire electrical discharge machining. It serves several functions, as shown in Figure ref:fig:test_joints_iso, such as:
- Rigid interfacing with the nano-hexapod plates (yellow surfaces)
- Rigid interfacing with the amplified piezoelectric actuator (blue surface)
- Allow two rotations between the "yellow" and the "blue" interfaces. The rotation axes are represented by the dashed lines that intersect
Sixteen flexible joints have been ordered (shown in Figure ref:fig:test_joints_received) such that some selection can be made for the twelve that will be used on the nano-hexapod.
In this document, the received flexible joints are characterized to ensure that they fulfill the requirements and such that they can well be modeled.
First, the flexible joints are visually inspected, and the minimum gaps (responsible for most of the joint compliance) are measured (Section ref:sec:test_joints_flex_dim_meas). Then, a test bench was developed to measure the bending stiffness of the flexible joints. The development of this test bench is presented in Section ref:sec:test_joints_test_bench_desc, including a noise budget and some requirements in terms of instrumentation. The test bench is then used to measure the bending stiffnesses of all the flexible joints. Results are shown in Section ref:sec:test_joints_bending_stiffness_meas
Dimensional Measurements
<<sec:test_joints_flex_dim_meas>>
Measurement Bench
Two dimensions are critical for the bending stiffness of the flexible joints. These dimensions can be measured using a profilometer. The dimensions of the flexible joint in the Y-Z plane will contribute to the X-bending stiffness, whereas the dimensions in the X-Z plane will contribute to the Y-bending stiffness.
The setup used to measure the dimensions of the "X" flexible beam is shown in Figure ref:fig:test_joints_profilometer_setup. What is typically observed is shown in Figure ref:fig:test_joints_profilometer_image. It is then possible to estimate the dimension of the flexible beam with an accuracy of $\approx 5\,\mu m$,
Measurement Results
The specified flexible beam thickness (gap) is $250\,\mu m$. Four gaps are measured for each flexible joint (2 in the $x$ direction and 2 in the $y$ direction). The "beam thickness" is then estimated as the mean between the gaps measured on opposite sides.
A histogram of the measured beam thicknesses is shown in Figure ref:fig:test_joints_size_hist. The measured thickness is less than the specified value of $250\,\mu m$, but this optical method may not be very accurate because the estimated gap can depend on the lighting of the part and of its proper alignment.
However, what is more important than the true value of the thickness is the consistency between all flexible joints.
Compliance Measurement Test Bench
<<sec:test_joints_test_bench_desc>>
Introduction
The most important characteristic of the flexible joint to be measured is its bending stiffness $k_{R_x} \approx k_{R_y}$.
To estimate the bending stiffness, the basic idea is to apply a torque $T_{x}$ to the flexible joints and to measure its angular deflection $\theta_{x}$. The bending stiffness can then be computed from equation eqref:eq:test_joints_bending_stiffness.
\begin{equation}\label{eq:test_joints_bending_stiffness} \boxed{kR_x = \frac{T_x}{θ_x}, \quad kR_y = \frac{T_y}{θ_y}}
\end{equation}
Measurement principle
<<ssec:test_joints_meas_principle>>
Torque and Rotation measurement
To apply torque $T_{y}$ between the two mobile parts of the flexible joint, a known "linear" force $F_{x}$ can be applied instead at a certain distance $h$ with respect to the rotation point. In this case, the equivalent applied torque can be estimated from equation eqref:eq:test_joints_force_torque_distance. Note that the application point of the force should be sufficiently far from the rotation axis such that the resulting bending motion is much larger than the displacement due to shear. Such effects are studied in Section ref:ssec:test_joints_error_budget.
\begin{equation}\label{eq:test_joints_force_torque_distance} T_y = h F_x, \quad T_x = h F_y
\end{equation}
Similarly, instead of directly measuring the bending motion $\theta_y$ of the flexible joint, its linear motion $d_x$ at a certain distance $h$ from the rotation points is measured. The equivalent rotation is estimated from eqref:eq:test_joints_rot_displ.
\begin{equation}\label{eq:test_joints_rot_displ} θ_y = tan-1≤ft(\frac{d_x}{h}\right) ≈ \frac{d_x}{h}, \quad θ_x = tan-1 ≤ft( \frac{d_y}{h} \right) ≈ \frac{d_y}{h}
\end{equation}
Then, the bending stiffness can be estimated from eqref:eq:test_joints_stiff_displ_force.
\begin{subequations}\label{eq:test_joints_stiff_displ_force}
\begin{align} k_{R_x} &= \frac{T_x}{\theta_x} = \frac{h F_y}{\tan^{-1}\left( \frac{d_y}{h} \right)} \approx h^2 \frac{F_y}{d_y} \\ k_{R_y} &= \frac{T_y}{\theta_y} = \frac{h F_x}{\tan^{-1}\left( \frac{d_x}{h} \right)} \approx h^2 \frac{F_x}{d_x} \end{align}\end{subequations}
The working principle of the measurement bench is schematically shown in Figure ref:fig:test_joints_bench_working_principle. One part of the flexible joint is fixed to a rigid frame while a (known) force $F_x$ is applied to the other side of the flexible joint. The deflection of the joint $d_x$ is measured using a displacement sensor.

Required external applied force
The bending stiffness is foreseen to be $k_{R_y} \approx k_{R_x} \approx 5\,\frac{Nm}{rad}$ and its stroke $\theta_{y,\text{max}}\approx \theta_{x,\text{max}}\approx 25\,mrad$. The height between the flexible point (center of the joint) and the point where external forces are applied is $h = 22.5\,mm$ (see Figure ref:fig:test_joints_bench_working_principle).
The bending $\theta_y$ of the flexible joint due to the force $F_x$ is given by equation eqref:eq:test_joints_deflection_force.
\begin{equation}\label{eq:test_joints_deflection_force} θ_y = \frac{T_y}{kR_y} = \frac{F_x h}{kR_y}
\end{equation}
Therefore, the force that must be applied to test the full range of the flexible joints is given by equation eqref:eq:test_joints_max_force. The measurement range of the force sensor should then be higher than $5.5\,N$.
\begin{equation}\label{eq:test_joints_max_force} F_{x,\text{max}} = \frac{kR_y θ_{y,\text{max}}}{h} ≈ 5.5\,N
\end{equation}
Required actuator stroke and sensors range
The flexible joint is designed to allow a bending motion of $\pm 25\,mrad$. The corresponding stroke at the location of the force sensor is given by eqref:eq:test_joints_max_stroke. To test the full range of the flexible joint, the means of applying a force (explained in the next section) should allow a motion of at least $0.5\,mm$. Similarly, the measurement range of the displacement sensor should also be higher than $0.5\,mm$.
\begin{equation}\label{eq:test_joints_max_stroke} d_{x,\text{max}} = h tan(R_{x,\text{max}}) ≈ 0.5\,mm
\end{equation}
Force and Displacement measurements
To determine the applied force, a load cell will be used in series with the mechanism that applied the force. The measured deflection of the flexible joint will be indirectly estimated from the displacement of the force sensor itself (see Section ref:ssec:test_joints_test_bench). Indirectly measuring the deflection of the flexible joint induces some errors because of the limited stiffness between the force sensor and the displacement sensor. Such an effect will be estimated in the error budget (Section ref:ssec:test_joints_error_budget)
Error budget
<<ssec:test_joints_error_budget>>
Introduction
To estimate the accuracy of the measured bending stiffness that can be obtained using this measurement principle, an error budget is performed.
Based on equation eqref:eq:test_joints_stiff_displ_force, several errors can affect the accuracy of the measured bending stiffness:
- Errors in the measured torque $M_x, M_y$: this is mainly due to inaccuracies in the load cell and of the height estimation $h$
- Errors in the measured bending motion of the flexible joints $\theta_x, \theta_y$: errors from limited shear stiffness, from the deflection of the load cell itself, and inaccuracy of the height estimation $h$
If only the bending stiffness is considered, the induced displacement is described by eqref:eq:test_joints_dbx.
\begin{equation}\label{eq:test_joints_dbx} dx,b = h tan(θ_y) = h tan≤ft( \frac{F_x ⋅ h}{kR_y} \right)
\end{equation}
Effect of Shear
The applied force $F_x$ will induce some shear $d_{x,s}$ which is described by eqref:eq:test_joints_shear_displ with $k_s$ the shear stiffness of the flexible joint.
\begin{equation}\label{eq:test_joints_shear_displ} dx,s = \frac{F_x}{k_s}
\end{equation}
The measured displacement $d_x$ is affected shear, as shown in equation eqref:eq:test_joints_displ_shear.
\begin{equation}\label{eq:test_joints_displ_shear} d_x = dx,b + dx,s = h tan≤ft( \frac{F_x ⋅ h}{kR_y} \right) + \frac{F_x}{k_s} ≈ F_x ≤ft( \frac{h^2}{kR_y} + \frac{1}{k_s} \right)
\end{equation}
The estimated bending stiffness $k_{\text{est}}$ then depends on the shear stiffness eqref:eq:test_joints_error_shear.
\begin{equation}\label{eq:test_joints_error_shear} k_{R_y,\text{est}} = h^2 \frac{F_x}{d_x} ≈ kR_y \frac{1}{1 + \frac{kR_y}{k_s h^2}} ≈ kR_y \Bigl( 1 - _brace{\frac{kR_y}{k_s h^2}}_{εs} \Bigl)
\end{equation}
With an estimated shear stiffness $k_s = 13\,N/\mu m$ from the finite element model and an height $h=25\,mm$, the estimation errors of the bending stiffness due to shear is $\epsilon_s < 0.1\,\%$
Effect of load cell limited stiffness
As explained in the previous section, because the measurement of the flexible joint deflection is indirectly performed with the encoder, errors will be made if the load cell experiences some compression.
Suppose the load cell has an internal stiffness $k_f$, the same reasoning that was made for the effect of shear can be applied here. The estimation error of the bending stiffness due to the limited stiffness of the load cell is then described by eqref:eq:test_joints_error_load_cell_stiffness.
\begin{equation}\label{eq:test_joints_error_load_cell_stiffness} k_{R_y,\text{est}} = h^2 \frac{F_x}{d_x} ≈ kR_y \frac{1}{1 + \frac{kR_y}{k_F h^2}} ≈ kR_y \Bigl( 1 - _brace{\frac{kR_y}{k_F h^2}}ε_f \Bigl)
\end{equation}
With an estimated load cell stiffness of $k_f \approx 1\,N/\mu m$ (from the documentation), the errors due to the load cell limited stiffness is around $\epsilon_f = 1\,\%$.
Estimation error due to height estimation error
Now consider an error $\delta h$ in the estimation of the height $h$ as described by eqref:eq:test_joints_est_h_error.
\begin{equation}\label{eq:test_joints_est_h_error} h_{\text{est}} = h + δ h
\end{equation}
The computed bending stiffness will be eqref:eq:test_joints_stiffness_height_error.
\begin{equation}\label{eq:test_joints_stiffness_height_error} k_{R_y, \text{est}} ≈ h_{\text{est}}^2 \frac{F_x}{d_x} ≈ kR_y \Bigl( 1 + _brace{2 \frac{δ h}{h} + \frac{δ h ^2}{h^2}}ε_h \Bigl)
\end{equation}
The height estimation is foreseen to be accurate to within $|\delta h| < 0.4\,mm$ which corresponds to a stiffness error $\epsilon_h < 3.5\,\%$.
Estimation error due to force and displacement sensors accuracy
An optical encoder is used to measure the displacement (see Section ref:ssec:test_joints_test_bench) whose maximum non-linearity is $40\,nm$. As the measured displacement is foreseen to be $0.5\,mm$, the error $\epsilon_d$ due to the encoder non-linearity is negligible $\epsilon_d < 0.01\,\%$.
The accuracy of the load cell is specified at $1\,\%$ and therefore, estimation errors of the bending stiffness due to the limited load cell accuracy should be $\epsilon_F < 1\,\%$
Conclusion
The different sources of errors are summarized in Table ref:tab:test_joints_error_budget. The most important source of error is the estimation error of the distance between the flexible joint rotation axis and its contact with the force sensor. An overall accuracy of $\approx 5\,\%$ can be expected with this measurement bench, which should be sufficient for an estimation of the bending stiffness of the flexible joints.
| Effect | Error |
|---|---|
| Shear effect | $\epsilon_s < 0.1\,\%$ |
| Load cell compliance | $\epsilon_f = 1\,\%$ |
| Height error | $\epsilon_h < 3.5\,\%$ |
| Displacement sensor | $\epsilon_d < 0.01\,\%$ |
| Force sensor | $\epsilon_F < 1\,\%$ |
Mechanical Design
<<ssec:test_joints_test_bench>>
As explained in Section ref:ssec:test_joints_meas_principle, the flexible joint's bending stiffness is estimated by applying a known force to the flexible joint's tip and by measuring its deflection at the same point.
The force is applied using a load cell42 such that the applied force to the flexible joint's tip is directly measured. To control the height and direction of the applied force, a cylinder cut in half is fixed at the tip of the force sensor (pink element in Figure ref:fig:test_joints_bench_side) that initially had a flat surface. Doing so, the contact between the flexible joint cylindrical tip and the force sensor is a point (intersection of two cylinders) at a precise height, and the force is applied in a known direction. To translate the load cell at a constant height, it is fixed to a translation stage43 which is moved by hand.
Instead of measuring the displacement directly at the tip of the flexible joint (with a probe or an interferometer for instance), the displacement of the load cell itself is measured. To do so, an encoder44 is used, which measures the motion of a ruler. This ruler is fixed to the translation stage in line (i.e. at the same height) with the application point to reduce Abbe errors (see Figure ref:fig:test_joints_bench_overview).
The flexible joint can be rotated by $90^o$ in order to measure the bending stiffness in the two directions. The obtained CAD design of the measurement bench is shown in Figure ref:fig:test_joints_bench_overview while a zoom on the flexible joint with the associated important quantities is shown in Figure ref:fig:test_joints_bench_side.
Bending Stiffness Measurement
<<sec:test_joints_bending_stiffness_meas>>
Introduction
Load Cell Calibration
In order to estimate the measured errors of the load cell "FC2231", it is compared against another load cell45. The two load cells are measured simultaneously while they are pushed against each other (see Figure ref:fig:test_joints_force_sensor_calib_picture). The contact between the two load cells is well defined as one has a spherical interface and the other has a flat surface.
The measured forces are compared in Figure ref:fig:test_joints_force_sensor_calib_fit. The gain mismatch between the two load cells is approximately $4\,\%$ which is higher than that specified in the data sheets. However, the estimated non-linearity is bellow $0.2\,\%$ for forces between $1\,N$ and $5\,N$.
Load Cell Stiffness
The objective of this measurement is to estimate the stiffness $k_F$ of the force sensor. To do so, a stiff element (much stiffer than the estimated $k_F \approx 1\,N/\mu m$) is mounted in front of the force sensor, as shown in Figure ref:fig:test_joints_meas_force_sensor_stiffness_picture. Then, the force sensor is pushed against this stiff element while the force sensor and the encoder displacement are measured. The measured displacement as a function of the measured force is shown in Figure ref:fig:test_joints_force_sensor_stiffness_fit. The load cell stiffness can then be estimated by computing a linear fit and is found to be $k_F \approx 0.68\,N/\mu m$.
Bending Stiffness estimation
The actual stiffness is now estimated by manually moving the translation stage from a start position where the force sensor is not yet in contact with the flexible joint to a position where the flexible joint is on its mechanical stop.
The measured force and displacement as a function of time are shown in Figure ref:fig:test_joints_meas_bend_time. Three regions can be observed: first, the force sensor tip is not in contact with the flexible joint and the measured force is zero; then, the flexible joint deforms linearly; and finally, the flexible joint comes in contact with the mechanical stop.
The angular motion $\theta_{y}$ computed from the displacement $d_x$ is displayed as function of the measured torque $T_{y}$ in Figure ref:fig:test_joints_meas_F_d_lin_fit. The bending stiffness of the flexible joint can be estimated by computing the slope of the curve in the linear regime (red dashed line) and is found to be $k_{R_y} = 4.4\,Nm/\text{rad}$. The bending stroke can also be estimated as shown in Figure ref:fig:test_joints_meas_F_d_lin_fit and is found to be $\theta_{y,\text{max}} = 20.9\,\text{mrad}$.
Measured flexible joint stiffness
The same measurement was performed for all the 16 flexible joints, both in the $x$ and $y$ directions. The measured angular motion as a function of the applied torque is shown in Figure ref:fig:test_joints_meas_bending_all_raw_data for the 16 flexible joints. This gives a first idea of the dispersion of the measured bending stiffnesses (i.e. slope of the linear region) and of the angular stroke.
A histogram of the measured bending stiffnesses is shown in Figure ref:fig:test_joints_bend_stiff_hist. Most of the bending stiffnesses are between $4.6\,Nm/rad$ and $5.0\,Nm/rad$.
Conclusion
<<sec:test_joints_conclusion>>
The flexible joints are a key element of the nano-hexapod. Careful dimensional measurements (Section ref:sec:test_joints_flex_dim_meas) allowed for the early identification of faulty flexible joints. This was crucial in preventing potential complications that could have arisen from the installation of faulty joints on the nano-hexapod.
A dedicated test bench was developed to asses the bending stiffness of the flexible joints. Through meticulous error analysis and budgeting, a satisfactory level of measurement accuracy could be guaranteed. The measured bending stiffness values exhibited good agreement with the predictions from the finite element model ($k_{R_x} = k_{R_y} = 5\,Nm/\text{rad}$). These measurements are helpful for refining the model of the flexible joints, thereby enhancing the overall accuracy of the nano-hexapod model. Furthermore, the data obtained from these measurements have provided the necessary information to select the most suitable flexible joints for the nano-hexapod, ensuring optimal performance.
Struts
<<sec:test_struts>>
Introduction
The Nano-Hexapod struts (shown in Figure ref:fig:test_struts_picture_strut) are composed of two flexible joints that are fixed at the two ends of the strut, one Amplified Piezoelectric Actuator46 and one optical encoder47.
After the strut elements have been individually characterized (see previous sections), the struts are assembled. The mounting procedure of the struts is explained in Section ref:sec:test_struts_mounting. A mounting bench was used to ensure coaxiality between the two ends of the struts. In this way, no angular stroke is lost when mounted to the nano-hexapod.
The flexible modes of the struts were then experimentally measured and compared with a finite element model (Section ref:sec:test_struts_flexible_modes).
Dynamic measurements of the strut are performed with the same test bench used to characterize the APA300ML dynamics (Section ref:sec:test_struts_dynamical_meas). It was found that the dynamics from the acrshort:dac voltage to the displacement measured by the encoder is complex due to the flexible modes of the struts (Section ref:sec:test_struts_flexible_modes).
The strut models were then compared with the measured dynamics (Section ref:sec:test_struts_simscape). The model dynamics from the acrshort:dac voltage to the axial motion of the strut (measured by an interferometer) and to the force sensor voltage well match the experimental results. However, this is not the case for the dynamics from acrshort:dac voltage to the encoder displacement. It is found that the complex dynamics is due to a misalignment between the flexible joints and the acrshort:apa.
Mounting Procedure
<<sec:test_struts_mounting>>
A mounting bench was developed to ensure:
- Good coaxial alignment between the interfaces (cylinders) of the flexible joints. This is important not to loose to much angular stroke during their mounting into the nano-hexapod
- Uniform length across all struts
- Precise alignment of the APA with the two flexible joints
- Reproducible and consistent assembly between all struts
A CAD view of the mounting bench is shown in Figure ref:fig:test_struts_mounting_bench_first_concept. It consists of a "main frame" (Figure ref:fig:test_struts_mounting_step_0) precisely machined to ensure both correct strut length and strut coaxiality. The coaxiality is ensured by good flatness (specified at $20\,\mu m$) between surfaces A and B and between surfaces C and D. Such flatness was checked using a FARO arm48 (see Figure ref:fig:test_struts_check_dimensions_bench) and was found to comply with the requirements. The strut length (defined by the distance between the rotation points of the two flexible joints) was ensured by using precisely machined dowel holes.
The flexible joints were not directly fixed to the mounting bench but were fixed to a cylindrical "sleeve" shown in Figures ref:fig:test_struts_cylindrical_mounting_part_top and ref:fig:test_struts_cylindrical_mounting_part_bot. The goal of these "sleeves" is to avoid mechanical stress that could damage the flexible joints during the mounting process. These "sleeves" have one dowel groove (that are fitted to the dowel holes shown in Figure ref:fig:test_struts_mounting_step_0) that will determine the length of the mounted strut.
The "sleeves" were mounted to the main element as shown in Figure ref:fig:test_struts_mounting_step_0. The left sleeve has a thigh fit such that its orientation is fixed (it is roughly aligned horizontally), while the right sleeve has a loose fit such that it can rotate (it will get the same orientation as the fixed one when tightening the screws).
The cylindrical washers and the APA300ML are stacked on top of the flexible joints, as shown in Figure ref:fig:test_struts_mounting_step_2 and screwed together using a torque screwdriver. A dowel pin is used to laterally align the APA300ML with the flexible joints (see the dowel slot on the flexible joints in Figure ref:fig:test_struts_mounting_joints). Two cylindrical washers are used to allow proper mounting even when the two APA interfaces are not parallel.
The encoder and ruler are then fixed to the strut and properly aligned, as shown in Figure ref:fig:test_struts_mounting_step_3.
Finally, the strut can be disassembled from the mounting bench (Figure ref:fig:test_struts_mounting_step_4). Thanks to this mounting procedure, the coaxiality and length between the two flexible joint's interfaces can be obtained within the desired tolerances.
Measurement of flexible modes
<<sec:test_struts_flexible_modes>>
A Finite Element Model49 of the struts is developed and is used to estimate the flexible modes. The inertia of the encoder (estimated at $15\,g$) is considered. The two cylindrical interfaces were fixed (boundary conditions), and the first three flexible modes were computed. The mode shapes are displayed in Figure ref:fig:test_struts_mode_shapes: an "X-bending" mode at 189Hz, a "Y-bending" mode at 285Hz and a "Z-torsion" mode at 400Hz.
To experimentally measure these mode shapes, a Laser vibrometer50 was used. It measures the difference of motion between two beam path (red points in Figure ref:fig:test_struts_meas_modes). The strut is then excited by an instrumented hammer, and the transfer function from the hammer to the measured rotation is computed.
The setup used to measure the "X-bending" mode is shown in Figure ref:fig:test_struts_meas_x_bending. The "Y-bending" mode is measured as shown in Figure ref:fig:test_struts_meas_y_bending and the "Z-torsion" measurement setup is shown in Figure ref:fig:test_struts_meas_z_torsion. These tests were performed with and without the encoder being fixed to the strut.
The obtained frequency response functions for the three configurations (X-bending, Y-bending and Z-torsion) are shown in Figure ref:fig:test_struts_spur_res_frf_no_enc when the encoder is not fixed to the strut and in Figure ref:fig:test_struts_spur_res_frf_enc when the encoder is fixed to the strut.
Table ref:tab:test_struts_spur_mode_freqs summarizes the measured resonance frequencies and the computed ones using the acrfull:fem. The resonance frequencies of the 3 modes are only slightly decreased when the encoder is fixed to the strut. In addition, the computed resonance frequencies from the acrshort:fem are very close to the measured frequencies when the encoder is fixed to the strut. This validates the quality of the acrshort:fem.
| Mode | FEM with Encoder | Exp. with Encoder | Exp. without Encoder |
|---|---|---|---|
| X-Bending | 189Hz | 198Hz | 226Hz |
| Y-Bending | 285Hz | 293Hz | 337Hz |
| Z-Torsion | 400Hz | 381Hz | 398Hz |
Dynamical measurements
<<sec:test_struts_dynamical_meas>>
Introduction
In order to measure the dynamics of the strut, the test bench used to measure the APA300ML dynamics is being used again.
The strut mounted on the bench is shown in Figure ref:fig:test_struts_bench_leg_overview A schematic of the bench and the associated signals are shown in Figure ref:fig:test_struts_bench_schematic. A fiber interferometer51 is used to measure the motion of the granite (i.e. the axial motion of the strut).
First, the effect of the encoder on the measured dynamics is investigated in Section ref:ssec:test_struts_effect_encoder. The dynamics observed by the encoder and interferometers are compared in Section ref:ssec:test_struts_comp_enc_int. Finally, all measured struts are compared in terms of dynamics in Section ref:ssec:test_struts_comp_all_struts.
Effect of the Encoder on the measured dynamics
<<ssec:test_struts_effect_encoder>>
System identification was performed without the encoder being fixed to the strut (Figure ref:fig:test_struts_bench_leg_front) and with one encoder being fixed to the strut (Figure ref:fig:test_struts_bench_leg_coder).
The obtained frequency response functions are compared in Figure ref:fig:test_struts_effect_encoder. It was found that the encoder had very little effect on the transfer function from excitation voltage $u$ to the axial motion of the strut $d_a$ as measured by the interferometer (Figure ref:fig:test_struts_effect_encoder_int). This means that the axial motion of the strut is unaffected by the presence of the encoder. Similarly, it has little effect on the transfer function from $u$ to the sensor stack voltage $V_s$ (Figure ref:fig:test_struts_effect_encoder_iff). This means that the encoder should have little effect on the effectiveness of the integral force feedback control strategy.
Comparison of the encoder and interferometer
<<ssec:test_struts_comp_enc_int>>
The dynamics measured by the encoder (i.e. $d_e/u$) and interferometers (i.e. $d_a/u$) are compared in Figure ref:fig:test_struts_comp_enc_int. The dynamics from the excitation voltage $u$ to the displacement measured by the encoder $d_e$ presents a behavior that is much more complex than the dynamics of the displacement measured by the interferometer (comparison made in Figure ref:fig:test_struts_comp_enc_int). Three additional resonance frequencies can be observed at 197Hz, 290Hz and 376Hz. These resonance frequencies match the frequencies of the flexible modes studied in Section ref:sec:test_struts_flexible_modes.
The good news is that these resonances are not impacting the axial motion of the strut (which is what is important for the hexapod positioning). However, these resonances make the use of an encoder fixed to the strut difficult from a control perspective.
Comparison of all the Struts
<<ssec:test_struts_comp_all_struts>>
The dynamics of all the mounted struts (only 5 at the time of the experiment) were then measured on the same test bench. The obtained dynamics from $u$ to $d_a$ are compared in Figure ref:fig:test_struts_comp_interf_plants while is dynamics from $u$ to $V_s$ are compared in Figure ref:fig:test_struts_comp_iff_plants. A very good match can be observed between the struts.
The same comparison is made for the transfer function from $u$ to $d_e$ (encoder output) in Figure ref:fig:test_struts_comp_enc_plants. In this study, large dynamics differences were observed between the 5 struts. Although the same resonance frequencies were seen for all of the struts (95Hz, 200Hz, 300Hz and 400Hz), the amplitude of the peaks were not the same. In addition, the location or even presence of complex conjugate zeros changes from one strut to another. The reason for this variability will be studied in the next section thanks to the strut model.
Strut Model
<<sec:test_struts_simscape>>
Introduction
The multi-body model of the strut was included in the multi-body model of the test bench (see Figure ref:fig:test_struts_simscape_model). The obtained model was first used to compare the measured FRF with the existing model (Section ref:ssec:test_struts_comp_model).
Using a flexible APA model (extracted from a acrshort:fem), the effect of a misalignment of the APA with respect to flexible joints is studied (Section ref:ssec:test_struts_effect_misalignment). It was found that misalignment has a large impact on the dynamics from $u$ to $d_e$. This misalignment is estimated and measured in Section ref:ssec:test_struts_meas_misalignment. The struts were then disassembled and reassemble a second time to optimize alignment (Section ref:sec:test_struts_meas_all_aligned_struts).
Model dynamics
<<ssec:test_struts_comp_model>>
Two models of the APA300ML are used here: a simple two-degrees-of-freedom model and a model using a super-element extracted from a acrlong:fem. These two models of the APA300ML were tuned to best match the measured frequency response functions of the APA alone. The flexible joints were modelled with the 4DoF model (axial stiffness, two bending stiffnesses and one torsion stiffness). These two models are compared with the measured frequency responses in Figure ref:fig:test_struts_comp_frf_flexible_model.
The model dynamics from DAC voltage $u$ to the axial motion of the strut $d_a$ (Figure ref:fig:test_struts_comp_frf_flexible_model_int) and from DAC voltage $u$ to the force sensor voltage $V_s$ (Figure ref:fig:test_struts_comp_frf_flexible_model_iff) are well matching the experimental identification.
However, the transfer function from $u$ to encoder displacement $d_e$ are not well matching for both models. For the 2DoF model, this is normal because the resonances affecting the dynamics are not modelled at all (the APA300ML is modeled as infinitely rigid in all directions except the translation along it's actuation axis). For the flexible model, it will be shown in the next section that by adding some misalignment between the flexible joints and the APA300ML, this model can better represent the observed dynamics.
Effect of strut misalignment
<<ssec:test_struts_effect_misalignment>>
As shown in Figure ref:fig:test_struts_comp_enc_plants, the identified dynamics from DAC voltage $u$ to encoder measured displacement $d_e$ are very different from one strut to the other. In this section, it is investigated whether poor alignment of the strut (flexible joints with respect to the APA) can explain such dynamics. For instance, consider Figure ref:fig:test_struts_misalign_schematic where there is a misalignment in the $y$ direction between the two flexible joints (well aligned thanks to the mounting procedure in Section ref:sec:test_struts_mounting) and the APA300ML. In this case, the "x-bending" mode at 200Hz (see Figure ref:fig:test_struts_meas_x_bending) can be expected to have greater impact on the dynamics from the actuator to the encoder.
To verify this assumption, the dynamics from the output DAC voltage $u$ to the measured displacement by the encoder $d_e$ is computed using the flexible APA model for several misalignments in the $y$ direction. The obtained dynamics are shown in Figure ref:fig:test_struts_effect_misalignment_y. The alignment of the APA with the flexible joints has a large influence on the dynamics from actuator voltage to the measured displacement by the encoder. The misalignment in the $y$ direction mostly influences:
- the presence of the flexible mode at 200Hz (see mode shape in Figure ref:fig:test_struts_mode_shapes_1)
-
the location of the complex conjugate zero between the first two resonances:
- if $d_{y} < 0$: there is no zero between the two resonances and possibly not even between the second and third resonances
- if $d_{y} > 0$: there is a complex conjugate zero between the first two resonances
- the location of the high frequency complex conjugate zeros at 500Hz (secondary effect, as the axial stiffness of the joint also has large effect on the position of this zero)
The same can be done for misalignments in the $x$ direction. The obtained dynamics (Figure ref:fig:test_struts_effect_misalignment_x) are showing that misalignment in the $x$ direction mostly influences the presence of the flexible mode at 300Hz (see mode shape in Figure ref:fig:test_struts_mode_shapes_2).
A comparison of the experimental frequency response functions in Figure ref:fig:test_struts_comp_enc_plants with the model dynamics for several $y$ misalignments in Figure ref:fig:test_struts_effect_misalignment_y indicates a clear similarity. This similarity suggests that the identified differences in dynamics are caused by misalignment.
Measured strut misalignment
<<ssec:test_struts_meas_misalignment>>
During the initial mounting of the struts, as presented in Section ref:sec:test_struts_mounting, the positioning pins that were used to position the APA with respect to the flexible joints in the $y$ directions were not used (not received at the time). Therefore, large $y$ misalignments are expected.
To estimate the misalignments between the two flexible joints and the APA:
- the struts were fixed horizontally on the mounting bench, as shown in Figure ref:fig:test_struts_mounting_step_3 but without the encoder
- using a length gauge52, the height difference between the flexible joints surface and the APA shell surface was measured for both the top and bottom joints and for both sides
- as the thickness of the flexible joint is $21\,mm$ and the thickness of the APA shell is $20\,mm$, $0.5\,mm$ of height difference should be measured if the two are perfectly aligned
Large variations in the $y$ misalignment are found from one strut to the other (results are summarized in Table ref:tab:test_struts_meas_y_misalignment).
To check the validity of the measurement, it can be verified that the sum of the measured thickness difference on each side is $1\,mm$ (equal to the thickness difference between the flexible joint and the APA). Thickness differences for all the struts were found to be between $0.94\,mm$ and $1.00\,mm$ which indicate low errors compared to the misalignments found in Table ref:tab:test_struts_meas_y_misalignment.
| Strut | Bot | Top |
|---|---|---|
| 1 | 0.1 | 0.33 |
| 2 | -0.19 | 0.14 |
| 3 | 0.41 | 0.32 |
| 4 | -0.01 | 0.54 |
| 5 | 0.15 | 0.02 |
By using the measured $y$ misalignment in the model with the flexible APA model, the model dynamics from $u$ to $d_e$ is closer to the measured dynamics, as shown in Figure ref:fig:test_struts_comp_dy_tuned_model_frf_enc. A better match in the dynamics can be obtained by fine-tuning both the $x$ and $y$ misalignments (yellow curves in Figure ref:fig:test_struts_comp_dy_tuned_model_frf_enc).
This confirms that misalignment between the APA and the strut axis (determined by the two flexible joints) is critical and inducing large variations in the dynamics from DAC voltage $u$ to encoder measured displacement $d_e$. If encoders are fixed to the struts, the APA and flexible joints must be precisely aligned when mounting the struts.
In the next section, the struts are re-assembled with a "positioning pin" to better align the APA with the flexible joints. With a better alignment, the amplitude of the spurious resonances is expected to decrease, as shown in Figure ref:fig:test_struts_effect_misalignment_y.
Proper struts alignment
<<sec:test_struts_meas_all_aligned_struts>>
After receiving the positioning pins, the struts were mounted again with the positioning pins. This should improve the alignment of the APA with the two flexible joints.
The alignment is then estimated using a length gauge, as described in the previous sections. Measured $y$ alignments are summarized in Table ref:tab:test_struts_meas_y_misalignment_with_pin and are found to be bellow $55\mu m$ for all the struts, which is much better than before (see Table ref:tab:test_struts_meas_y_misalignment).
| Strut | Bot | Top |
|---|---|---|
| 1 | -0.02 | 0.01 |
| 2 | 0.055 | 0.0 |
| 3 | 0.01 | -0.02 |
| 4 | 0.03 | -0.03 |
| 5 | 0.0 | 0.0 |
| 6 | -0.005 | 0.055 |
The dynamics of the re-aligned struts were then measured on the same test bench (Figure ref:fig:test_struts_bench_leg). A comparison of the initial strut dynamics and the dynamics of the re-aligned struts (i.e. with the positioning pin) is presented in Figure ref:fig:test_struts_comp_enc_frf_realign. Even though the struts are now much better aligned, not much improvement can be observed. The dynamics of the six aligned struts were also quite different from one another.
The fact that the encoders are fixed to the struts makes the control more challenging. Therefore, fixing the encoders to the nano-hexapod plates instead may be an interesting option.
Conclusion
<<sec:test_struts_conclusion>>
The Hano-Hexapod struts are a key component of the developed acrfull:nass. A mounting bench was used to obtain struts with good interface coaxiality, equal lengths, and ideally the same dynamics. Using a test bench, it was found that while all the mounted struts had extremely similar dynamics when considering the axial motion and the integrated force sensor, the dynamics as seen by the encoder is much more complex and varied from one strut to the other.
Thanks to a acrshort:fem and experimental measurements, the modes inducing this complex dynamics was identified. The variability in the dynamics was attributed to the poor alignment of the acrshort:apa with respect to the flexible joints. Even with better alignment using dowel pins, the observed dynamics by the encoder remained problematic. Therefore, the encoders will be fixed directly to the nano-hexapod plates rather than being fixed to the struts.
Nano-Hexapod
<<sec:test_nhexa>>
Introduction
Prior to the nano-hexapod assembly, all the struts were mounted and individually characterized. In Section ref:sec:test_nhexa_mounting, the assembly procedure of the nano-hexapod is presented.
To identify the dynamics of the nano-hexapod, a special suspended table was developed, which consisted of a stiff "optical breadboard" suspended on top of four soft springs. The Nano-Hexapod was then mounted on top of the suspended table such that its dynamics is not affected by complex dynamics except from the suspension modes of the table that can be well characterized and modeled (Section ref:sec:test_nhexa_table).
The obtained nano-hexapod dynamics is analyzed in Section ref:sec:test_nhexa_dynamics, and compared with the multi-body model in Section ref:sec:test_nhexa_model.
Nano-Hexapod Assembly Procedure
<<sec:test_nhexa_mounting>> The assembly of the nano-hexapod is critical for both avoiding additional stress in the flexible joints (that would result in a loss of stroke) and for precisely determining the Jacobian matrix. The goal was to fix the six struts to the two nano-hexapod plates (shown in Figure ref:fig:test_nhexa_nano_hexapod_plates) while the two plates were parallel and aligned vertically so that all the flexible joints did not experience any stress. To do so, a precisely machined mounting tool (Figure ref:fig:test_nhexa_center_part_hexapod_mounting) is used to position the two nano-hexapod plates during the assembly procedure.
The mechanical tolerances of the received plates were checked using a FARO arm53 (Figure ref:fig:test_nhexa_plates_tolerances) and were found to comply with the requirements54. The same was done for the mounting tool55. The two plates were then fixed to the mounting tool, as shown in Figure ref:fig:test_nhexa_mounting_tool_hexapod_top_view. The main goal of this "mounting tool" is to position the flexible joint interfaces (the "V" shapes) of both plates so that a cylinder can rest on the 4 flat interfaces at the same time.
The quality of the positioning can be estimated by measuring the "straightness" of the top and bottom "V" interfaces. This corresponds to the diameter of the smallest cylinder which contains all points along the measured axis. This was again done using the FARO arm, and the results for all six struts are summarized in Table ref:tab:measured_straightness. The straightness was found to be better than $15\,\mu m$ for all struts56, which is sufficiently good to not induce significant stress of the flexible joint during assembly.
| Strut | Meas 1 | Meas 2 |
|---|---|---|
| 1 | $7\,\mu m$ | $3\, \mu m$ |
| 2 | $11\, \mu m$ | $11\, \mu m$ |
| 3 | $15\, \mu m$ | $14\, \mu m$ |
| 4 | $6\, \mu m$ | $6\, \mu m$ |
| 5 | $7\, \mu m$ | $5\, \mu m$ |
| 6 | $6\, \mu m$ | $7\, \mu m$ |
The encoder rulers and heads were then fixed to the top and bottom plates, respectively (Figure ref:fig:test_nhexa_mount_encoder), and the encoder heads were aligned to maximize the received contrast.
The six struts were then fixed to the bottom and top plates one by one. First, the top flexible joint is fixed so that its flat reference surface is in contact with the top plate. This step precisely determines the position of the flexible joint with respect to the top plate. The bottom flexible joint is then fixed. After mounting all six struts, the mounting tool (Figure ref:fig:test_nhexa_center_part_hexapod_mounting) can be disassembled, and the nano-hexapod as shown in Figure ref:fig:test_nhexa_nano_hexapod_mounted is fully assembled.
Suspended Table
<<sec:test_nhexa_table>>
Introduction
When a dynamical system is fixed to a support (such as a granite or an optical table), its dynamics will couple to the support dynamics. This may results in additional modes appearing in the system dynamics, which are difficult to predict and model. To prevent this issue, the strategy adopted here is to mount the nano-hexapod on top a suspended table with low frequency suspension modes.
In this case, the modes of the suspended table were chosen to be at much lower frequency than those of the nano-hexapod such that good decoupling is obtained. Another key advantage is that the suspension modes of the table can be easily represented using a multi-body model. Therefore, the measured dynamics of the nano-hexapod on top of the suspended table can be compared to a multi-body model representing the same experimental conditions. The model of the Nano-Hexapod can thus be precisely tuned to match the measured dynamics.
The developed suspended table is described in Section ref:ssec:test_nhexa_table_setup. The modal analysis of the table is done in ref:ssec:test_nhexa_table_identification. Finally, the multi-body model representing the suspended table was tuned to match the measured modes (Section ref:ssec:test_nhexa_table_model).
Experimental Setup
<<ssec:test_nhexa_table_setup>>
The design of the suspended table is quite straightforward. First, an optical table with high frequency flexible mode was selected57. Then, four springs58 were selected with low spring rate such that the suspension modes are below 10Hz. Finally, some interface elements were designed, and mechanical lateral mechanical stops were added (Figure ref:fig:test_nhexa_suspended_table_cad).
Modal analysis of the suspended table
<<ssec:test_nhexa_table_identification>>
In order to perform a modal analysis of the suspended table, a total of 15 3-axis accelerometers59 were fixed to the breadboard. Using an instrumented hammer, the first 9 modes could be identified and are summarized in Table ref:tab:test_nhexa_suspended_table_modes. The first 6 modes are suspension modes (i.e. rigid body mode of the breadboard) and are located below 10Hz. The next modes are the flexible modes of the breadboard as shown in Figure ref:fig:test_nhexa_table_flexible_modes, and are located above 700Hz.
\hfill
| Modes | Frequency | Description |
|---|---|---|
| 1,2 | 1.3 Hz | X-Y translations |
| 3 | 2.0 Hz | Z rotation |
| 4 | 6.9 Hz | Z translation |
| 5,6 | 9.5 Hz | X-Y rotations |
| 7 | 701 Hz | "Membrane" Mode |
| 8 | 989 Hz | Complex mode |
| 9 | 1025 Hz | Complex mode |
Multi-body Model of the suspended table
<<ssec:test_nhexa_table_model>>
The multi-body model of the suspended table consists simply of two solid bodies connected by 4 springs. The 4 springs are here modeled with "bushing joints" that have stiffness and damping properties in x, y, and z directions.
The model order is 12, which corresponds to the 6 suspension modes. The inertia properties of the parts were determined from the geometry and material densities. The stiffness of the springs was initially set from the datasheet nominal value of $17.8\,N/mm$ and then reduced down to $14\,N/mm$ to better match the measured suspension modes. The stiffness of the springs in the horizontal plane is set at $0.5\,N/mm$. The obtained suspension modes of the multi-body model are compared with the measured modes in Table ref:tab:test_nhexa_suspended_table_simscape_modes.
| Directions | $D_x$, $D_y$ | $R_z$ | $D_z$ | $R_x$, $R_y$ |
|---|---|---|---|---|
| Multi-body | 1.3 Hz | 1.8 Hz | 6.8 Hz | 9.5 Hz |
| Experimental | 1.3 Hz | 2.0 Hz | 6.9 Hz | 9.5 Hz |
Nano-Hexapod Measured Dynamics
<<sec:test_nhexa_dynamics>>
Introduction
The Nano-Hexapod was then mounted on top of the suspended table, as shown in Figure ref:fig:test_nhexa_hexa_suspended_table. All instrumentation (Speedgoat with ADC, DAC, piezoelectric voltage amplifiers and digital interfaces for the encoder) were configured and connected to the nano-hexapod using many cables.
A modal analysis of the nano-hexapod is first performed in Section ref:ssec:test_nhexa_enc_struts_modal_analysis. The results of the modal analysis will be useful to better understand the measured dynamics from actuators to sensors.
A block diagram of the (open-loop) system is shown in Figure ref:fig:test_nhexa_nano_hexapod_signals. The frequency response functions from controlled signals $\bm{u}$ to the force sensors voltages $\bm{V}_s$ and to the encoders measured displacements $\bm{d}_e$ are experimentally identified in Section ref:ssec:test_nhexa_identification. The effect of the payload mass on the dynamics is discussed in Section ref:ssec:test_nhexa_added_mass.
Modal analysis
<<ssec:test_nhexa_enc_struts_modal_analysis>>
To facilitate the future analysis of the measured plant dynamics, a basic modal analysis of the nano-hexapod is performed. Five 3-axis accelerometers were fixed on the top platform of the nano-hexapod (Figure ref:fig:test_nhexa_modal_analysis) and the top platform was excited using an instrumented hammer.
Between 100Hz and 200Hz, 6 suspension modes (i.e. rigid body modes of the top platform) were identified. At around 700Hz, two flexible modes of the top plate were observed (see Figure ref:fig:test_nhexa_hexa_flexible_modes). These modes are summarized in Table ref:tab:test_nhexa_hexa_modal_modes_list.
| Mode | Frequency | Description |
|---|---|---|
| 1 | 120 Hz | Suspension Mode: Y-translation |
| 2 | 120 Hz | Suspension Mode: X-translation |
| 3 | 145 Hz | Suspension Mode: Z-translation |
| 4 | 165 Hz | Suspension Mode: Y-rotation |
| 5 | 165 Hz | Suspension Mode: X-rotation |
| 6 | 190 Hz | Suspension Mode: Z-rotation |
| 7 | 692 Hz | (flexible) Membrane mode of the top platform |
| 8 | 709 Hz | Second flexible mode of the top platform |
Identification of the dynamics
<<ssec:test_nhexa_identification>>
The dynamics of the nano-hexapod from the six command signals ($u_1$ to $u_6$) to the six measured displacement by the encoders ($d_{e1}$ to $d_{e6}$) and to the six force sensors ($V_{s1}$ to $V_{s6}$) were identified by generating low-pass filtered white noise for each command signal, one by one.
The $6 \times 6$ FRF matrix from $\bm{u}$ ot $\bm{d}_e$ is shown in Figure ref:fig:test_nhexa_identified_frf_de. The diagonal terms are displayed using colored lines, and all the 30 off-diagonal terms are displayed by gray lines.
All six diagonal terms are well superimposed up to at least $1\,kHz$, indicating good manufacturing and mounting uniformity. Below the first suspension mode, good decoupling can be observed (the amplitude of all off-diagonal terms are $\approx 20$ times smaller than the diagonal terms), indicating the correct assembly of all parts.
From 10Hz up to 1kHz, around 10 resonance frequencies can be observed. The first 4 are suspension modes (at 122Hz, 143Hz, 165Hz and 191Hz) which correlate the modes measured during the modal analysis in Section ref:ssec:test_nhexa_enc_struts_modal_analysis. Three modes at 237Hz, 349Hz and 395Hz are attributed to the internal strut resonances (this will be checked in Section ref:ssec:test_nhexa_comp_model_coupling). Except for the mode at 237Hz, their impact on the dynamics is small. The two modes at 665Hz and 695Hz are attributed to the flexible modes of the top platform. Other modes can be observed above 1kHz, which can be attributed to flexible modes of the encoder supports or to flexible modes of the top platform.
Up to at least 1kHz, an alternating pole/zero pattern is observed, which makes the control easier to tune. This would not have occurred if the encoders were fixed to the struts.
Similarly, the $6 \times 6$ FRF matrix from $\bm{u}$ to $\bm{V}_s$ is shown in Figure ref:fig:test_nhexa_identified_frf_Vs. Alternating poles and zeros can be observed up to at least 2kHz, which is a necessary characteristics for applying decentralized IFF. Similar to what was observed for the encoder outputs, all the "diagonal" terms are well superimposed, indicating that the same controller can be applied to all the struts. The first flexible mode of the struts as 235Hz has large amplitude, and therefore, it should be possible to add some damping to this mode using IFF.
Effect of payload mass on the dynamics
<<ssec:test_nhexa_added_mass>>
One major challenge for controlling the NASS is the wanted robustness to a variation of payload mass; therefore, it is necessary to understand how the dynamics of the nano-hexapod changes with a change in payload mass.
To study how the dynamics changes with the payload mass, up to three "cylindrical masses" of $13\,kg$ each can be added for a total of $\approx 40\,kg$. These three cylindrical masses on top of the nano-hexapod are shown in Figure ref:fig:test_nhexa_table_mass_3.
The obtained frequency response functions from actuator signal $u_i$ to the associated encoder $d_{ei}$ for the four payload conditions (no mass, 13kg, 26kg and 39kg) are shown in Figure ref:fig:test_nhexa_identified_frf_de_masses. As expected, the frequency of the suspension modes decreased with increasing payload mass. The low frequency gain does not change because it is linked to the stiffness property of the nano-hexapod and not to its mass property.
The frequencies of the two flexible modes of the top plate first decreased significantly when the first mass was added (from $\approx 700\,Hz$ to $\approx 400\,Hz$). This is because the added mass is composed of two half cylinders that are not fixed together. Therefore, it adds a lot of mass to the top plate without increasing stiffness in one direction. When more than one "mass layer" is added, the half cylinders are added at some angles such that rigidity is added in all directions (see how the three mass "layers" are positioned in Figure ref:fig:test_nhexa_table_mass_3). In this case, the frequency of these flexible modes is increased. In practice, the payload should be one solid body, and no decrease in the frequency of this flexible mode should be observed. The apparent amplitude of the flexible mode of the strut at 237Hz becomes smaller as the payload mass increased.
The measured FRFs from $u_i$ to $V_{si}$ are shown in Figure ref:fig:test_nhexa_identified_frf_Vs_masses. For all tested payloads, the measured FRF always have alternating poles and zeros, indicating that IFF can be applied in a robust manner.
Nano-Hexapod Model Dynamics
<<sec:test_nhexa_model>>
Introduction
In this section, the dynamics measured in Section ref:sec:test_nhexa_dynamics is compared with those estimated from the multi-body model. The nano-hexapod multi-body model was therefore added on top of the vibration table multi-body model, as shown in Figure ref:fig:test_nhexa_hexa_simscape.
The model should exhibit certain characteristics that are verified in this section. First, it should match the measured system dynamics from actuators to sensors presented in Section ref:sec:test_nhexa_dynamics. Both the "direct" terms (Section ref:ssec:test_nhexa_comp_model) and "coupling" terms (Section ref:ssec:test_nhexa_comp_model_coupling) of the multi-body model are compared with the measured dynamics. Second, it should also represents how the system dynamics changes when a payload is fixed to the top platform. This is checked in Section ref:ssec:test_nhexa_comp_model_masses.
Nano-Hexapod model dynamics
<<ssec:test_nhexa_comp_model>>
The multi-body model of the nano-hexapod was first configured with 4-DoF flexible joints, 2-DoF APA, and rigid top and bottom plates. The stiffness values of the flexible joints were chosen based on the values estimated using the test bench and on the FEM. The parameters of the APA model were determined from the test bench of the APA. The $6 \times 6$ transfer function matrices from $\bm{u}$ to $\bm{d}_e$ and from $\bm{u}$ to $\bm{V}_s$ are then extracted from the multi-body model.
First, is it evaluated how well the models matches the "direct" terms of the measured FRF matrix. To do so, the diagonal terms of the extracted transfer function matrices are compared with the measured FRF in Figure ref:fig:test_nhexa_comp_simscape_diag. It can be seen that the 4 suspension modes of the nano-hexapod (at 122Hz, 143Hz, 165Hz and 191Hz) are well modeled. The three resonances that were attributed to "internal" flexible modes of the struts (at 237Hz, 349Hz and 395Hz) cannot be seen in the model, which is reasonable because the APAs are here modeled as a simple uniaxial 2-DoF system. At higher frequencies, no resonances can be observed in the model, as the top plate and the encoder supports are modeled as rigid bodies.
Dynamical coupling
<<ssec:test_nhexa_comp_model_coupling>>
Another desired feature of the model is that it effectively represents coupling in the system, as this is often the limiting factor for the control of MIMO systems. Instead of comparing the full 36 elements of the $6 \times 6$ FRF matrix from $\bm{u}$ to $\bm{d}_e$, only the first "column" is compared (Figure ref:fig:test_nhexa_comp_simscape_de_all), which corresponds to the transfer function from the command $u_1$ to the six measured encoder displacements $d_{e1}$ to $d_{e6}$. It can be seen that the coupling in the model matches the measurements well up to the first un-modeled flexible mode at 237Hz. Similar results are observed for all other coupling terms and for the transfer function from $\bm{u}$ to $\bm{V}_s$.
The APA300ML was then modeled with a super-element extracted from a FE-software. The obtained transfer functions from $u_1$ to the six measured encoder displacements $d_{e1}$ to $d_{e6}$ are compared with the measured FRF in Figure ref:fig:test_nhexa_comp_simscape_de_all_flex. While the damping of the suspension modes for the super-element is underestimated (which could be solved by properly tuning the proportional damping coefficients), the flexible modes of the struts at 237Hz and 349Hz are well modeled. Even the mode 395Hz can be observed in the model. Therefore, if the modes of the struts are to be modeled, the super-element of the APA300ML can be used at the cost of obtaining a much higher order model.
Effect of payload mass
<<ssec:test_nhexa_comp_model_masses>>
Another important characteristic of the model is that it should represents the dynamics of the system well for all considered payloads. The model dynamics is therefore compared with the measured dynamics for 4 payloads (no payload, 13kg, 26kg and 39kg) in Figure ref:fig:test_nhexa_comp_simscape_diag_masses. The observed shift of the suspension modes to lower frequencies with increased payload mass is well represented by the multi-body model. The complex conjugate zeros also well match the experiments both for the encoder outputs (Figure ref:fig:test_nhexa_comp_simscape_de_diag_masses) and the force sensor outputs (Figure ref:fig:test_nhexa_comp_simscape_Vs_diag_masses).
Note that the model displays smaller damping than that observed experimentally for high values of the payload mass. One option could be to tune the damping as a function of the mass (similar to what is done with the Rayleigh damping). However, as decentralized IFF will be applied, the damping is actively brought, and the open-loop damping value should have very little impact on the obtained plant dynamics.
In order to also check if the model well represents the coupling when high payload masses are used, the transfer functions from $u_1$ to $d_{e1}$ to $d_{e6}$ are compared in the case of the 39kg payload in Figure ref:fig:test_nhexa_comp_simscape_de_all_high_mass. Excellent match between experimental and model coupling is observed. Therefore, the model effectively represents the system coupling for different payloads.
Conclusion
<<sec:test_nhexa_conclusion>>
The goal of this test bench was to obtain an accurate model of the nano-hexapod that could then be included on top of the micro-station model. The adopted strategy was to identify the nano-hexapod dynamics under conditions in which all factors that could have affected the nano-hexapod dynamics were considered. This was achieved by developing a suspended table with low frequency suspension modes that can be accurately modeled (Section ref:sec:test_nhexa_table). Although the dynamics of the nano-hexapod was indeed impacted by the dynamics of the suspended platform, this impact was also considered in the multi-body model.
The dynamics of the nano-hexapod was then identified in Section ref:sec:test_nhexa_dynamics. Below the first suspension mode, good decoupling could be observed for the transfer function from $\bm{u}$ to $\bm{d}_e$, which enables the design of a decentralized positioning controller based on the encoders for relative positioning purposes. Many other modes were present above 700Hz, which will inevitably limit the achievable bandwidth. The observed effect of the payload's mass on the dynamics was quite large, which also represents a complex control challenge.
The frequency response functions from the six DAC voltages $\bm{u}$ to the six force sensors voltages $\bm{V}_s$ all have alternating complex conjugate poles and complex conjugate zeros for all the tested payloads (Figure ref:fig:test_nhexa_comp_simscape_Vs_diag_masses). This indicates that it is possible to implement decentralized Integral Force Feedback in a robust manner.
The developed multi-body model of the nano-hexapod was found to accurately represents the suspension modes of the Nano-Hexapod (Section ref:sec:test_nhexa_model). Both FRF matrices from $\bm{u}$ to $\bm{V}_s$ and from $\bm{u}$ to $\bm{d}_e$ are well matching with the measurements, even when considering coupling (i.e. off-diagonal) terms, which are very important from a control perspective. At frequencies above the suspension modes, the Nano-Hexapod model became inaccurate because the flexible modes were not modeled. It was found that modeling the APA300ML using a super-element allows to model the internal resonances of the struts. The same can be done with the top platform and the encoder supports; however, the model order would be higher and may become unpractical for simulation.
Obtaining a model that accurately represents the complex dynamics of the Nano-Hexapod was made possible by the modeling approach used in this study. This approach involved tuning and validating models of individual components (such as the APA and flexible joints) using dedicated test benches. The different models could then be combined to form the Nano-Hexapod dynamical model. If a model of the nano-hexapod was developed in one time, it would be difficult to tune all the model parameters to match the measured dynamics, or even to know if the model "structure" would be adequate to represent the system dynamics.
Nano Active Stabilization System
<<sec:test_id31>>
Introduction
To proceed with the full validation of the Nano Active Stabilization System (NASS), the nano-hexapod was mounted on top of the micro-station on ID31, as illustrated in figure ref:fig:test_id31_micro_station_nano_hexapod. This section presents a comprehensive experimental evaluation of the complete system's performance on the ID31 beamline, focusing on its ability to maintain precise sample positioning under various experimental conditions.
Initially, the project planned to develop a long-stroke ($\approx 1 \, cm^3$) 5-DoF metrology system to measure the sample position relative to the granite base. However, the complexity of this development prevented its completion before the experimental testing phase on ID31. To validate the nano-hexapod and its associated control architecture, an alternative short-stroke ($\approx 100\,\mu m^3$) metrology system was developed, which is presented in Section ref:sec:test_id31_metrology.
Then, several key aspects of the system validation are examined. Section ref:sec:test_id31_open_loop_plant analyzes the identified dynamics of the nano-hexapod mounted on the micro-station under various experimental conditions, including different payload masses and rotational velocities. These measurements were compared with predictions from the multi-body model to verify its accuracy and applicability to control design.
Sections ref:sec:test_id31_iff and ref:sec:test_id31_hac focus on the implementation and validation of the HAC-LAC control architecture. First, Section ref:sec:test_id31_iff demonstrates the application of decentralized Integral Force Feedback for robust active damping of the nano-hexapod suspension modes. This is followed in Section ref:sec:test_id31_hac by the implementation of the high authority controller, which addresses low-frequency disturbances and completes the control system design.
Finally, Section ref:sec:test_id31_experiments evaluates the NASS's positioning performances through a comprehensive series of experiments that mirror typical scientific applications. These include tomography scans at various speeds and with different payload masses, reflectivity measurements, and combined motion sequences that test the system's full capabilities.
Short Stroke Metrology System
<<sec:test_id31_metrology>>
Introduction
The control of the nano-hexapod requires an external metrology system that measures the relative position of the nano-hexapod top platform with respect to the granite. As a long-stroke ($\approx 1 \,cm^3$) metrology system was not yet developed, a stroke stroke ($\approx 100\,\mu m^3$) was used instead to validate the nano-hexapod control.
The first considered option was to use the "Spindle error analyzer" shown in Figure ref:fig:test_id31_lion. This system comprises 5 capacitive sensors facing two reference spheres. However, as the gap between the capacitive sensors and the spheres is very small60, the risk of damaging the spheres and the capacitive sensors is too high.
Instead of using capacitive sensors, 5 fibered interferometers were used in a similar manner (Figure ref:fig:test_id31_interf). At the end of each fiber, a sensor head61 (Figure ref:fig:test_id31_interf_head) is used, which consists of a lens precisely positioned with respect to the fiber's end. The lens focuses the light on the surface of the sphere, such that the reflected light comes back into the fiber and produces an interference. In this way, the gap between the head and the reference sphere is much larger (here around $40\,mm$), thereby removing the risk of collision.
Nevertheless, the metrology system still has a limited measurement range because of the limited angular acceptance of the fibered interferometers. Indeed, when the spheres are moving perpendicularly to the beam axis, the reflected light does not coincide with the incident light, and above some perpendicular displacement, the reflected light does not come back into the fiber, and no interference is produced.
Metrology Kinematics
<<ssec:test_id31_metrology_kinematics>>
The proposed short-stroke metrology system is schematized in Figure ref:fig:test_id31_metrology_kinematics. The point of interest is indicated by the blue frame $\{B\}$, which is located $H = 150\,mm$ above the nano-hexapod's top platform. The spheres have a diameter $d = 25.4\,mm$, and the indicated dimensions are $l_1 = 60\,mm$ and $l_2 = 16.2\,mm$. To compute the pose of $\{B\}$ with respect to the granite (i.e. with respect to the fixed interferometer heads), the measured (small) displacements $[d_1,\ d_2,\ d_3,\ d_4,\ d_5]$ by the interferometers are first written as a function of the (small) linear and angular motion of the $\{B\}$ frame $[D_x,\ D_y,\ D_z,\ R_x,\ R_y]$ eqref:eq:test_id31_metrology_kinematics.
\begin{equation}\label{eq:test_id31_metrology_kinematics} d_1 = D_y - l_2 R_x, \quad d_2 = D_y + l_1 R_x, \quad d_3 = -D_x - l_2 R_y, \quad d_4 = -D_x + l_1 R_y, \quad d_5 = -D_z
\end{equation}
\hfill
The five equations eqref:eq:test_id31_metrology_kinematics can be written in matrix form, and then inverted to have the pose of the $\{B\}$ frame as a linear combination of the measured five distances by the interferometers eqref:eq:test_id31_metrology_kinematics_inverse.
\begin{equation}\label{eq:test_id31_metrology_kinematics_inverse}
\begin{bmatrix} D_x \\ D_y \\ D_z \\ R_x \\ R_y \end{bmatrix} = {\underbrace{\begin{bmatrix} 0 & 1 & 0 & -l_2 & 0 \\ 0 & 1 & 0 & l_1 & 0 \\ -1 & 0 & 0 & 0 & -l_2 \\ -1 & 0 & 0 & 0 & l_1 \\ 0 & 0 & -1 & 0 & 0 \end{bmatrix}}_{\bm{J_d}}}^{-1} \cdot \begin{bmatrix} d_1 \\ d_2 \\ d_3 \\ d_4 \\ d_5 \end{bmatrix}\end{equation}
Rough alignment of the reference spheres
<<ssec:test_id31_metrology_sphere_rought_alignment>>
The two reference spheres must be well aligned with the rotation axis of the spindle. To achieve this, two measuring probes were used as shown in Figure ref:fig:test_id31_align_top_sphere_comparators.
To not damage the sensitive sphere surface, the probes are instead positioned on the cylinder on which the sphere is mounted. The probes are first fixed to the bottom (fixed) cylinder to align the first sphere with the spindle axis. The probes are then fixed to the top (adjustable) cylinder, and the same alignment is performed.
With this setup, the alignment accuracy of both spheres with the spindle axis was expected to around $10\,\mu m$. The accuracy was probably limited by the poor coaxiality between the cylinders and the spheres. However, this first alignment should be sufficient to position the two sphere within the acceptance range of the interferometers.
Tip-Tilt adjustment of the interferometers
<<ssec:test_id31_metrology_alignment>>
The short-stroke metrology system was placed on top of the main granite using granite blocs (Figure ref:fig:test_id31_short_stroke_metrology_overview). Granite is used for its good mechanical and thermal stability.
The interferometer beams must be placed with respect to the two reference spheres as close as possible to the ideal case shown in Figure ref:fig:test_id31_metrology_kinematics. Therefore, their positions and angles must be well adjusted with respect to the two spheres. First, the vertical positions of the spheres is adjusted using the micro-hexapod to match the heights of the interferometers. Then, the horizontal position of the gantry is adjusted such that the intensity of the light reflected back in the fiber of the top interferometer is maximized. This is equivalent as to optimize the perpendicularity between the interferometer beam and the sphere surface (i.e. the concentricity between the top beam and the sphere center).
The lateral sensor heads (i.e. all except the top one) were each fixed to a custom tip-tilt adjustment mechanism. This allows them to be individually oriented so that they all point to the spheres' center (i.e. perpendicular to the sphere surface). This is achieved by maximizing the intensity of the reflected light of each interferometer.
After the alignment procedure, the top interferometer should coincide with the spindle axis, and the lateral interferometers should all be in the horizontal plane and intersect the centers of the spheres.
Fine Alignment of reference spheres using interferometers
<<ssec:test_id31_metrology_sphere_fine_alignment>>
Thanks to the first alignment of the two reference spheres with the spindle axis (Section ref:ssec:test_id31_metrology_sphere_rought_alignment) and to the fine adjustment of the interferometer orientations (Section ref:ssec:test_id31_metrology_alignment), the spindle can perform complete rotations while still having interference for all five interferometers. Therefore, this metrology can be used to better align the axis defined by the centers of the two spheres with the spindle axis.
The alignment process requires few iterations. First, the spindle is scanned, and alignment errors are recorded. From the errors, the motion of the micro-hexapod to better align the spheres with the spindle axis is computed and the micro-hexapod is positioned accordingly. Then, the spindle is scanned again, and new alignment errors are recorded.
This iterative process is first performed for angular errors (Figure ref:fig:test_id31_metrology_align_rx_ry) and then for lateral errors (Figure ref:fig:test_id31_metrology_align_dx_dy). The remaining errors after alignment are in the order of $\pm5\,\mu\text{rad}$ in $R_x$ and $R_y$ orientations, $\pm 1\,\mu m$ in $D_x$ and $D_y$ directions, and less than $0.1\,\mu m$ vertically.
Estimated measurement volume
<<ssec:test_id31_metrology_acceptance>>
Because the interferometers point to spheres and not flat surfaces, the lateral acceptance is limited. To estimate the metrology acceptance, the micro-hexapod was used to perform three accurate scans of $\pm 1\,mm$, respectively along the $x$, $y$ and $z$ axes. During these scans, the 5 interferometers are recorded individually, and the ranges in which each interferometer had enough coupling efficiency to be able to measure the displacement were estimated. Results are summarized in Table ref:tab:test_id31_metrology_acceptance. The obtained lateral acceptance for pure displacements in any direction is estimated to be around $+/-0.5\,mm$, which is enough for the current application as it is well above the micro-station errors to be actively corrected by the NASS.
| $D_x$ | $D_y$ | $D_z$ | |
|---|---|---|---|
| $d_1$ (y) | $1.0\,mm$ | $>2\,mm$ | $1.35\,mm$ |
| $d_2$ (y) | $0.8\,mm$ | $>2\,mm$ | $1.01\,mm$ |
| $d_3$ (x) | $>2\,mm$ | $1.06\,mm$ | $1.38\,mm$ |
| $d_4$ (x) | $>2\,mm$ | $0.99\,mm$ | $0.94\,mm$ |
| $d_5$ (z) | $1.33\, mm$ | $1.06\,mm$ | $>2\,mm$ |
Estimated measurement errors
<<ssec:test_id31_metrology_errors>>
When using the NASS, the accuracy of the sample positioning is determined by the accuracy of the external metrology. However, the validation of the nano-hexapod, the associated instrumentation, and the control architecture is independent of the accuracy of the metrology system. Only the bandwidth and noise characteristics of the external metrology are important. However, some elements that affect the accuracy of the metrology system are discussed here.
First, the "metrology kinematics" (discussed in Section ref:ssec:test_id31_metrology_kinematics) is only approximate (i.e. valid for small displacements). This can be easily seen when performing lateral $[D_x,\,D_y]$ scans using the micro-hexapod while recording the vertical interferometer (Figure ref:fig:test_id31_xy_map_sphere). As the top interferometer points to a sphere and not to a plane, lateral motion of the sphere is seen as a vertical motion by the top interferometer.
Then, the reference spheres have some deviations relative to an ideal sphere 62. These sphere are originally intended for use with capacitive sensors that integrate shape errors over large surfaces. When using interferometers, the size of the "light spot" on the sphere surface is a circle with a diameter approximately equal to $50\,\mu m$, and therefore the measurement is more sensitive to shape errors with small features.
As the light from the interferometer travels through air (as opposed to being in vacuum), the measured distance is sensitive to any variation in the refractive index of the air. Therefore, any variation in air temperature, pressure or humidity will induce measurement errors. For instance, for a measurement length of $40\,mm$, a temperature variation of $0.1\,{}^oC$ (which is typical for the ID31 experimental hutch) induces errors in the distance measurement of $\approx 4\,nm$.
Interferometers are also affected by noise cite:&watchi18_review_compac_inter. The effect of noise on the translation and rotation measurements is estimated in Figure ref:fig:test_id31_interf_noise.
Open Loop Plant
<<sec:test_id31_open_loop_plant>>
Introduction
The NASS plant is schematically illustrated in Figure ref:fig:test_id31_block_schematic_plant. The input $\bm{u} = [u_1,\ u_2,\ u_3,\ u_4,\ u_5,\ u_6]$ is the command signal, which corresponds to the voltages generated for each piezoelectric actuator. After amplification, the voltages across the piezoelectric stack actuators are $\bm{V}_a = [V_{a1},\ V_{a2},\ V_{a3},\ V_{a4},\ V_{a5},\ V_{a6}]$.
From the setpoint of micro-station stages ($r_{D_y}$ for the translation stage, $r_{R_y}$ for the tilt stage and $r_{R_z}$ for the spindle), the reference pose of the sample $\bm{r}_{\mathcal{X}}$ is computed using the micro-station's kinematics. The sample's position $\bm{y}_\mathcal{X} = [D_x,\,D_y,\,D_z,\,R_x,\,R_y,\,R_z]$ is measured using multiple sensors. First, the five interferometers $\bm{d} = [d_{1},\ d_{2},\ d_{3},\ d_{4},\ d_{5}]$ are used to measure the $[D_x,\,D_y,\,D_z,\,R_x,\,R_y]$ degrees of freedom of the sample. The $R_z$ position of the sample is computed from the spindle's setpoint $r_{R_z}$ and from the 6 encoders $\bm{d}_e$ integrated in the nano-hexapod.
The sample's position $\bm{y}_{\mathcal{X}}$ is compared to the reference position $\bm{r}_{\mathcal{X}}$ to compute the position error in the frame of the (rotating) nano-hexapod $\bm{\epsilon\mathcal{X}} = [\epsilon_{D_x},\,\epsilon_{D_y},\,\epsilon_{D_z},\,\epsilon_{R_x},\,\epsilon_{R_y},\,\epsilon_{R_z}]$. Finally, the Jacobian matrix $\bm{J}$ of the nano-hexapod is used to map $\bm{\epsilon\mathcal{X}}$ in the frame of the nano-hexapod struts $\bm{\epsilon\mathcal{L}} = [\epsilon_{\mathcal{L}_1},\,\epsilon_{\mathcal{L}_2},\,\epsilon_{\mathcal{L}_3},\,\epsilon_{\mathcal{L}_4},\,\epsilon_{\mathcal{L}_5},\,\epsilon_{\mathcal{L}_6}]$.
Voltages generated by the force sensor piezoelectric stacks $\bm{V}_s = [V_{s1},\ V_{s2},\ V_{s3},\ V_{s4},\ V_{s5},\ V_{s6}]$ will be used for active damping.
Open-Loop Plant Identification
<<ssec:test_id31_open_loop_plant_first_id>>
The dynamics of the plant is first identified for a fixed spindle angle (at $0\,\text{deg}$) and without any payload. The model dynamics is also identified under the same conditions.
A comparison between the model and the measured dynamics is presented in Figure ref:fig:test_id31_first_id. A good match can be observed for the diagonal dynamics (except the high frequency modes which are not modeled). However, the coupling of the transfer function from command signals $\bm{u}$ to the estimated strut motion from the external metrology $\bm{\epsilon\mathcal{L}}$ is larger than expected (Figure ref:fig:test_id31_first_id_int).
The experimental time delay estimated from the FRF (Figure ref:fig:test_id31_first_id_int) is larger than expected. After investigation, it was found that the additional delay was due to a digital processing unit63 that was used to get the interferometers' signals in the Speedgoat. This issue was later solved.
Better Angular Alignment
<<ssec:test_id31_open_loop_plant_rz_alignment>>
One possible explanation of the increased coupling observed in Figure ref:fig:test_id31_first_id_int is the poor alignment between the external metrology axes (i.e. the interferometer supports) and the nano-hexapod axes. To estimate this alignment, a decentralized low-bandwidth feedback controller based on the nano-hexapod encoders was implemented. This allowed to perform two straight motions of the nano-hexapod along its $x$ and $y$ axes. During these two motions, external metrology measurements were recorded and the results are shown in Figure ref:fig:test_id31_Rz_align_error_and_correct. It was found that there was a misalignment of 2.7 degrees (rotation along the vertical axis) between the interferometer axes and nano-hexapod axes. This was corrected by adding an offset to the spindle angle. After alignment, the same motion was performed using the nano-hexapod while recording the signal of the external metrology. Results shown in Figure ref:fig:test_id31_Rz_align_correct are indeed indicating much better alignment.
The dynamics of the plant was identified again after fine alignment and compared with the model dynamics in Figure ref:fig:test_id31_first_id_int_better_rz_align. Compared to the initial identification shown in Figure ref:fig:test_id31_first_id_int, the obtained coupling was decreased and was close to the coupling obtained with the multi-body model. At low frequency (below $10\,\text{Hz}$), all off-diagonal elements have an amplitude $\approx 100$ times lower than the diagonal elements, indicating that a low bandwidth feedback controller can be implemented in a decentralized manner (i.e. $6$ SISO controllers). Between $650\,\text{Hz}$ and $1000\,\text{Hz}$, several modes can be observed, which are due to flexible modes of the top platform and the modes of the two spheres adjustment mechanism. The flexible modes of the top platform can be passively damped, whereas the modes of the two reference spheres should not be present in the final application.
Effect of Payload Mass
<<ssec:test_id31_open_loop_plant_mass>>
To determine how the system dynamics changes with the payload, open-loop identification was performed for four payload conditions shown in Figure ref:fig:test_id31_picture_masses. The obtained direct terms are compared with the model dynamics in Figure ref:fig:test_id31_comp_simscape_diag_masses. It was found that the model well predicts the measured dynamics under all payload conditions. Therefore, the model can be used for model-based control if necessary.
It is interesting to note that the anti-resonances in the force sensor plant now appear as minimum-phase, as the model predicts (Figure ref:fig:test_id31_comp_simscape_iff_diag_masses).
Effect of Spindle Rotation
<<ssec:test_id31_open_loop_plant_rotation>>
To verify that all the kinematics in Figure ref:fig:test_id31_block_schematic_plant are correct and to check whether the system dynamics is affected by Spindle rotation of not, three identification experiments were performed: no spindle rotation, spindle rotation at $36\,\text{deg}/s$ and at $180\,\text{deg}/s$.
The obtained dynamics from command signal $u$ to estimated strut error $\epsilon\mathcal{L}$ are displayed in Figure ref:fig:test_id31_effect_rotation. Both direct terms (Figure ref:fig:test_id31_effect_rotation_direct) and coupling terms (Figure ref:fig:test_id31_effect_rotation_coupling) are unaffected by the rotation. The same can be observed for the dynamics from command signal to encoders and to force sensors. This confirms that spindle's rotation has no significant effect on plant dynamics. This also indicates that the metrology kinematics is correct and is working in real time.
Conclusion
The identified frequency response functions from command signals $\bm{u}$ to the force sensors $\bm{V}_s$ and to the estimated strut errors $\bm{\epsilon\mathcal{L}}$ are well matching the dynamics of the developed multi-body model. The effect of payload mass is shown to be well predicted by the model, which can be useful if robust model based control is to be used. The spindle rotation had no visible effect on the measured dynamics, indicating that controllers should be robust against spindle rotation.
Decentralized Integral Force Feedback
<<sec:test_id31_iff>>
Introduction
In this section, the low authority control part is first validated. It consists of a decentralized Integral Force Feedback controller $\bm{K}_{\text{IFF}}$, with all the diagonal terms being equal eqref:eq:test_id31_Kiff.
\begin{equation}\label{eq:test_id31_iff_diagonal}
\bm{K}_{\text{IFF}} = K_{\text{IFF}} ⋅ \bm{I}_6 = \begin{bmatrix}
K_{\text{IFF}} & & 0
& \ddots &
0 & & K_{\text{IFF}}
\end{bmatrix}
\end{equation}
The decentralized Integral Force Feedback is implemented as shown in the block diagram of Figure ref:fig:test_id31_iff_block_diagram.

IFF Plant
<<ssec:test_id31_iff_plant>>
As the multi-body model is used to evaluate the stability of the IFF controller and to optimize the achievable damping, it is first checked whether this model accurately represents the system dynamics.
In the previous section (Figure ref:fig:test_id31_comp_simscape_iff_diag_masses), it was shown that the model well captures the dynamics from each actuator to its collocated force sensor, and that for all considered payloads. Nevertheless, it is also important to model accurately the coupling in the system. To verify that, instead of comparing the 36 elements of the $6 \times 6$ frequency response matrix from $\bm{u}$ to $\bm{V_s}$, only 6 elements are compared in Figure ref:fig:test_id31_comp_simscape_Vs. Similar results were obtained for all other 30 elements and for the different payload conditions. This confirms that the multi-body model can be used to tune the IFF controller.
IFF Controller
<<ssec:test_id31_iff_controller>>
A decentralized IFF controller was designed to add damping to the suspension modes of the nano-hexapod for all considered payloads. The frequency of the suspension modes are ranging from $\approx 30\,\text{Hz}$ to $\approx 250\,\text{Hz}$ (Figure ref:fig:test_id31_comp_simscape_iff_diag_masses), and therefore, the IFF controller should provide integral action in this frequency range. A second-order high-pass filter (cut-off frequency of $10\,\text{Hz}$) was added to limit the low frequency gain eqref:eq:test_id31_Kiff.
\begin{equation}\label{eq:test_id31_Kiff} K_{\text{IFF}} = g_0 ⋅ _brace{\frac{1}{s}}_{\text{int}} ⋅ _brace{\frac{s^2/ω_z^2}{s^2/ω_z^2 + 2ξ_z s /ω_z + 1}}_{\text{2nd order LPF}},\quad ≤ft(g_0 = -100,\ ω_z = 2π10\,\text{rad/s},\ ξ_z = 0.7\right)
\end{equation}
The bode plot of the decentralized IFF controller is shown in Figure ref:fig:test_id31_Kiff_bode_plot and the "decentralized loop-gains" for all considered payload masses are shown in Figure ref:fig:test_id31_Kiff_loop_gain. It can be seen that the loop-gain is larger than $1$ around the suspension modes, which indicates that some damping should be added to the suspension modes.
To estimate the added damping, a root-locus plot was computed using the multi-body model (Figure ref:fig:test_id31_iff_root_locus). It can be seen that for all considered payloads, the poles are bounded to the "left-half plane" indicating that the decentralized IFF is robust. The closed-loop poles for the chosen gain value are represented by black crosses. It can be seen that while damping can be added for all payloads (as compared to the open-loop case), the optimal value of the gain is different for each payload. For low payload masses, a higher IFF controller gain can lead to better damping. However, in this study, it was chosen to implement a "fixed" (i.e. non-adaptive) decentralized IFF controller.
Damped Plant
<<ssec:test_id31_iff_perf>>
As the model accurately represents the system dynamics, it can be used to estimate the damped plant, i.e. the transfer functions from $\bm{u}^\prime$ to $\bm{\mathcal{L}}$. The obtained damped plants are compared to the open-loop plants in Figure ref:fig:test_id31_comp_ol_iff_plant_model. The peak amplitudes corresponding to the suspension modes were approximately reduced by a factor $10$ for all considered payloads, indicating the effectiveness of the decentralized IFF control strategy.
To experimentally validate the Decentralized IFF controller, it was implemented and the damped plants (i.e. the transfer function from $\bm{u}^\prime$ to $\bm{\epsilon\mathcal{L}}$) were identified for all payload conditions. The obtained frequency response functions are compared with the model in Figure ref:fig:test_id31_hac_plant_effect_mass verifying the good correlation between the predicted damped plant using the multi-body model and the experimental results.
Conclusion
The implementation of a decentralized Integral Force Feedback controller was successfully demonstrated. Using the multi-body model, the controller was designed and optimized to ensure stability across all payload conditions while providing significant damping of suspension modes. The experimental results validated the model predictions, showing a reduction in peak amplitudes by approximately a factor of 10 across the full payload range (0-39 kg). Although higher gains could achieve better damping performance for lighter payloads, the chosen fixed-gain configuration represents a robust compromise that maintains stability and performance under all operating conditions. The good correlation between the modeled and measured damped plants confirms the effectiveness of using the multi-body model for both controller design and performance prediction.
High Authority Control in the frame of the struts
<<sec:test_id31_hac>>
Introduction
In this section, a High-Authority-Controller is developed to actively stabilize the sample position. The corresponding control architecture is shown in Figure ref:fig:test_id31_iff_hac_schematic.
As the diagonal terms of the damped plants were found to be all equal (thanks to the system's symmetry and manufacturing and mounting uniformity, see Figure ref:fig:test_id31_hac_plant_effect_mass), a diagonal high authority controller $\bm{K}_{\text{HAC}}$ is implemented with all diagonal terms being equal eqref:eq:eq:test_id31_hac_diagonal.
\begin{equation}\label{eq:eq:test_id31_hac_diagonal}
\bm{K}_{\text{HAC}} = K_{\text{HAC}} ⋅ \bm{I}_6 = \begin{bmatrix}
K_{\text{HAC}} & & 0
& \ddots &
0 & & K_{\text{HAC}}
\end{bmatrix}
\end{equation}

Damped Plant
<<ssec:test_id31_iff_hac_plant>>
To verify whether the multi-body model accurately represents the measured damped dynamics, both the direct terms and coupling terms corresponding to the first actuator are compared in Figure ref:fig:test_id31_comp_simscape_hac. Considering the complexity of the system's dynamics, the model can be considered to represent the system's dynamics with good accuracy, and can therefore be used to tune the feedback controller and evaluate its performance.
The challenge here is to tune a high authority controller such that it is robust to the change in dynamics due to different payloads being used. Without using the HAC-LAC strategy, it would be necessary to design a controller that provides good performance for all undamped dynamics (blue curves in Figure ref:fig:test_id31_comp_all_undamped_damped_plants), which is a very complex control problem. With the HAC-LAC strategy, the designed controller must be robust to all the damped dynamics (red curves in Figure ref:fig:test_id31_comp_all_undamped_damped_plants), which is easier from a control perspective. This is one of the key benefits of using the HAC-LAC strategy.
Interaction Analysis
<<sec:test_id31_hac_interaction_analysis>>
The control strategy here is to apply a diagonal control in the frame of the struts; thus, it is important to determine the frequency at which the multivariable effects become significant, as this represents a critical limitation of the control approach. To conduct this interaction analysis, the acrfull:rga $\bm{\Lambda_G}$ is first computed using eqref:eq:test_id31_rga for the plant dynamics identified with the multiple payload masses.
\begin{equation}\label{eq:test_id31_rga} \bm{Λ_G}(ω) = \bm{G}(jω) ⋆ ≤ft(\bm{G}(jω)-1\right)∫ercal, \quad (⋆ \text{ means element wise multiplication})
\end{equation}
Then, acrshort:rga numbers are computed using eqref:eq:test_id31_rga_number and are use as a metric for interaction cite:&skogestad07_multiv_feedb_contr chapt. 3.4.
\begin{equation}\label{eq:test_id31_rga_number} \text{RGA number}(ω) = \|\bm{Λ_G}(ω) - \bm{I}\|_{\text{sum}}
\end{equation}
The obtained acrshort:rga numbers are compared in Figure ref:fig:test_id31_hac_rga_number. The results indicate that higher payload masses increase the coupling when implementing control in the strut reference frame (i.e., decentralized approach). This indicates that achieving high bandwidth feedback control is increasingly challenging as the payload mass increases. This behavior can be attributed to the fundamental approach of implementing control in the frame of the struts. Above the suspension modes of the nano-hexapod, the motion induced by the piezoelectric actuators is no longer dictated by kinematics but rather by the inertia of the different parts. This design choice, while beneficial for system simplicity, introduces inherent limitations in the system's ability to handle larger masses at high frequency.
Robust Controller Design
<<ssec:test_id31_iff_hac_controller>>
A diagonal controller was designed to be robust against changes in payload mass, which means that every damped plant shown in Figure ref:fig:test_id31_comp_all_undamped_damped_plants must be considered during the controller design. For this controller design, a crossover frequency of $5\,\text{Hz}$ was chosen to limit the multivariable effects, as explain in Section ref:sec:test_id31_hac_interaction_analysis. One integrator is added to increase the low-frequency gain, a lead is added around $5\,\text{Hz}$ to increase the stability margins and a first-order low-pass filter with a cut-off frequency of $30\,\text{Hz}$ is added to improve the robustness to dynamical uncertainty at high frequency. The controller transfer function is shown in eqref:eq:test_id31_robust_hac.
\begin{equation}\label{eq:test_id31_robust_hac} K_{\text{HAC}}(s) = g_0 ⋅ _brace{\frac{ω_c}{s}}_{\text{int}} ⋅ _brace{\frac{1}{\sqrt{α}}\frac{1 + \frac{s}{ω_c/\sqrt{α}}}{1 + \frac{s}{ω_c\sqrt{α}}}}_{\text{lead}} ⋅ _brace{\frac{1}{1 + \frac{s}{ω_0}}}_{\text{LPF}}, \quad ≤ft( ω_c = 2π5\,\text{rad/s},\ α = 2,\ ω_0 = 2π30\,\text{rad/s} \right)
\end{equation}
The obtained "decentralized" loop-gains (i.e. the diagonal element of the controller times the diagonal terms of the plant) are shown in Figure ref:fig:test_id31_hac_loop_gain. The closed-loop stability was verified by computing the characteristic Loci (Figure ref:fig:test_id31_hac_characteristic_loci). However, small stability margins were observed for the highest mass, indicating that some multivariable effects are in play.
Performance estimation with simulation of Tomography scans
<<ssec:test_id31_iff_hac_perf>>
To estimate the performances that can be expected with this HAC-LAC architecture and the designed controller, simulations of tomography experiments were performed64. The rotational velocity was set to $180\,\text{deg/s}$, and no payload was added on top of the nano-hexapod. An open-loop simulation and a closed-loop simulation were performed and compared in Figure ref:fig:test_id31_tomo_m0_30rpm_robust_hac_iff_sim. The obtained closed-loop positioning accuracy was found to comply with the requirements as it succeeded to keep the point of interest on the beam (Figure ref:fig:test_id31_tomo_m0_30rpm_robust_hac_iff_sim_yz).
Robustness estimation with simulation of Tomography scans
<<ssec:test_id31_iff_hac_robustness>>
To verify the robustness against payload mass variations, four simulations of tomography experiments were performed with payloads as shown Figure ref:fig:test_id31_picture_masses (i.e. $0\,kg$, $13\,kg$, $26\,kg$ and $39\,kg$). The rotational velocity was set at $6\,\text{deg/s}$, which is the typical rotational velocity for heavy samples.
The closed-loop systems were stable under all payload conditions, indicating good control robustness. However, the positioning errors worsen as the payload mass increases, especially in the lateral $D_y$ direction, as shown in Figure ref:fig:test_id31_hac_tomography_Wz36_simulation. However, it was decided that this controller should be tested experimentally and improved only if necessary.
Conclusion
In this section, a High-Authority-Controller was developed to actively stabilize the sample position. The multi-body model was first validated by comparing it with the measured frequency responses of the damped plant, which showed good agreement for both direct terms and coupling terms. This validation confirmed that the model can be reliably used to tune the feedback controller and evaluate its performance.
An interaction analysis using the RGA-number was then performed, which revealed that higher payload masses lead to increased coupling when implementing control in the strut reference frame. Based on this analysis, a diagonal controller with a crossover frequency of 5 Hz was designed, incorporating an integrator, a lead compensator, and a first-order low-pass filter.
Finally, tomography experiments were simulated to validate the HAC-LAC architecture. The closed-loop system remained stable under all tested payload conditions (0 to 39 kg). With no payload at $180\,\text{deg/s}$, the NASS successfully maintained the sample point of interest in the beam, which fulfilled the specifications. At $6\,\text{deg/s}$, although the positioning errors increased with the payload mass (particularly in the lateral direction), the system remained stable. These results demonstrate both the effectiveness and limitations of implementing control in the frame of the struts.
Validation with Scientific experiments
<<sec:test_id31_experiments>>
Introduction
In this section, the goal is to evaluate the performance of the NASS and validate its use to perform typical scientific experiments. However, the online metrology prototype (presented in Section ref:sec:test_id31_metrology) does not allow samples to be placed on top of the nano-hexapod while being illuminated by the x-ray beam. Nevertheless, to fully validate the NASS, typical motions performed during scientific experiments can be mimicked, and the positioning performances can be evaluated.
Several scientific experiments were replicated, such as:
- Tomography scans: continuous rotation of the Spindle along the vertical axis (Section ref:ssec:test_id31_scans_tomography)
- Reflectivity scans: $R_y$ rotations using the tilt-stage (Section ref:ssec:test_id31_scans_reflectivity)
- Vertical layer scans: $D_z$ step motion or ramp scans using the nano-hexapod (Section ref:ssec:test_id31_scans_dz)
- Lateral scans: $D_y$ scans using the $T_y$ translation stage (Section ref:ssec:test_id31_scans_dy)
- Diffraction Tomography:continuous $R_z$ rotation using the Spindle and lateral $D_y$ scans performed at the same time using the translation stage (Section ref:ssec:test_id31_scans_diffraction_tomo)
Unless explicitly stated, all closed-loop experiments were performed using the robust (i.e. conservative) high authority controller designed in Section ref:ssec:test_id31_iff_hac_controller. Higher performance controllers using complementary filters are investigated in Section ref:ssec:test_id31_cf_control.
For each experiment, the obtained performances are compared to the specifications for the most demanding case in which nano-focusing optics are used to focus the beam down to $200\,nm\times 100\,nm$. In this case, the goal is to keep the sample's point of interest in the beam, and therefore the $D_y$ and $D_z$ positioning errors should be less than $200\,nm$ and $100\,nm$ peak-to-peak, respectively. The $R_y$ error should be less than $1.7\,\mu\text{rad}$ peak-to-peak. In terms of RMS errors, this corresponds to $30\,nm$ in $D_y$, $15\,nm$ in $D_z$ and $250\,\text{nrad}$ in $R_y$ (a summary of the specifications is given in Table ref:tab:test_id31_experiments_specifications).
Results obtained for all experiments are summarized and compared to the specifications in Section ref:ssec:test_id31_scans_conclusion.
| $D_y$ | $D_z$ | $R_y$ | |
|---|---|---|---|
| peak 2 peak | 200nm | 100nm | $1.7\,\mu\text{rad}$ |
| RMS | 30nm | 15nm | $250\,\text{nrad}$ |
Tomography Scans
<<ssec:test_id31_scans_tomography>>
Slow Tomography scans
First, tomography scans were performed with a rotational velocity of $6\,\text{deg/s}$ for all considered payload masses (shown in Figure ref:fig:test_id31_picture_masses). Each experimental sequence consisted of two complete spindle rotations: an initial open-loop rotation followed by a closed-loop rotation. The experimental results for the $26\,\text{kg}$ payload are presented in Figure ref:fig:test_id31_tomo_m2_1rpm_robust_hac_iff_fit.
Due to the static deformation of the micro-station stages under payload loading, a significant eccentricity was observed between the point of interest and the spindle rotation axis. To establish a theoretical lower bound for open-loop errors, an ideal scenario was assumed, where the point of interest perfectly aligns with the spindle rotation axis. This idealized case was simulated by first calculating the eccentricity through circular fitting (represented by the dashed black circle in Figure ref:fig:test_id31_tomo_m2_1rpm_robust_hac_iff_fit), and then subtracting it from the measured data, as shown in Figure ref:fig:test_id31_tomo_m2_1rpm_robust_hac_iff_fit_removed. While this approach likely underestimates actual open-loop errors, as perfect alignment is practically unattainable, it enables a more balanced comparison with closed-loop performance.
The residual motion (i.e. after compensating for eccentricity) in the $Y-Z$ is compared against the minimum beam size, as illustrated in Figure ref:fig:test_id31_tomo_Wz36_results. Results are indicating the NASS succeeds in keeping the sample's point of interest on the beam, except for the highest mass of $39\,\text{kg}$ for which the lateral motion is a bit too high. These experimental findings are consistent with the predictions from the tomography simulations presented in Section ref:ssec:test_id31_iff_hac_robustness.
Fast Tomography scans
A tomography experiment was then performed with the highest rotational velocity of the Spindle: $180\,\text{deg/s}$65. The trajectory of the point of interest during the fast tomography scan is shown in Figure ref:fig:test_id31_tomo_m0_30rpm_robust_hac_iff_exp. Although the experimental results closely match the simulation results (Figure ref:fig:test_id31_tomo_m0_30rpm_robust_hac_iff_sim), the actual performance was slightly lower than predicted. Nevertheless, even with this robust (i.e. conservative) HAC implementation, the system performance was already close to the specified requirements.
Cumulative Amplitude Spectra
A comparative analysis was conducted using three tomography scans at $180\,\text{deg/s}$ to evaluate the effectiveness of the HAC-LAC strategy in reducing positioning errors. The scans were performed under three conditions: open-loop, with decentralized IFF control, and with the complete HAC-LAC strategy. For this specific measurement, an enhanced high authority controller (discussed in Section ref:ssec:test_id31_cf_control) was optimized for low payload masses to meet the performance requirements.
Figure ref:fig:test_id31_hac_cas_cl presents the cumulative amplitude spectra of the position errors for all three cases. The results reveal two distinct control contributions: the decentralized IFF effectively attenuates vibrations near the nano-hexapod suspension modes (an achievement not possible with HAC alone), while the high authority controller suppresses low-frequency vibrations primarily arising from Spindle guiding errors. Notably, the spectral patterns in Figure ref:fig:test_id31_hac_cas_cl closely resemble the cumulative amplitude spectra computed in the project's early stages.
This experiment also illustrates that when needed, performance can be enhanced by designing controllers for specific experimental conditions rather than relying solely on robust controllers that can accommodate all payload ranges.
Reflectivity Scans
<<ssec:test_id31_scans_reflectivity>>
X-ray reflectivity measurements involve scanning thin structures, particularly solid/liquid interfaces, through the beam by varying the $R_y$ angle. In this experiment, a $R_y$ scan was executed at a rotational velocity of $100\,\mu rad/s$, and the closed-loop positioning errors were monitored (Figure ref:fig:test_id31_reflectivity). The results confirmed that the NASS successfully maintained the point of interest within the specified beam parameters throughout the scanning process.
Dirty Layer Scans
<<ssec:test_id31_scans_dz>>
Introduction
In some cases, samples are composed of several atomic "layers" that are first aligned in the horizontal plane through $R_x$ and $R_y$ positioning, followed by vertical scanning with precise $D_z$ motion. These vertical scans can be executed either continuously or in a step-by-step manner.
Step by Step $D_z$ motion
The vertical step motion was performed exclusively with the nano-hexapod. Testing was conducted across step sizes ranging from $10\,nm$ to $1\,\mu m$. Results are presented in Figure ref:fig:test_id31_dz_mim_steps. The system successfully resolved 10nm steps (red curve in Figure ref:fig:test_id31_dz_mim_10nm_steps) if a 50ms integration time is considered for the detectors, which is compatible with many experimental requirements.
In step-by-step scanning procedures, the settling time is a critical parameter as it significantly affects the total experiment duration. The system achieved a response time of approximately $70\,ms$ to reach the target position (within $\pm 20\,nm$), as demonstrated by the $1\,\mu m$ step response in Figure ref:fig:test_id31_dz_mim_1000nm_steps. The settling duration typically decreases for smaller step sizes.
Continuous $D_z$ motion: Dirty Layer Scans
For these and subsequent experiments, the NASS performs "ramp scans" (constant velocity scans). To eliminate tracking errors, the feedback controller incorporates two integrators, compensating for the plant's lack of integral action at low frequencies.
Initial testing at $10\,\mu m/s$ demonstrated positioning errors well within specifications (indicated by dashed lines in Figure ref:fig:test_id31_dz_scan_10ums).
A subsequent scan at $100\,\mu m/s$ - the maximum velocity for high-precision $D_z$ scans66 - maintains positioning errors within specifications during the constant velocity phase, with deviations occurring only during acceleration and deceleration phases (Figure ref:fig:test_id31_dz_scan_100ums). Since detectors typically operate only during the constant velocity phase, these transient deviations do not compromise the measurement quality. However, performance during acceleration phases could be enhanced through the implementation of feedforward control.
Lateral Scans
<<ssec:test_id31_scans_dy>>
Introduction
Lateral scans are executed using the $T_y$ stage. The stepper motor controller67 generates a setpoint that is transmitted to the Speedgoat. Within the Speedgoat, the system computes the positioning error by comparing the measured $D_y$ sample position against the received setpoint, and the Nano-Hexapod compensates for positioning errors introduced during $T_y$ stage scanning. The scanning range is constrained $\pm 100\,\mu m$ due to the limited acceptance of the metrology system.
Slow scan
Initial testing were made with a scanning velocity of $10\,\mu m/s$, which is typical for these experiments. Figure ref:fig:test_id31_dy_10ums compares the positioning errors between open-loop (without NASS) and closed-loop operation. In the scanning direction, open-loop measurements reveal periodic errors (Figure ref:fig:test_id31_dy_10ums_dy) attributable to the $T_y$ stage's stepper motor. These micro-stepping errors, which are inherent to stepper motor operation, occur 200 times per motor rotation with approximately $1\,\text{mrad}$ angular error amplitude. Given the $T_y$ stage's lead screw pitch of $2\,mm$, these errors manifest as $10\,\mu m$ periodic oscillations with $\approx 300\,nm$ amplitude, which can indeed be seen in the open-loop measurements (Figure ref:fig:test_id31_dy_10ums_dy).
In the vertical direction (Figure ref:fig:test_id31_dy_10ums_dz), open-loop errors likely stem from metrology measurement error because the top interferometer points at a spherical target surface (see Figure ref:fig:test_id31_xy_map_sphere). Under closed-loop control, positioning errors remain within specifications in all directions.
Fast Scan
The system performance was evaluated at an increased scanning velocity of $100\,\mu m/s$, and the results are presented in Figure ref:fig:test_id31_dy_100ums. At this velocity, the micro-stepping errors generate $10\,\text{Hz}$ vibrations, which are further amplified by micro-station resonances. These vibrations exceeded the NASS feedback controller bandwidth, resulting in limited attenuation under closed-loop control. This limitation exemplifies why stepper motors are suboptimal for "long-stroke/short-stroke" systems requiring precise scanning performance cite:&dehaeze22_fastj_uhv.
Two potential solutions exist for improving high-velocity scanning performance. First, the $T_y$ stage's stepper motor could be replaced by a three-phase torque motor. Alternatively, since closed-loop errors in $D_z$ and $R_y$ directions remain within specifications (Figures ref:fig:test_id31_dy_100ums_dz and ref:fig:test_id31_dy_100ums_ry), detector triggering could be based on measured $D_y$ position rather than time or $T_y$ setpoint, reducing sensitivity to $D_y$ vibrations. For applications requiring small $D_y$ scans, the nano-hexapod can be used exclusively, although with limited stroke capability.
Diffraction Tomography
<<ssec:test_id31_scans_diffraction_tomo>>
In diffraction tomography experiments, the micro-station performs combined motions: continuous rotation around the $R_z$ axis while performing lateral scans along $D_y$. For this validation, the spindle maintained a constant rotational velocity of $6\,\text{deg/s}$ while the nano-hexapod performs the lateral scanning motion. To avoid high-frequency vibrations typically induced by the stepper motor, the $T_y$ stage was not used, which constrained the scanning range to approximately $\pm 100\,\mu m/s$. The system performance was evaluated at three lateral scanning velocities: $0.1\,mm/s$, $0.5\,mm/s$, and $1\,mm/s$. Figure ref:fig:test_id31_diffraction_tomo_setpoint presents both the $D_y$ position setpoints and the corresponding measured $D_y$ positions for all tested velocities.
The positioning errors measured along $D_y$, $D_z$, and $R_y$ directions are displayed in Figure ref:fig:test_id31_diffraction_tomo. The system maintained positioning errors within specifications for both $D_z$ and $R_y$ (Figures ref:fig:test_id31_diffraction_tomo_dz and ref:fig:test_id31_diffraction_tomo_ry). However, the lateral positioning errors exceeded specifications during the acceleration and deceleration phases (Figure ref:fig:test_id31_diffraction_tomo_dy). These large errors occurred only during $\approx 20\,ms$ intervals; thus, a delay of $20\,ms$ could be implemented in the detector the avoid integrating the beam when these large errors are occurring. Alternatively, a feedforward controller could improve the lateral positioning accuracy during these transient phases.
Feedback control using Complementary Filters
<<ssec:test_id31_cf_control>>
A control architecture based on complementary filters to shape the closed-loop transfer functions was proposed during the detail design phase. Experimental validation of this architecture using the NASS is presented herein.
Given that performance requirements are specified in the Cartesian frame, decoupling of the plant within this frame was achieved using Jacobian matrices. Consequently, the control space comprises the directions $D_x$, $D_y$, $D_z$, $R_x$, and $R_y$. Control performance in each of these directions can be tuned independently. A schematic of the proposed control architecture is illustrated in Figure ref:fig:test_id31_cf_control.

Implementation of this control architecture necessitates a plant model, which must subsequently be inverted. This plant model was derived from the multi-body model incorporating the previously detailed 2-DoF APA model, such that the model order stays relatively low. Proposed analytical formulas for complementary filters having $40\,\text{dB/dec}$ were used during this experimental validation.
An initial experimental validation was conducted under no-payload conditions, with control applied solely to the $D_y$, $D_z$, and $R_y$ directions. Increased control bandwidth was achieved for the $D_z$ and $R_y$ directions through appropriate tuning of the parameter $\omega_0$. The experimentally measured closed-loop sensitivity transfer functions corresponding to these three controlled directions are presented in Figure ref:fig:test_id31_cf_control_dy_dz_diff.
Another test was conducted with a $26\,\text{kg}$ payload. For this configuration, complementary filters were implemented with $\omega_0 = 2\pi \cdot 10\,\text{rad/s}$, and parameter $\alpha$ was varied. The resulting experimentally obtained closed-loop transfer functions are compared against the theoretical complementary filter responses in Figure ref:fig:test_id31_cf_control_alpha. As illustrated in the figure, a close correspondence between the measured closed-loop responses and the target complementary filter magnitude was observed. It also shows that the parameter $\alpha$ provides a mechanism for managing the trade-off between low-frequency disturbance rejection performance and the potential amplification of disturbances within the crossover frequency region.
Finally, $\omega_0$ was gradually increased to estimate the maximum bandwidth (i.e. the best low frequency disturbance rejection) that can be achieved with this architecture. No payload was used for this test, and the parameter $\omega_0$ was increased for the controllers in the $D_y$ and $D_z$ directions. A value $\omega_0 = 2\pi \cdot 60 \,\text{rad/s}$ could be achieved. Measured closed-loop transfer functions are shown in Figure ref:fig:test_id31_high_bandwidth, indicating a reduction of disturbances in the considered direction of $1000$ at $1\,\text{Hz}$. For higher values of $\omega_0$, the system became unstable in the vertical direction, probably because of the resonance at $250\,\text{Hz}$ that is not well captured with the multi-body model (Figure ref:fig:test_id31_hac_plant_effect_mass).
Conclusion
<<ssec:test_id31_scans_conclusion>>
A comprehensive series of experimental validations was conducted to evaluate the NASS performance over a wide range of typical scientific experiments. The system demonstrated robust performance in most scenarios, with positioning errors generally remaining within specified tolerances (30 nm RMS in $D_y$, 15 nm RMS in $D_z$, and 250 nrad RMS in $R_y$).
For tomography experiments, the NASS successfully maintained good positioning accuracy at rotational velocities up to $180\,\text{deg/s}$ with light payloads, though performance degraded somewhat with heavier masses. The HAC-LAC control architecture proved particularly effective, with the decentralized IFF providing damping of nano-hexapod suspension modes, while the high authority controller addressed low-frequency disturbances.
The vertical scanning capabilities were validated in both step-by-step and continuous motion modes. The system successfully resolved 10 nm steps with 50 ms detector integration time, while maintaining positioning accuracy during continuous scans at speeds up to $100\,\mu m/s$.
For lateral scanning, the system performed well at moderate speeds ($10\,\mu m/s$) but showed limitations at higher velocities ($100\,\mu m/s$) due to stepper motor-induced vibrations in the $T_y$ stage.
The most challenging test case - diffraction tomography combining rotation and lateral scanning - demonstrated the system's ability to maintain vertical and angular stability while highlighting some limitations in lateral positioning during rapid accelerations. These limitations could be addressed through feedforward control or alternative detector triggering strategies.
Overall, the experimental results validate the effectiveness of the developed control architecture and demonstrate that the NASS meets most design specifications across a wide range of operating conditions (summarized in Table ref:tab:test_id31_experiments_results_summary). The identified limitations, primarily related to high-speed lateral scanning and heavy payload handling, provide clear directions for future improvements.
| Experiments | $\bm{D_y}$ [nmRMS] | $\bm{D_z}$ [nmRMS] | $\bm{R_y}$ [nradRMS] |
|---|---|---|---|
| Tomography ($6\,\text{deg/s}$) | $142 \Rightarrow 15$ | $32 \Rightarrow 5$ | $464 \Rightarrow 56$ |
| Tomography ($6\,\text{deg/s}$, 13kg) | $149 \Rightarrow 25$ | $26 \Rightarrow 6$ | $471 \Rightarrow 55$ |
| Tomography ($6\,\text{deg/s}$, 26kg) | $202 \Rightarrow 25$ | $36 \Rightarrow 7$ | $1737 \Rightarrow 104$ |
| Tomography ($6\,\text{deg/s}$, 39kg) | $297 \Rightarrow \bm{53}$ | $38 \Rightarrow 9$ | $1737 \Rightarrow 170$ |
| Tomography ($180\,\text{deg/s}$) | $143 \Rightarrow \bm{38}$ | $24 \Rightarrow 11$ | $252 \Rightarrow 130$ |
| Tomography ($180\,\text{deg/s}$, custom HAC) | $143 \Rightarrow 29$ | $24 \Rightarrow 5$ | $252 \Rightarrow 142$ |
| Reflectivity ($100\,\mu\text{rad}/s$) | $28$ | $6$ | $118$ |
| $D_z$ scan ($10\,\mu m/s$) | $25$ | $5$ | $108$ |
| $D_z$ scan ($100\,\mu m/s$) | $\bm{35}$ | $9$ | $132$ |
| Lateral Scan ($10\,\mu m/s$) | $585 \Rightarrow 21$ | $155 \Rightarrow 10$ | $6300 \Rightarrow 60$ |
| Lateral Scan ($100\,\mu m/s$) | $1063 \Rightarrow \bm{732}$ | $167 \Rightarrow \bm{20}$ | $6445 \Rightarrow \bm{356}$ |
| Diffraction tomography ($6\,\text{deg/s}$, $0.1\,mm/s$) | $\bm{36}$ | $7$ | $113$ |
| Diffraction tomography ($6\,\text{deg/s}$, $0.5\,mm/s$) | $29$ | $8$ | $81$ |
| Diffraction tomography ($6\,\text{deg/s}$, $1\,mm/s$) | $\bm{53}$ | $10$ | $135$ |
| Specifications | $30$ | $15$ | $250$ |
Conclusion
<<ssec:test_id31_conclusion>>
This chapter presented a comprehensive experimental validation of the Nano Active Stabilization System (NASS) on the ID31 beamline, demonstrating its capability to maintain precise sample positioning during various experimental scenarios. The implementation and testing followed a systematic approach, beginning with the development of a short-stroke metrology system to measure the sample position, followed by the successful implementation of a HAC-LAC control architecture, and concluding in extensive performance validation across diverse experimental conditions.
The short-stroke metrology system, while designed as a temporary solution, proved effective in providing high-bandwidth and low-noise 5-DoF position measurements. The careful alignment of the fibered interferometers targeting the two reference spheres ensured reliable measurements throughout the testing campaign.
The implementation of the control architecture validated the theoretical framework developed earlier in this project. The decentralized Integral Force Feedback (IFF) controller successfully provided robust damping of suspension modes across all payload conditions (0-39 kg), reducing peak amplitudes by approximately a factor of 10. The High Authority Controller (HAC) effectively rejects low-frequency disturbances, although its performance showed some dependency on payload mass, particularly for lateral motion control.
The experimental validation covered a wide range of scientific scenarios. The system demonstrated remarkable performance under most conditions, meeting the stringent positioning requirements (30 nm RMS in $D_y$, 15 nm RMS in $D_z$, and 250 nrad RMS in $R_y$) for the majority of test cases. Some limitations were identified, particularly in handling heavy payloads during rapid motions and in managing high-speed lateral scanning with the existing stepper motor $T_y$ stage.
The successful validation of the NASS demonstrates that once an accurate online metrology system is developed, it will be ready for integration into actual beamline operations. The system's ability to maintain precise sample positioning across a wide range of experimental conditions, combined with its robust performance and adaptive capabilities, suggests that it will significantly enhance the quality and efficiency of X-ray experiments at ID31. Moreover, the systematic approach to system development and validation, along with a detailed understanding of performance limitations, provides valuable insights for future improvements and potential applications in similar high-precision positioning systems.
Experimental Validation - Conclusion
<<sec:test_conclusion>>
The experimental validation detailed in this chapter confirms that the Nano Active Stabilization System successfully augments the positioning capabilities of the micro-station, thereby enabling full use of the ESRF's new light source potential. A methodical approach was employed—first characterizing individual components and subsequently testing the integrated system—to comprehensively evaluate the NASS performance.
Initially, the Amplified Piezoelectric Actuators (APA300ML) were characterized, revealing consistent mechanical and electrical properties across multiple units. The implementation of Integral Force Feedback was shown to add significant damping to the system. Two models of the APA300ML were developed and validated: a simplified two degrees-of-freedom model and a more complex super-element extracted from finite element analysis. Both models accurately represented the axial dynamics of the actuators, with the super-element model additionally capturing flexible modes.
The flexible joints were examined for geometric accuracy and bending stiffness, with measurements confirming compliance with design specifications. The experimental values demonstrated good agreement with finite element predictions, validating the joint design and enabling accurate modeling of their behavior within the system.
The strut assembly process was optimized to ensure consistent performance across the six struts. Dynamic testing revealed complex behavior in the transfer function from piezoelectric voltage to encoder displacement, attributed to misalignment between flexible joints and actuators. This finding led to the strategic decision to mount encoders on the nano-hexapod plates rather than on the struts.
The nano-hexapod was then assembled and mounted on a suspended table to characterize its dynamic behavior. The measurement setup enabled isolation of the hexapod's dynamics from potential influence of complex support dynamics. The experimental frequency response functions exhibited good correlation with the multi-body model, confirming that the model can be used for control system design.
Finally, the complete NASS was validated on the ID31 beamline using a short-stroke metrology system. The HAC-LAC control architecture successfully provided robust active damping of suspension modes and rejection of low-frequency disturbances across various payload conditions. Comprehensive testing under typical experimental scenarios—including tomography scans, reflectivity scans, and diffraction tomography—demonstrated the NASS ability to maintain the positioning errors within specifications ($30\,\text{nm RMS}$ in lateral direction, $15\,\text{nm RMS}$ in vertical direction, and $250\,\text{nrad RMS}$ in tilt direction). The system performed exceptionally well during vertical scans, though some limitations were identified during rapid lateral scanning and with heavier payloads.
With the implementation of an accurate online metrology system, the NASS will be ready for integration into the beamline environment, significantly enhancing the capabilities of high-precision X-ray experimentation on the ID31 beamline.
Conclusion and Future Work
<<chap:conclusion>>
Summary of Findings
The primary objective of this research was to enhance the positioning accuracy of the ID31 micro-station by approximately two orders of magnitude, enabling full exploitation of the new $4^{\text{th}}$ generation light source, without compromising the system's mobility or its capacity to handle payloads up to $50\,\text{kg}$.
To meet this demanding objective, the concept of a Nano Active Stabilization System (NASS) was proposed and developed. This system comprises an active stabilization platform positioned between the existing micro-station and the sample. Integrated with an external online metrology system and an custom control architecture, the NASS was designed to actively measure and compensate for positioning errors originating from various sources, including micro-station imperfections, thermal drift, and vibrations.
The conceptual design phase rigorously evaluated the feasibility of the NASS concept. Through progressive modeling, from simplified uniaxial representations to complex multi-body dynamic simulations, key design insights were obtained. It was determined that an active platform with moderate stiffness offered an optimal compromise, decoupling the system from micro-station dynamics while mitigating gyroscopic effects from continuous rotation. The multi-body modeling approach, informed by experimental modal analysis of the micro-station, was essential for capturing the system's complex dynamics. The Stewart platform architecture was selected for the active stage, and its viability was confirmed through closed-loop simulations employing a High-Authority Control / Low-Authority Control (HAC-LAC) strategy. This strategy used a modified form of Integral Force Feedback (IFF), adapted to provide robust active damping despite the platform rotation and varying payloads. These simulations demonstrated the NASS concept could meet the nanometer-level stability requirements under realistic operating conditions.
Following the conceptual validation, the detailed design phase focused on translating the NASS concept into an optimized, physically realizable system. Geometric optimization studies refined the Stewart platform configuration. A hybrid modeling technique combining Finite Element Analysis (FEA) with multi-body dynamics simulation was applied and experimentally validated. This approach enabled detailed optimization of components, such as Amplified Piezoelectric Actuators (APA) and flexible joints, while efficiently simulating the complete system dynamics. By dedicating one stack of the APA specifically to force sensing, excellent collocation with the actuator stacks was achieved, which is critical for implementing robust decentralized IFF. Work was also undertaken on the optimization of the control strategy for the active platform. Instrumentation selection (sensors, actuators, control hardware) was guided by dynamic error budgeting to ensure component noise levels met the overall nanometer-level performance target.
The final phase of the project was dedicated to the experimental validation of the developed NASS. Component tests confirmed the performance of the selected actuators and flexible joints, validated their respective models. Dynamic testing of the assembled nano-hexapod on an isolated test bench provided essential experimental data that correlated well with the predictions of the multi-body model. The final validation was performed on the ID31 beamline, using a short-stroke metrology system to assess performance under realistic experimental conditions. These tests demonstrated that the NASS, operating with the implemented HAC-LAC control architecture, successfully achieved the target positioning stability – maintaining residual errors below $30\,\text{nm RMS}$ laterally, $15\,\text{nm RMS}$ vertically, and $250\,\text{nrad RMS}$ in tilt – during various experiments, including tomography scans with significant payloads. Crucially, the system's robustness to variations in payload mass and operational modes was confirmed.
Perspectives
Although this research successfully validated the NASS concept, it concurrently highlighted specific areas where the system could be enhanced, alongside related topics that merit further investigation.
Automatic tuning of a multi-body model from an experimental modal analysis
The manual tuning process employed to match the multi-body model dynamics with experimental measurements was found to be laborious. Systems like the micro-station can be conceptually modeled as interconnected solid bodies, springs, and dampers, with component inertia readily obtainable from CAD models. An interesting perspective is the development of methods for the automatic tuning of the multi-body model's stiffness matrix (representing the interconnecting spring stiffnesses) directly from experimental modal analysis data. Such a capability would enable the rapid generation of accurate dynamic models for existing end-stations, which could subsequently be used for detailed system analysis and simulation studies.
Better addressing plant uncertainty from a change of payload
For most high-performance mechatronic systems like lithography machines or atomic force microscopes, payloads inertia are often known and fixed, allowing controllers to be precisely optimized. However, synchrotron end-stations frequently handle samples with widely varying masses and inertias – ID31 being an extreme example, but many require nanometer positioning for samples from very light masses up to 5kg.
The conventional strategy involves implementing controllers with relatively small bandwidth to accommodate various payloads. When controllers are optimized for a specific payload, changing payloads may destabilize the feedback loops that needs to be re-tuned.
In this thesis, the HAC-IFF robust control approach was employed to maintain stability despite payload variations, though this resulted in relatively modest bandwidth. Therefore, a key objective for future work is to enhance the management of payload-induced plant uncertainty, aiming for improved performance without sacrificing robustness. Potential strategies to be explored include adaptive control (involving automatic plant identification and controller tuning after a change of payload) and robust control techniques such as $\mu\text{-synthesis}$ (allowing the controller to be synthesized while explicitly considering a specified range of payload masses).
Control based on Complementary Filters
The control architecture based on complementary filters (detailed in Section ref:sec:detail_control_cf) has been successfully implemented in several instruments at the ESRF. This approach has proven to be straightforward to implement and offers the valuable capability of modifying closed-loop behavior in real time, which proves advantageous for many applications. For instance, the controller can be optimized according to the scan type: constant velocity scans benefit from a $+2$ slope for the sensitivity transfer function, while ptychography may be better served by a $+1$ slope with slightly higher bandwidth to minimize point-to-point transition times.
Nevertheless, a more rigorous analysis of this control architecture and its comparison with similar approaches documented in the literature is necessary to fully understand its capabilities and limitations.
Sensor Fusion
While the HAC-LAC approach demonstrated a simple and comprehensive methodology for controlling the NASS, sensor fusion represents an interesting alternative that is worth investigating. While the synthesis method developed for complementary filters facilitates their design (Section ref:sec:detail_control_sensor), their application specifically for sensor fusion within the NASS context was not examined in detail.
One potential approach involves fusing external metrology (used at low frequencies) with force sensors (employed at high frequencies). This configuration could enhance robustness through the collocation of force sensors with actuators. The integration of encoder feedback into the control architecture could also be explored.
Development of multi-DoF metrology systems
Although experimental validation using the short-stroke metrology prototype was achieved, the NASS remains unsuitable for beamline applications due to the lack of a long stroke metrology system. Efforts were initiated during this project to develop such a metrology system, though these were not presented herein as the focus was directed toward the active platform, instrumentation, and controllers. The development process revealed that the metrology system constitutes a complex mechatronic system, which could benefit significantly from the design approach employed throughout this thesis. This challenge is particularly complex when continuous rotation is combined with long stroke movements. Yet, the development of such metrology systems is considered critical for future end-stations, especially for future tomography end stations where nano-meter accuracy is desired across larger strokes.
Promising approaches have been presented in the literature. A ball lens retroreflector is used in cite:&schropp20_ptynam, providing a $\approx 1\,\text{mm}^3$ measuring volume, but does not fully accommodate complete rotation. In cite:&geraldes23_sapot_carnaub_sirius_lnls, an interesting metrology approach is presented, using interferometers for long stroke/non-rotated movements and capacitive sensors for short stroke/rotated positioning.
Alternative Architecture for the NASS
The original micro-station design was driven by optimizing positioning accuracy, using dedicated actuators for different DoFs (leading to simple kinematics and a stacked configuration), and maximizing stiffness. This design philosophy ensured that the micro-station would remain functional for micro-focusing applications even if the NASS project did not meet expectations.
Analyzing the NASS as an complete system reveals that the positioning accuracy is primarily determined by the metrology system and the feedback control. Consequently, the underlying micro-station's own positioning accuracy has minimal influence on the final performances (it does however impact the required mobility of the active platform). Nevertheless, it remains crucial that the micro-station itself does not generate detrimental high-frequency vibrations, particularly during movements, as evidenced by issues previously encountered with stepper motors.
Designing a future end-station with the understanding that a functional NASS will ensure final positioning accuracy could allow for a significantly simplified long-stroke stage architecture, perhaps chosen primarily to facilitate the integration of the online metrology. One possible configuration, illustrated in Figure ref:fig:conclusion_nass_architecture, would comprise a long-stroke Stewart platform providing the required mobility without generating high-frequency vibrations; a spindle that needs not deliver exceptional performance but should be stiff and avoid inducing high-frequency vibrations (an air-bearing spindle might not be essential); and a short-stroke Stewart platform for correcting errors from the long-stroke stage and spindle.
With this architecture, the online metrology could be divided into two systems, as proposed by cite:&geraldes23_sapot_carnaub_sirius_lnls: a long-stroke metrology system potentially using interferometers, and a short-stroke metrology system using capacitive sensors, as successfully demonstrated by cite:&villar18_nanop_esrf_id16a_nano_imagin_beaml.
Development of long stroke high performance stage
As an alternative to the short-stroke/long-stroke architecture, the development of a high-performance long-stroke stage seems worth investigating. Stages based on voice coils, offering nano-positioning capabilities with $3\,mm$ stroke, have recently been reported in the literature cite:&schropp20_ptynam;&kelly22_delta_robot_long_travel_nano.
Magnetic levitation also emerges as a particularly interesting technology to be explored, especially for microscopy cite:&fahmy22_magnet_xy_theta_x;&heyman23_levcub and tomography cite:&dyck15_magnet_levit_six_degree_freed_rotar_table;&fahmy22_magnet_xy_theta_x end-stations. Two notable designs illustrating these capabilities are shown in Figure ref:fig:conclusion_maglev. Specifically, a compact 6DoF stage known as LevCube, providing a mobility of approximately $1\,\text{cm}^3$, is depicted in Figure ref:fig:conclusion_maglev_heyman23, while a 6DoF stage featuring infinite rotation, is shown in Figure ref:fig:conclusion_maglev_dyck15. However, implementations of such magnetic levitation stages on synchrotron beamlines have yet to be documented in the literature.
Extending the design methodology to complete beamlines
The application of dynamic error budgeting and the mechatronic design approach to an entire beamline represents an interesting direction for future work. During the early design phases of a beamline, performance metrics are typically expressed as integrated values (usually RMS values) rather than as functions of frequency. However, the frequency content of these performance metrics (such as beam stability, energy stability, and sample stability) is crucial, as factors like detector integration time can filter out high-frequency components. Therefore, adopting a design approach using dynamic error budgets, cascading from overall beamline requirements down to individual component specifications, is considered a potentially valuable direction for future investigation.
Bibliography
List of Publications
Glossary
Footnotes
3DLPVA-100-B from Femto with a voltage input noise is $2.4\,nV/\sqrt{\text{Hz}}$ 2Mark Product L-22D geophones are used with a sensitivity of $88\,\frac{V}{m/s}$ and a natural frequency of $\approx 2\,\text{Hz}$ 1Mark Product L4-C geophones are used with a sensitivity of $171\,\frac{V}{m/s}$ and a natural frequency of $\approx 1\,\text{Hz}$
7As this matrix is in general non-square, the Moore–Penrose inverse can be used instead. 8NVGate software from OROS company. 6OROS OR36. 24bits signal-delta ADC. 5Kistler 9722A2000. Sensitivity of $2.3\,mV/N$ and measurement range of $2\,kN$ 4PCB 356B18. Sensitivity is $1\,V/g$, measurement range is $\pm 5\,g$ and bandwidth is $0.5$ to $5\,\text{kHz}$.
9It was probably caused by rust of the linear guides along its stroke. 17Laser source is manufactured by Agilent (5519b). 16The special optics (straightness interferometer and reflector) are manufactured by Agilent (10774A). 19C8 capacitive sensors and CPL290 capacitive driver electronics from Lion Precision. 18The Spindle Error Analyzer is made by Lion Precision. 14The tools presented here are largely taken from cite:&taghirad13_paral. 15Rotations are non commutative in 3D. 10Ball cage (N501) and guide bush (N550) from Mahr are used. 13Modified Zonda Hexapod by Symetrie. 12Made by LAB Motion Systems. 11HCR 35 A C1, from THK.
22Such equation is called the velocity loop closure 21The pose represents the position and orientation of an object 20Different architecture exists, typically referred as "6-SPS" (Spherical, Prismatic, Spherical) or "6-UPS" (Universal, Prismatic, Spherical)
24Cedrat technologies 23The manufacturer of the APA95ML was not willing to share the piezoelectric material properties of the stack.
26$n$ corresponds to the number of degrees of freedom, here $n = 3$ 25A set of two complementary filters are two transfer functions that sum to one.
For variable gain amplifiers, it is usual to refer to the input noise rather than the output noise, as the input referred noise is almost independent on the chosen gain.
33PD200 from PiezoDrive. The gain is $20\,V/V$
32The DAC used is the one included in the IO131 card sold by Speedgoat. It has an output range of $\pm 10\,V$ and 16-bits resolution
40Ansys\textsuperscript{\textregistered} was used
38The transfer function fitting was computed using the vectfit3 routine, see cite:&gustavsen99_ration_approx_frequen_domain_respon
37Frequency of the sinusoidal wave is $1\,\text{Hz}$
36Renishaw Vionic, resolution of $2.5\,nm$
35Kistler 9722A
34Polytec controller 3001 with sensor heads OFV512
39Note that this is not completely correct as it was shown in Section ref:ssec:test_apa_stiffness that the electrical boundaries of the piezoelectric stack impacts its stiffness and that the sensor stack is almost open-circuited while the actuator stacks are almost short-circuited.
29The Matlab fminsearch command is used to fit the plane
28Heidenhain MT25, specified accuracy of $\pm 0.5\,\mu m$
31Millimar 1318 probe, specified linearity better than $1\,\mu m$
30LCR-819 from Gwinstek, with a specified accuracy of $0.05\%$. The measured frequency is set at $1\,\text{kHz}$
45XFL212R-50N from TE Connectivity. The measurement range is $50\,N$. The specified accuracy is $1\,\%$ of the full range 44Resolute\texttrademark{} encoder with $1\,nm$ resolution and $\pm 40\,nm$ maximum non-linearity 43V-408 PIMag\textsuperscript{\textregistered} linear stage is used. Crossed rollers are used to guide the motion. 42The load cell is FC22 from TE Connectivity. The measurement range is $50\,N$. The specified accuracy is $1\,\%$ of the full range 41The alloy used is called F16PH, also refereed as "1.4542"
APA300ML from Cedrat Technologies
Vionic from Renishaw
FARO Arm Platinum 4ft, specified accuracy of $\pm 13\mu m$
59PCB 356B18. Sensitivity is $1\,V/g$, measurement range is $\pm 5\,g$ and bandwidth is $0.5$ to $5\,\text{kHz}$. 58"SZ8005 20 x 044" from Steinel. The spring rate is specified at $17.8\,N/mm$ 57The 450 mm x 450 mm x 60 mm Nexus B4545A from Thorlabs. 56As the accuracy of the FARO arm is $\pm 13\,\mu m$, the true straightness is probably better than the values indicated. The limitation of the instrument is here reached. 55The height dimension is better than $40\,\mu m$. The diameter fitting of 182g6 and 24g6 with the two plates is verified. 54Location of all the interface surfaces with the flexible joints were checked. The fittings (182H7 and 24H8) with the interface element were also checked. 53FARO Arm Platinum 4ft, specified accuracy of $\pm 13\mu m$
66Such scan could corresponding to a 1ms integration time (which is typically the smallest integration time) and 100nm "resolution" (equal to the vertical beam size). 65The highest rotational velocity of $360\,\text{deg/s}$ could not be tested due to an issue in the Spindle's controller. 62The roundness of the spheres is specified at $50\,nm$. 67The "IcePAP" cite:&janvier13_icepap which is developed at the ESRF. 64Note that the eccentricity of the "point of interest" with respect to the Spindle rotation axis has been tuned based on measurements. 63The "PEPU" cite:&hino18_posit_encod_proces_unit was used for digital protocol conversion between the interferometers and the Speedgoat. 61M12/F40 model from Attocube. 60Depending on the measuring range, gap can range from $\approx 1\,\mu m$ to $\approx 100\,\mu m$.
Using Ansys\textsuperscript{\textregistered}. Flexible Joints and APA Shell are made of a stainless steel allow called 17-4 PH. Encoder and ruler support material is aluminium.
OFV-3001 controller and OFV512 sensor head from Polytec
Two fiber intereferometers were used: an IDS3010 from Attocube and a quDIS from QuTools
Heidenhain MT25, specified accuracy of $\pm 0.5\,\mu m$






























































































































































































































































































































































































































































































































































































































































